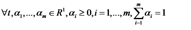
Из Т.1.
(1). Если
, то число ненулевых слагаемых можно уменьшить. Рассмотрим в
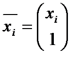
векторы
i=1..m. Они линейно зависимы, т.к. m>n+1.
,что
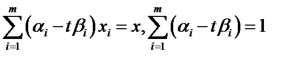
(2)
Из (1), (2)
справедливо
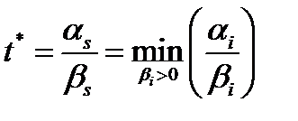
, а т.к. не все
, а их сумма равна 0, то среди них есть строго положительные. Пусть
, и
. Тогда
и точка x представляется в виде выпуклой комбинации меньшего, чем m числа точек из D.
Теорема 3. Замыкание и внутренность выпуклых множеств выпуклы.
Теорема 4. Если
компактно, то и
компактно.






