Вектор –
является направлением наискорейшего убывания функции f(x) и называется антиградиентом. Выбирая в качестве спуска
антиградиент функции f(x) в точке
, приходим к итерационному процессу вида
.
Все итерационные процессы, в которых направление движения на каждом шаге совпадает с антиградиентом (градиентом) функции, называется градиентными методами и отличаются друг от друга способами выбора длины шага
.Существует много различных способов выбора длины шага
, но наиболее распространены три из них. Первый называется методом с постоянным шагом:
. Второй-метод с дроблением шага. Он связан с проверкой на каждом шаге неравенства
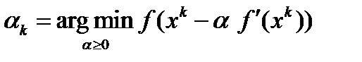
, где с - некоторая константа из интервала (0,1). В третьем методе при переходе из точки
в точку
минимизируется по
функция
:
. Это метод наискорейшего спуска.
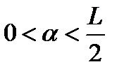
Следующая теорема содержит достаточные условия сходимости метода с постоянным шагом.
Теорема 1. (Первая теорема сходимости). Пусть функция
дифференцируема в
, ограничена снизу
, выполняется условие Липшица для градиента
:
и длина шага
удовлетворяет условию
. Тогда
при
и при любом выборе начального приближения
.
|
|
|
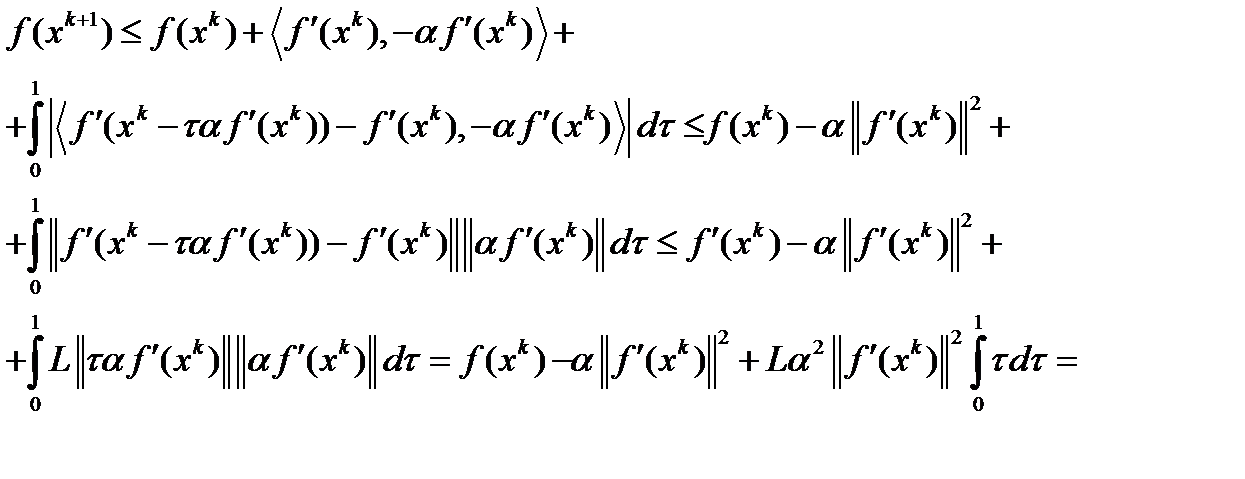
Доказательство.
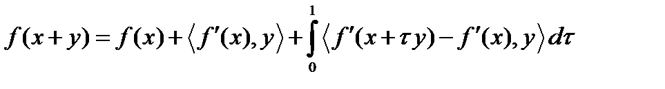
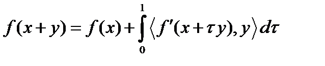
Воспользуемся формулой конечных приращений
, которую перепишем в следующем виде:
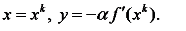
. Сделаем подставки
Тогда из неравенства Коши-Буняковского
и условия Липшица получим

, где
.
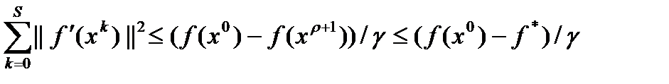
Из условий теоремы следует, что
и, следовательно
. Кроме того, для любого s выполняется неравенство
. Поэтому, учитывая ограниченность функции
на множестве
, получаем оценку сверху для частичных сумм:
. Отсюда и следует сходимость к нулю градиенты
при
ч.т.д.
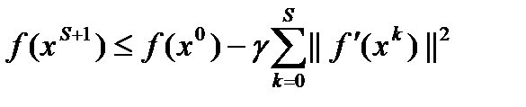
В условиях теоремы 1 градиентный метод обеспечивает сходимость последовательности
либо к точной нижней грани
(если функция не имеет минимума), либо к значению
, где
и
(если такой предел существует). Существуют примеры, когда в точке
реализуется седло, а не минимум. Тем не менее, на практике методы градиентного спуска обычно обходят седловые точки и находят локальные минимумы целевой функции. Для оценки скорости сходимости метода, предположений теоремы 1 недостаточно. Сделаем это в случае, когда
сильно выпуклая функция.
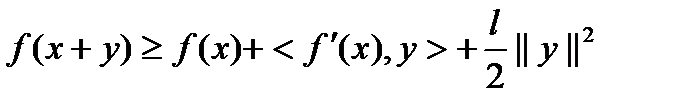
Опр.1 Дифференцируемая функция
называется сильно выпуклой (с константой
), если для любых x и y из
справедливо
(1)
Лемма 1. Если функция
является сильно выпуклой (с константной
), то она имеет глобальный минимум на
.
Доказательство:
Из условия (1) и неравенства Коши-Бублековского следует
. Пусть
. Если
, то
(2).
Рассмотрим шар
с центром в точке x и радиуса r. По теореме Вейерштрасса непрерывная функция достигает своего минимума на шаре
в некоторой точке
. Из неравенства (2) следует, что
минимума на всем
.
|
|
|
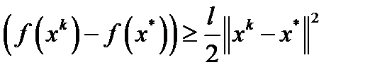
Лемма2. Если функция f является сильно выпуклой (с константой l >0) и x* - ее глобальный минимум, то для любого
выполняется неравенство
(3)
Доказательство. 
Т.к. функция f сильно выпуклая, то подстановка y=x*-xb (1) дает следующее неравенство
Т.к.
то 
После приведение подобных членов получим требуемое неравенство.
Теорема2(Вторая теорема сходимости) Пусть функция
дифференцируема в
, является сильно выпуклой, выполняется условие Липшица для градиента
и длина шара
удовлетворяет условию
. Тогда
при
и 
Доказательство:
Воспользуемся неравенством, полученным при доказательстве теоремы 1:
. По лемме1 существует глобальный минимум
функции
. Используя (3), получим
(4).Обозначим через
коэффициент при выражении
. Понятно, что
(5).Проверим, что
. Функция
является сильно выпуклой. Значит она не может быть константой и имеется возможность выбрать начальную точку
так, чтобы
. Из неравенства (4) при
имеем
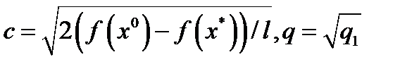
, откуда и следует требуемое неравенство. Т.к.
, то
. Учитывая, что
, из (1) при подстановках
получим
. Следовательно,
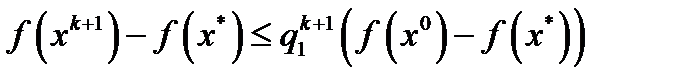
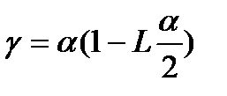
. Последнее неравенство влечет линейную оценку скорости сходимости метода
, где
, а также сходимость последовательности
к единственной точки минимума
. ч.т.д.