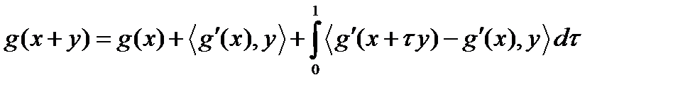
Воспользуемся следующей формулой конечных приращений:
. Подставим вместо
производную функции
и, применяя неравенство Коши-Буняковского, получим
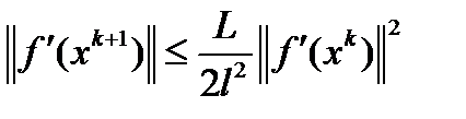
. Тогда для
и
имеем
. Применяя лемму 1, получим
. Итерируя это неравенство по
, приходим к неравенству
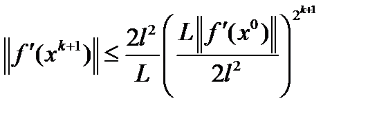
,
. Остается показать, что
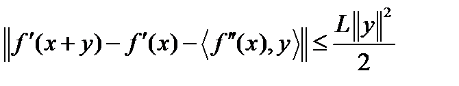
. Из определения 1 (п.6.3) сильной выпуклости имеем
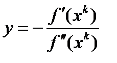
. Тогда при подстановке
, учитывая равенство
, получим
, откуда и следует требуемое неравенство.






