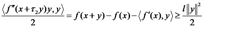
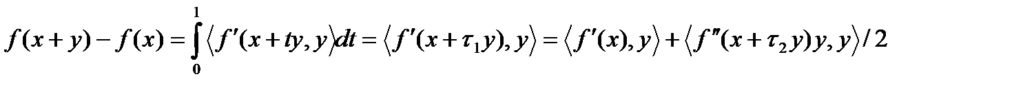
Пользуясь Теоремой о среднем, получим следующие формулы для конечных приращений функции
:
, где 
Воспользуемся условием сильной выпуклости 
Заменяя
на
, получим:
.Следовательно,
.
Поделив на
и устремив
к нулю, будем иметь
.
Положим
и, используя неравенство Коши-Буняковского, получим
для любого
. Это означает, что
. Лемма доказана.
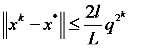
Пусть последовательность
получена с помощью метода Ньютона и точка
- глобальный минимум функции
. Нижеследующая теорема устанавливает условия квадратичной скорости сходимости метода.
Теорема 1. Пусть дважды непрерывно дифференцируемая функция
сильно выпукла (с константой
), а вторая производная удовлетворяет условию Липшица
, для любых
, и
. Тогда
и метод Ньютона имеет квадратичную скорость сходимости
.






