СМО с отказами(таблица)
Пример. Пусть одноканальная СМО с отказами представляет собой один пост ежедневного обслуживания (ЕО) для мойки автомобилей. Заявка - автомобиль, прибывший в момент, когда пост занят, - получает отказ в обслуживании. Интенсивность потока автомобилей
= 1,0 (автомобиль в час). Средняя продолжительность обслуживания - 1,8 часа. Поток автомобилей и поток обслуживании являются простейшими.
Требуется определить в установившемся режиме предельные значения:
- относительной пропускной способности q;
- абсолютной пропускной способности А;
- вероятности отказа Pотк;
Сравните фактическую пропускную способность СМО с номинальной, которая была бы, если бы каждый автомобиль обслуживался точно 1,8 часа и автомобили следовали один за другим без перерыва.
Решение
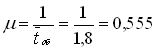
1. Определим интенсивность потока обслуживания:
.
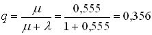
2. Вычислим относительную пропускную способность:
.
Величина q означает, что в установившемся режиме система будет обслуживать примерно 35% прибывающих на пост ЕО автомобилей.
|
|
|
3. Абсолютную пропускную способность определим по формуле:
.
Это означает, что система (пост ЕО) способна осуществить в среднем 0,356 обслуживания автомобилей в час.
4. Вероятность отказа:
.
Это означает, что около 65% прибывших автомобилей на пост ЕО получат отказ в обслуживании.
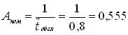
5. Определим номинальную пропускную способность системы:
(автомобилей в час).
Оказывается, что Аном в 1,5 раза
больше, чем фактическая пропускная способность, вычисленная с учетом случайного характера потока заявок и времени обслуживания.






