1 - 20. Даны векторы а (а1; а2; а3), b (b1; b2; b3), с (с1; с2; с3) и d (d1; d2; d3) в некотором базисе. Показать, что векторы а, b, c образуют базис, и найти координаты вектора d в этом базисе.
1. а (1;2;3), b (-1;3;2), с (7;-3;5), d (6;10;17).
2. а (4;7;8), b (9;1;3), с (2;-4;1), d (1;-13;-13).
3. а (8;2;3), b (4;6;10), с (3;-2;1), d (7;4;11).
4. а (10;3;1), b (1;4;2), с (3;9;2), d (19;30;7).
5. а (2;4;1), b (1;3;6), с (5;3;1), d (24;20;6).
6. а (1;7;3), b (3;4;2), с (4;8;5), d (7;32;14).
7. а (1;-2;3), b (4;7;2), с (6;4;2), d (14;18;6).
8. а (1;4;3), b (6;8;5), с (3;1;4), d (21;18;33).
9. а (2;7;3), b (3;1;8), c (2;-7;4), d (16;14;27).
10. а (7;2;1), b (4;3;5), с (3;4;-2), d (2;-5;-13)
11. а (4;1;0) b (0; 1; -2) с (3;-1;1), d (-5; 9; -13)
12. а (-1;1;0) b (0; 5; 1) с (3;2;-1), d (-15; 5; 6)
13. а (1;3;0) b (1; 0; 1) с (0;-2;1), d (8; 9; 4)
14. а (2; 1; 0) b (1; -1; 0) с (-3;2;5), d (23; -14; -30)
15. а (2; 1; 0) b (1; 0; 1) с (4;2;1), d (3; 1; 3)
16. а (0; 3; 1) b (1; -1; 2) с (2;-1;0), d (-1; 7; 0)
17. а (1; -1; 2) b (3; 2; 0) с (-1;1;1), d (11; -1; 4)
18. а (1; 1; 4) b (-3; 0; 2) с (1;2;-1), d (-13; 2; 18)
19. а (0; -2; 1) b (3; 1; -1) с (4;0;1), d (0; -8; 9)
20. а (0; 1; 5) b (3; -1; 2) с (-1;0;1), d (8; -7; -13)
21 - 40. Даны координаты вершин пирамиды А1А2А3А4. Найти 1) длину ребра А1А2; 2) угол между ребром А1А2 и А1А4; 3) угол между ребрами А1А4 и гранью А1А2А3; 4)площадь грани А1А2А3; 5) объем пирамиды; 6) уравнение прямой А1А2; 7) уравнение плоскости А1А2А3; 8) уравнение высоты, опущенной из вершины А4 на грань А1А2А3. Сделать чертеж.
21. А1 (4;2;5), А2 (0;7;2), А3 (0;2;7), А4 (1;5;0).
22. А1 (4;4;10), А2 (4;10;2), А3 (2;8;4), А4 (9;6;4).
23. А1 (4;6;5), А2 (6;9;4), А3 (2;10;10), А4 (7;5;9).
24. А1 (3;5;4), А2 (8;7;4), А3 (5;10;4), А4 (4;7;8).
25. А1 (10;6;6), А2 (-2;8;2), А3 (6;8;9), А4 (7;10;3).
26. А1 (1;8;2), А2 (5;2;6), А3 (5;7;4), А4 (4;10;9).
27. А1 (6;6;5), А2 (4;9;5), А3 (4;6;11), А4 (6;9;3).
28. А1 (7;2;2), А2 (5;7;7), А3 (5;3;1), А4 (2;3;7).
29. А1 (8;6;4), А2 (10;5;5), А3 (5;6;8), А4 (8;10;7).
30. А1 (7;7;3), А2 (6;5;8), А3 (3;5;8), А4 (8;4;1).
31. А1 (1;3;6), А2 (2;2;1), А3 (-1;0;1), А4 (-4;6;-3).
32. А1 (-4;2;6), А2 (2;-3;0), А3 (-10;5;8), А4 (-5;2;-4).
33. А1 (7;2;4), А2 (7;-1;-2), А3 (3;3;1), А4 (-4;2;1).
34. А1 (2;1;4), А2 (-1;5;-2), А3 (-7;-3;2), А4 (-6;-3;6).
35. А1 (-1;-5;2), А2 (-6;0;-3), А3 (3;6;-3), А4 (-10;6;7).
36. А1 (0;-1;-1), А2 (-2;3;5), А3 (1;-5;-9), А4 (-1;-6;3).
37. А1 (5;2;0), А2 (2;5;0), А3 (1;2;4), А4 (-1;1;1).
38. А1 (2;-1;-2), А2 (1;2;1), А3 (5;0;-6), А4 (-10;9;-7).
39. А1 (-2;0;-4), А2 (-1;7;1), А3 (4;-8;-4), А4 (1;-4;6).
40. А1 (14;4;5), А2 (-5;-3;2), А3 (-2;-6;-3), А4 (-2;2;-1).
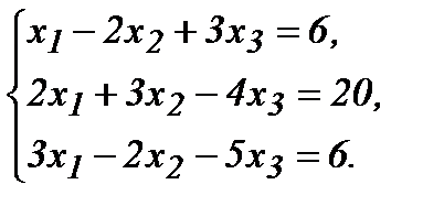
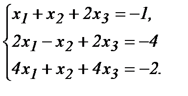
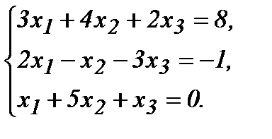
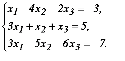
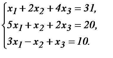
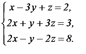
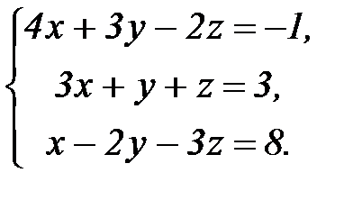
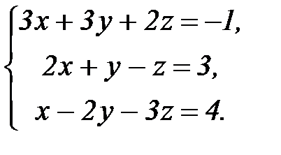
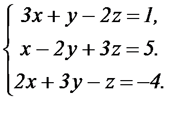
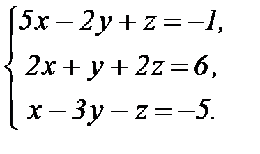
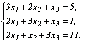
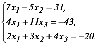
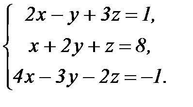
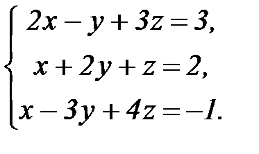
41 - 60. Дана система линейных уравнений:

Доказать ее совместность и решить двумя способами: 1) методом Гаусса; 2) средствами матричного исчисления; 3) методом Крамера.
41.
42. 
43.
44. 
45.
46. 
47.
48. 
49.
50. 
51.
52. 
53.
54. 
55.
56. 
57.
58. 
59.
60. 
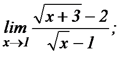
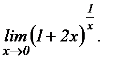
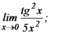
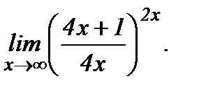
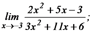
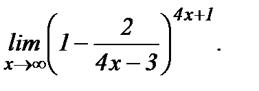
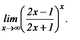
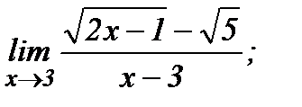
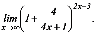
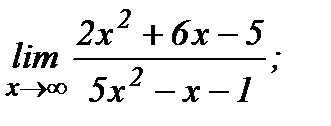
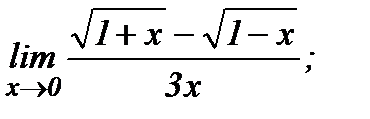
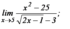
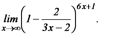
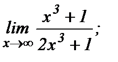
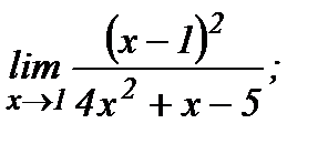
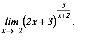
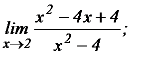
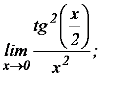
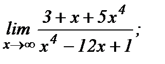
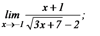
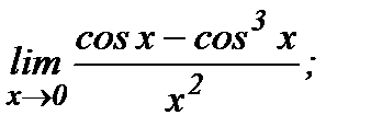
61 - 80. Найти пределы функций, не пользуясь правилом Лопиталя.
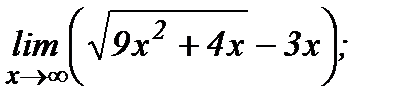
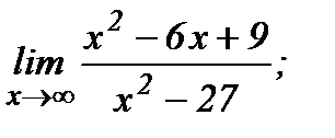
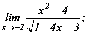
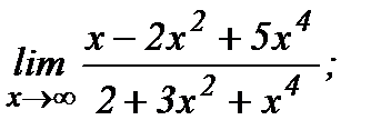
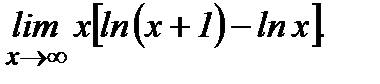
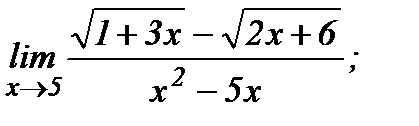
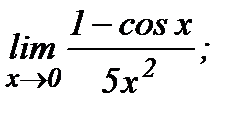
| 61. | а)
| б)
|
в)
| г)
| |
| 62. | а)
| б)
|
в)
| г)
| |
| 63. | а)
| б)
|
в)
| г)
| |
| 64. | а)
| б)
|
в)
| г)
| |
| 65. | а)
| б)
|
в)
| г)
| |
| 66. | а)
| б)
|
в)
| г)
| |
| 67. | а)
| б)
|
в)
| г)
| |
| 68. | а)
| б)
|
в)
| г)
| |
| 69. | а)
| б)
|
в)
| г)
| |
| 70. | а)
| б)
|
в)
| г)
| |
| 71. | а)
| б)
|
в)
| г)
| |
| 72. | а)
| б)
|
в)
| г)
| |
| 73. | а)
| б)
|
в)
| г)
| |
а)
| б)
| |
в)
| г)
| |
| 75. | а)
| б)
|
в)
| г)
| |
| 76. | а)
| б)
|
в)
| г)
| |
| 77. | а)
| б)
|
в)
| г)
| |
| 78. | а)
| б)
|
в)
| г)
| |
| 79. | а)
| б)
|
в)
| г)
| |
| 80. | а)
| б)
|
в)
| г)
|
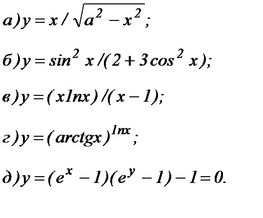
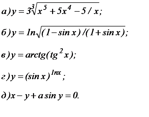
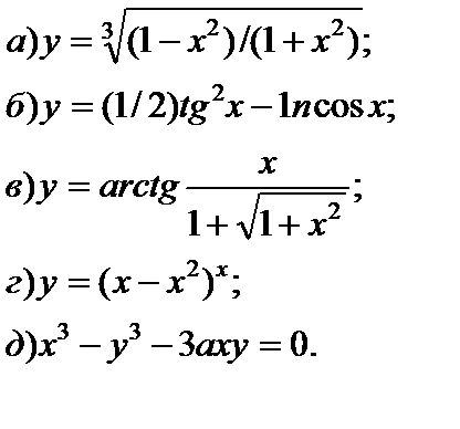
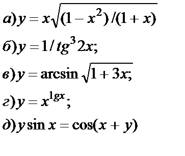
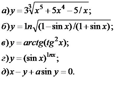
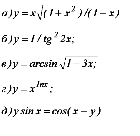
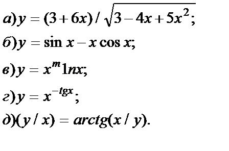
81 – 100. Найти производные
данных функций.
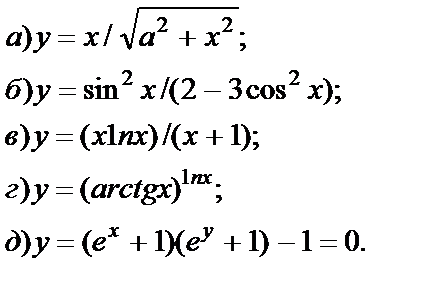
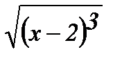
| 81. |
| 82. |
|
| 83. |
| 84. |
|
| 85. |
| 86. |
|
| 87. |
| 88. |
|
| 89. |
| 90. |
|
| 91. |
| 92. |
|
| 93. |
| 94. |
|
| 95. |
| 96. |
|
| 97. |
| 98. |
|
| 99. |
| 100. |
|
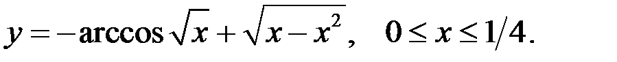
101 - 120. Исследовать методами дифференциального исчисления функцию и, используя результаты исследования, построить ее график.
101. у = 4х/(4+х2) 102. y = (x2-1)/(x2 +1)
103. y = (x2+1)/(x2-1) 104. y = x2/(x-1)
105. y = x3/(x2+1) 106. y = (4x3+5)/x
107. y = (x2-5)/(x-3) 108. y = x4/(x3-1)
109. y = 4x3/(x3-1) 110. y = (2-4x2)/(1-4x2)
111. y = (1nx)/
112. y = x 
113. y =
114. y = x2-21nx
115. y = 1n (x2-4) 116. y = e1/(2-x)
117. y = 1n (x2+1) 118. y = (2+x2) 
119. y = 1n (9-x2) 120. y = (x-1)e3x+1.
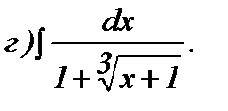
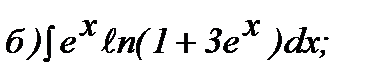
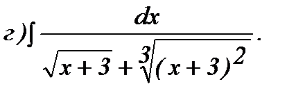
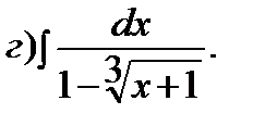
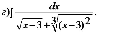
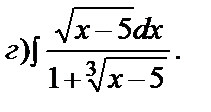
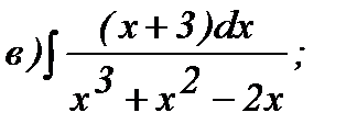
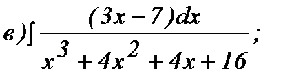
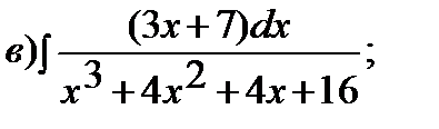
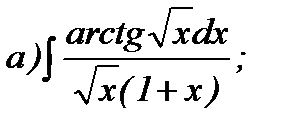
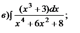
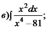
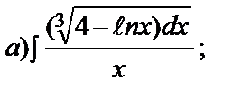
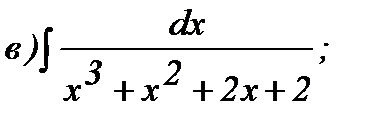
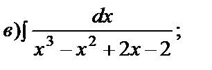
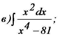
121 - 140. Найти неопределенные интегралы. В двух первых примерах а) и б) проверить результаты дифференцированием.
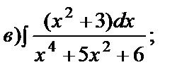
121.


122.


123.


124.
;

125.
;

126.


127.


128.


129.


130.


131.


132.


133.


134.


135.
;

136.


137.


138.


139.


140.


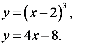
141. Вычислить площадь фигуры, ограниченной параболой у = 3х2 + 1 и
прямой у = 3х + 7.
142. Вычислить площадь фигуры, ограниченной одной аркой циклоды
х = а(t - sin t), y = a(1 - cos t),
и осью Ох.
143. Вычислить площадь фигуры, ограниченной кардиоидой
r = 3(1 + cos φ).
144. Вычислить площадь фигуры, ограниченной четырехлепестковой розой
r = 4sin 2φ.
145. Вычислить объем тела, образованного вращением вокруг оси Ох фигуры, ограниченной параболами у = х2 и у =
.
146. Вычислить объем тела, образованного вращением вокруг оси Ох фигуры, ограниченной полуэллипсом у =
, параболой х =
и осью Оу.
147. Вычислить объем тела, образованного вращением вокруг оси Оу фигуры, ограниченной кривыми у = 2/(1 + х2)4 и у = х2.
148. Вычислить длину дуги полукубической параболы у =
от точки А (2;0) до точки В (6;8).
149. Вычислить длину кардиоиды r = 3(1 - cosφ).
150. Вычислить длину одной арки циклоиды х = 3(t - sint), y = 3(1 - cost),
.
151. Вычислить длину дуги 
152.. Вычислить объем тела, образованного вращением фигуры, ограниченных графиками функций
. Ось вращения 
153. Вычислить площадь фигуры, ограниченной графиками функций. 
154. Вычислить площадь фигуры, ограниченной линиями, заданными уравнениями.

155. Вычислить площадь фигуры, ограниченной линиями, заданными в полярных координатах. 
156.. Вычислить длину дуги кривой, заданной параметрическими уравнениями 
157.. Вычислить длину дуги кривой, заданной уравнениями в полярных координатах 
158. Вычислить объем тела, образованного вращением фигуры, ограниченной графиками функций
. Ось вращения 
159. Вычислить длину дуги 
160. Вычислить длину дуги 






