161 - 180. Найти общее решение дифференциального уравнения.
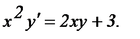
161.
162. 
163.
164. 
165.
166. 
167.
168. 
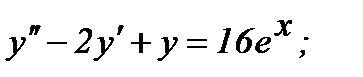
169.
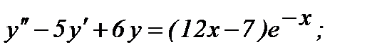
170. 
171.
172. 
173.
174. 
175.
176. 
177.
178. 
179.
180. 
В задачах 181 - 200 даны дифференциальные уравнения второго порядка, допускающие понижение порядка. Найти частное решение, удовлетворяющее указанным начальным условиям.
181. у΄΄- еуу΄= 0, у(0) = 0, у΄(0) = 1.
182. у΄у΄΄= 2у, у(0) = 0, у΄(0) = 0.
183. уу΄΄= (у΄)2, у(0) = 1, у΄(0) = 3.
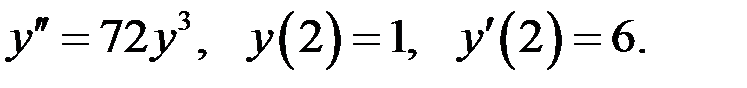
184. у3у΄΄= 3, у(1) = 1, у΄(1) = 1.
185. у΄΄-12у2= 0, у(0) =1/2, у΄(0) = 1.
186. 2у΄΄=е4у, у(0) = 0, у΄(0) = ½.
187. (у – 2)у΄΄ = 2(у΄)2, у(0) = 3, у΄(0) = 1.
188. 2уу΄΄= 3 + (у΄)2, у(1) = 1, у΄(1) = 1.
189. у΄΄=
у(2) = 0, у΄(2) = 2.
190. (у + 1)2у΄΄= (у΄)3, у΄(0) = 1.
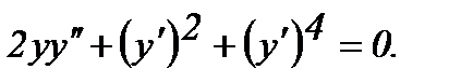
191. 
192. 
193. 
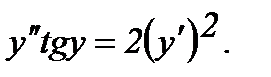
194. 
195. 
196. 
197. 
198. 
199. 
200. 
201 - 220. Найти частное решение дифференциального уравнения
, удовлетворяющее начальным условиям у(0)=у0, 
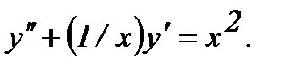
201.

202.

203.

204.

205.

206.

207.

208.

209.

210.

211. y΄΄-2y΄-8y=16x2+2, y(0)=0, y΄(0)=5.
212. y΄΄+4y=3cos x, y(0)=1, y΄(0)=2.
213. y΄΄-y΄-2y=3e2x, y(0)=2, y΄(0)=5.
214. y΄΄-2y΄=2x+1, y(0)=1, y΄(0)=1.
215. y΄΄-2y΄+y=9e-2x+2x-4, y(0)=1, y΄(0)=1.
|
|
|
216. y΄΄-4y=4sin 2x, y(0)=2, y΄(0)=7.
217. y΄΄+y΄=3cos x – sin x, y(0)=0, y΄(0)=1.
218. y΄΄-y΄-6y=6x2-4x-3, y(0)=3, y΄(0)=5.
219. y΄΄-3y΄=3e3x, y(0)=2, y΄(0)=4.
220. y΄΄-4y΄+5y=5x – 4, y(0)=0, y΄(0)=3.
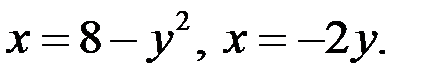
221. Вычислить площадь фигуры, ограниченной параболами
и
.
222. Вычислить площадь фигуры, ограниченной эллипсом x = acos t, y = bsint.
223. Вычислить площадь фигуры, ограниченной астроидой x = 4cos3t, y = 4sin3t.
224. Найти объем тела, образованного вращением вокруг оси Ох фигуры, ограниченной параболой
, х = 4 и осью Ох.
225. Найти объем тела, полученного вращением вокруг оси Оу фигуры, ограниченной гиперболой у = 6/х, осью Оу и прямыми у = 1 и у = 6.
226. Найти объем тела, полученного вращением вокруг оси Ох эллипса
х = аcost, y = bsint.
227. Найти длину дуги кривой
от х1 = 0 до х2 = 12.
228. Найти длину дуги кривой у = lnx от х1= ¾ до х2 = 2,4.
229. Найти длину одной арки циклоиды х = а(t - sint), y = a(1-cost).
230. Найти длину кардиоиды r = 2a(1-cosφ).
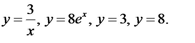
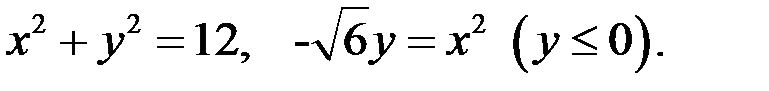
231 – 240. Найти площадь фигуры, ограниченной данными линиями.
231. 
232. 
233. 
234. 
235. 
236. 
237. 
238. 
239. 
240. 
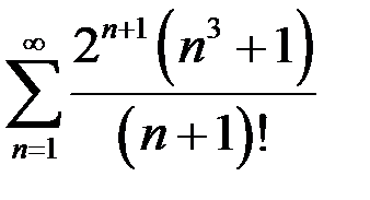
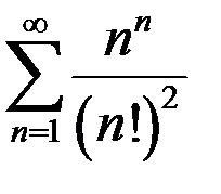
241 - 260. Исследовать сходимость числового ряда.
241.
242. 
243.
244. 
245.
246. 
247.
248. 
249.
250. 
251.
. 252.
.
253.
. 254.
.
255.
256.
.
257.
. 258.
.
259.
. 260. 
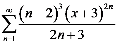
261 - 280. Найти интервал сходимости степенного ряда.
261.
262. 
263.
264. 
265.
266. 
267.
268. 
269.
270. 
271.
. 272.
.
273.
. 274.
.
275.
. 276.
.
277.
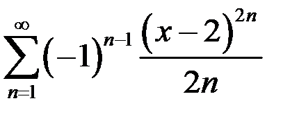
. 278.
.
279.
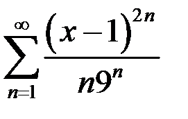
. 280.
.
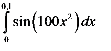
281 - 300. Вычислить определенный интеграл
с точностью до 0,001, разложив подынтегральную функцию в ряд и затем проинтегрировав его почленно.
281.
282 
283.
284. 
285.
286. 
287.
288. 
289.
290. 
291.
. 292.
.
293.
. 294.
.
295.
. 296.
.
297.
298.
.
299.
. 300.
.
301. Студент знает 45 из 60 вопросов программы. Каждый экзаменационный билет содержит три вопроса. Найти вероятность того, что: а) студент знает все три вопроса; б) только два вопроса; в) только один вопрос экзаменационного билета.
|
|
|
302. В каждой из двух урн находятся 5 белых и 10 черных шаров. Из первой урны во вторую переложили неудачу один шар, а затем из второй урны вынули наугад один шар. Найти вероятность того, что вынутый шар окажется черным.
303. Три стрелка в одинаковых и независимых условиях производили по одному выстрелу по одной и той же цели. Вероятность поражения цели первым стрелком равна 0,9, вторым – 0,8, третьим – 0,7. Найти вероятность того, что: а) только один из стрелков попадает в цель; б) только два стрелка попадут в цель; в) все три стрелка попадут в цель.
304. Вероятность наступления события в каждом из одинаковых и независимых испытаний равна 0,8. Найти вероятность того, что в 1600 испытаниях событие наступит 1200 раз.
305. Для сигнализации об аварии установлены три независимо работающих устройства. Вероятность того, что при аварии сработает первое устройство, равна 0,9, второе – 0,95, третье – 0,85. Найти вероятность того, что при аварии сработает: а) только одно устойство; б) только два устройства; в) все три устройства.
306. Вероятность наступления события в каждом из одинаковых и независимых испытаний равна 0,02. Найти вероятность того, что в 150 испытаниях событие наступит 5 раз.
307. В партии из 1000 изделий имеются 10 дефектных. Найти вероятность того, что среди 50 изделий, наудачу взятых из этой партии, ровно три окажутся дефектными.
308. Вероятность наступления события в каждом из одинаковых и независимых испытаний равна 0,8. Найти вероятность того, что в 125 испытаниях событие наступит не менее 75 и не более 90 раз.
309. На трех станках при одинаковых и независимых условиях изготовляют детали одного наименования. На первом станке изготовляют 10%, на втором – 30, на третьем – 60% всех деталей. Вероятность каждой детали быть бездефектной равна 0,7, если она изготовлена на первом станке, 0,8, - если на втором станке, и 0,9, - если на третьем станке. Найти вероятность того, что наугад взятая деталь окажется бездефектной.
310. Два брата входят в состав двух спортивных команд, состоящих из 12 человек каждая. В двух урнах имеются по 12 билетов с номерами от 1до 12. Члены каждой команды вынимают наудачу по одному билету из определенной урны (без возвращения). Найти вероятность того, что оба брата вытащат билет номер 6.
311. В цехе 6 моторов. Для каждого мотора вероятность того, что в данный момент включен равна 0,8. Найти вероятность того, что в данный момент:
а) включено 4 мотора;
б) выключены все моторы;
в) включены все моторы;
г) включен хотя бы один мотор.
312. Монету бросают 5 раз. Найти вероятность того, что герб выпадет:
а) 3 раза;
б) не менее 3-х раз;
в) не более 3-х раз;
г) хотя бы 1 раз.
313. Для прядения смешивают поровну белый и окрашенный хлопок. Какова вероятность того, что среди 5 случайно выбранных волокон обнаружится:
а) ровно 2 окрашенных;
б) менее 2 окрашенных;
в) более 2 окрашенных;
г) хотя бы 4 окрашенных.
314. Средний процент нарушения кинескопа телевизора в течение гарантийного срока равен 12. Вычислить вероятность того, что из 10 наблюдаемых телевизоров гарантийный срок выдержат:
а) 8 телевизоров;
б) не менее 8 телевизоров;
в) хотя бы 1 телевизор.
315. Наблюдениями установлено, что в некоторой местности в сентябре в среднем бывает 12 дождливых дней. Какова вероятность того, что из случайно взятых в этом месяце 8 дней дождливыми окажутся:
а) ровно 3 дня;
б) не более 3-х дней;
в) хотя бы 1 день.
316. Вероятность попадания в цель при каждом выстреле равна 0,001. Найти вероятность попадания в цель двух и более пуль, если число выстрелов равно 5000.
317. Вероятность того, что любой абонент позвонит на коммутатор в течение часа, равна 0,01. Телефонная станция обслуживает 800 абонентов. Какова вероятность того, что в течение часа позвонят:
|
|
|
а) 5 абонентов;
б) хотя бы 1 абонент.
318. Прядильщица обслуживает 1000 веретен. Вероятность обрыва нити на одном веретене в течение одной минуты равна 0,004. Какова вероятность того, что в течение одной минуты обрыв произойдет на:
а) 5 веретенах;
б) не менее, чем на 1 веретене.
319. Производство дает 1% брака. Какова вероятность того, что из взятых на исследование 1100 изделий выбраковано будет не более 2-х.
320. Семена пшеницы содержат 0,3% сорняков. Найти вероятность того, что в 1000 семян будет:
а) ровно 5;
б) хотя бы 2 сорняка.
321 - 340. Задан закон распределения случайной величины X – размер деталей, выпускаемых заводом (в первой строке таблицы даны возможные значения измеренной детали, а во второй строке указаны вероятности p этих возможных значений).
Найти: 1) математическое ожидание M(X); 2) дисперсию D(X); 3) среднее квадратическое отклонение
.
| 321. | X | ||||
| P | 0.3 | 0.2 | 0.4 | 0.1 | |
| 322. | X | ||||
| P | 0.2 | 0.4 | 0.3 | 0.1 | |
| 323. | X | ||||
| P | 0.2 | 0.2 | 0.5 | 0.1 | |
| 324. | X | ||||
| P | 0.1 | 0.5 | 0.3 | 0.1 | |
| 325. | X | ||||
| P | 0.2 | 0.4 | 0.3 | 0.1 | |
| 326. | X | ||||
| P | 0.1 | 0.5 | 0.2 | 0.2 | |
| 327. | X | ||||
| P | 0.1 | 0.2 | 0.5 | 0.2 | |
| 328. | X | ||||
| P | 0.1 | 0.4 | 0.2 | 0.3 | |
| 329. | X | ||||
| P | 0.1 | 0.3 | 0.4 | 0.2 | |
| 330. | X | ||||
| P | 0.2 | 0.4 | 0.3 | 0.1 | |
| 331. | X | ||||
| P | 0,2 | 0,3 | 0,1 | 0,4 | |
| 332. | X | ||||
| P | 0,2 | 0,3 | 0,4 | 0,1 | |
| 333. | X | ||||
| P | 0,2 | 0,3 | 0,1 | 0,4 | |
| 334. | X | ||||
| P | 0,2 | 0,1 | 0,5 | 0,2 | |
| 335. | X | ||||
| P | 0,1 | 0,2 | 0,4 | 0,3 | |
| 336. | X | ||||
| P | 0,2 | 0,3 | 0,4 | 0,1 | |
| 337. | X | ||||
| P | 0,3 | 0,5 | 0,1 | 0,1 | |
| 338. | X | ||||
| P | 0,1 | 0,4 | 0,3 | 0,2 | |
| 339. | X | ||||
| P | 0,1 | 0,2 | 0,2 | 0,5 | |
| 340. | X | ||||
| P | 0,1 | 0,3 | 0,2 | 0,4 |
|
|
|






