Пример 1. Даны векторы
1(2; 4; 3; 2),
2(4; 2; 2; 8),
3(4; 5; 8; 7),
4(6; 7; 5; 3) и
(18; 24; 13; 6). Показать, что векторы
1,
2,
3,
4 образуют базис четырехмерного линейного пространства R4 и найти координаты вектора
в этом базисе.
Решение.
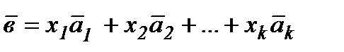
Выражение х1+
1+х2
2+…+хк
к называется линейной комбинацией векторов
1,
2, …
к с коэффициентами х1, х2, …хк. Любая линейная комбинация векторов линейного пространства представляет собой вектор того же пространства. Если некоторый вектор
линейного пространства представлен в виде линейной комбинации векторов
1,…,
к того же пространства, т.е.
(1)
то говорят, что вектор
разложен по векторам
1,…
к Система векторов
1,
2, …
к некоторого линейного пространства называется линейно независимым, если равенство
(2)
имеет место только при нулевых значениях коэффициентов х1, х2, …, хк, если же равенство (2) выполняется и при условии, что хотя бы один из коэффициентов х1, х2, …, хк, отличен от нуля, то система векторов
1,
2, …
к называется линейно зависимой.
Для векторов с заданными координатами
1(х1, y1, z1, p1),
2(x2, y2, z2, p2),
3(x3, y3, z3, p3),
4(x4, y4, z4, p4), составим определитель и вычислим его.
(3)
Подставим в (3) данные векторы
1,
2,
3,
4, получим

Так как
, то векторы линейно независимы и они образуют базис линейного пространства R4. Для вычисления координат вектора
в этом базисе составим систему линейных уравнений из координат векторов
1,
2,
3,
4 и
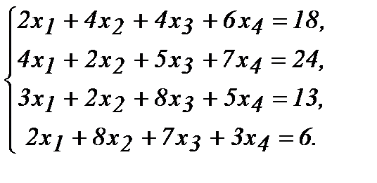
и решим ее методом Гаусса:
*
Составим матрицу системы и преобразуем ее к треугольному виду, т.е. будем последовательно получать нули ниже главной диагонали матрицы, на которых находятся элементы 2, 2, 8, 3.

Разделим каждый элемент I строки на 2, затем полученную I строку умножим последовательно на -4; -3; -2 и сложим соответственно со II; III и IV строками, получим:
~ 
Разделим III строку на (-2) и поменяем ее местами со II строкой.

Новую II строку умножим последовательно на 3; -2 и сложим соответственно с III и IV строками, получим:

III строку умножим на 5, IV на 6 и сложим их, получим:

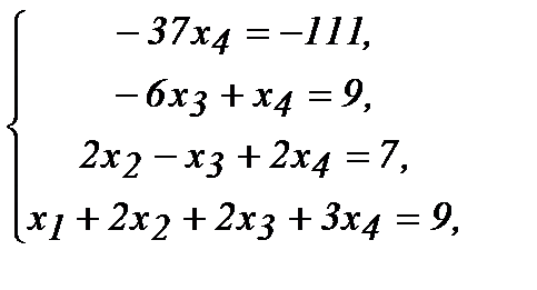
Таким образом получим матрицу ступенчатого вида, например х1, х2, х3, х4,

откуда х4 = 3, х3 = -1, х2 = 0, х1 = 2.
Решение системы * (2; 0; -1; 3) образует совокупность координат вектора
в базисе
1,
2,
3,
4, т.е. в этом базисе
(2; 0; -1; 3) или
= 2
1 -
3 + 3
4.
Пример 2. Даны координаты вершин пирамиды А1 (2; 1; 0), А2 (3; -1; 2), А3 (13; 3; 10), А4 (0; 1; 4).
Найти: 1) длину ребра А1А2;
2) угол между ребрами А1А2 и А1А4;
3) угол между ребрами А1А4 и гранью А1 А2 А3;
4) площадь грани А1 А2 А3;
5) объем пирамиды;
6) уравнение прямой А1А2;
7) уравнение плоскости А1 А2 А3;
8) уравнение высоты, опущенной из вершины А4 на грань А1 А2 А3. Сделать чертеж.
Решение.
1) Расстояние d между точками А (х1, y1, z1) и В (х2, y2, z2), определяется по формуле
(1)
Подставим в (1) координаты точек А1 и А2, находим длину ребра А1А2:
А1А2= 
2) Угол между ребрами А1А2 и А1А4 равен углу φ между направляющими векторами этих ребер
и
. Косинус угла между двумя векторами = скалярному произведению этих векторов, деленному на произведение их модулей:
(2)
Координаты вектора
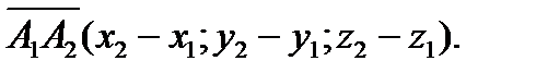
с началом в точке А1 (x1, y1, z1) и концом в точке А2 (x2, y2, z2)
(3)
Применяя (3), получим
(1; -2; 2),
(-2; 0; 4). Применяя (1), получим модули векторов

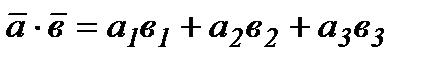
Скалярное произведение двух векторов с заданными координатами равны сумме произведений соответствующих координат, т.е если
(а1, а2, а3),
(
), то их скалярное произведение
(4)
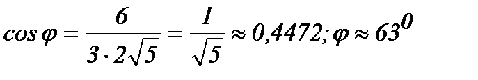
Применяя (4), найдем
. Следовательно,

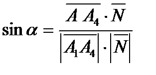
3) Угол между ребром А1А4 и гранью А1 А2 А3 равен углу φ между направляющим вектором
данного ребра и нормальным вектором
плоскости А1 А2 А3.
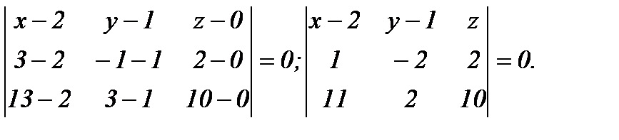
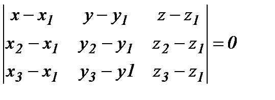
Уравнение плоскости, проходящей через 3 данные точки А1 (х1, y1, z1) и А2 (х2, y2, z2), А3 (х3, y3, z3) имеет вид
(5)
Подставим в (5) координаты точек А1 А2 А3, получим:

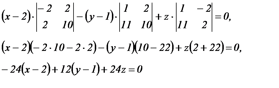
Разложим определитель по элементам I строки:

Сократив на (-12), получим уравнение плоскости А1 А2 А3:
2x – 4 – y + 1 - 2z = 0
2x – y - 2z – 3 = 0
Если уравнение плоскости α задано в каноническом виде Ax + By + Cz + Д = 0, то ее нормальный вектор
α (А; В; С), т.е. нормальный вектор плоскости А1 А2 А3 имеет координаты
(2; -1; -2). Синус угла α между вектором
и плоскостью А1 А2 А3
(6)
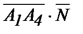
Найдем скалярное произведение
по формуле (4):
= -2 2 + 0 (-1) + 4 (-2) = - 4 – 8 = -12.






