
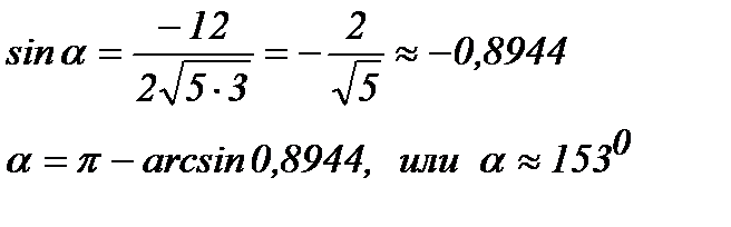
Следовательно,

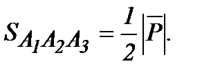
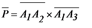
4) Площадь грани А1 А2 А3 равна половине площади параллелограмма, построенного на векторах
и
. Обозначим через вектор
векторное произведение векторов
и
, тогда площадь параллелограмма
, а площадь грани 
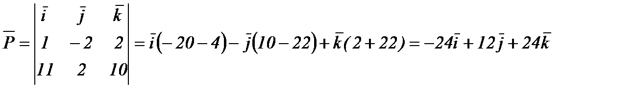
Координаты вектора
найдем по формуле (3):
(11; 2; 10)


кв. ед.
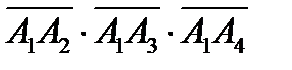
5) Объем пирамиды V в шесть раз меньше объема параллелепипеда V1, построенного на трех некомпланарных векторах, и равен абсолютной величине их смешанного произведения. Вычислим смешанное произведение
:

Следовательно, V1 параллелепипеда равен 144 куб. ед., а объем заданной пирамиды V = 144/6 =24 куб. ед.
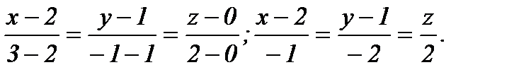
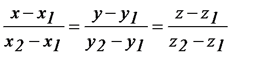
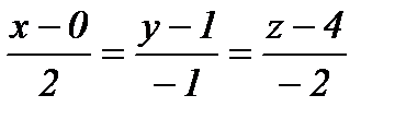
6) Уравнение прямой, проходящей через две заданные точки А1 (х1, y1, z1) и А2 (х2, y2, z2) имеет вид
(7)
Подставив в (7) координаты точек А1 и А2, получим

7) Уравнение плоскости А1А2А3 – это уравнение грани А1А2А3, которое найдено в п.3:
А1А2А3 : 2х – у – 2z – 3 = 0
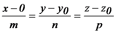
8) Уравнение высоты, опущенной из вершины А4 на грань А1А2А3 – это перпендикуляр А4Д. Каноническое уравнение прямой в пространстве имеет вид
(8)
где х0, у0, z0 – координаты точки, через которую проходит прямая (8), а m, n, p – направляющие коэффициенты этой прямой. По условию прямая проходит через точку А4( 0; 1; 4) и перпендикулярные грани А!А2А3 для которой
(2; -1; -2), т.е. подставив эти данные в формулу (8), получаем
|
|
|
- уравнение высоты А4Д
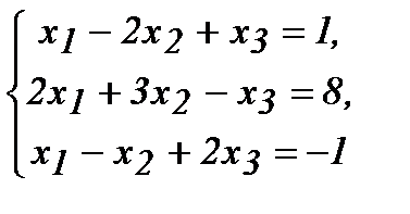
Пример 3. Данную систему уравнений:

решить по формулам Крамера (через определитель) и средствами матричного исчисления (с помощью обратной матрицы).
Решение.
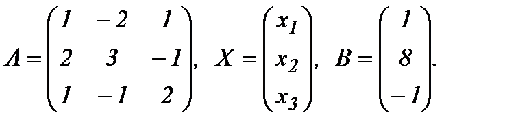
Обозначим через А матрицу коэффициентов при неизвестных;
Х – матрицу - столбец неизвестных х1, х2, х3;
В – матрицу – столбец свободных членов:

С учетом этих обозначений данная система уравнений примет следующую матричную форму:
(1)
Если матрица А – невырожденная (ее определитель
), то она имеет обратную матрицу А-1. умножив обе части уравнения (1) на А-1, получим:
,
но
- единичная матрица, а ЕХ = Х, поэтому
(2)
Равенство (2) называется матричной записью решения системы линейных уравнений. Для нахождения решения системы уравнений необходимо выписать обратную матрицу А-1.
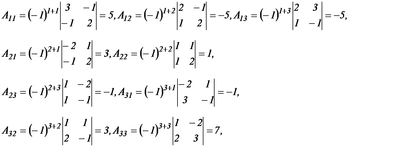
Пусть имеем невырожденную матрицу
и ее определитель равен Δ, тогда
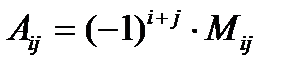
где Aij (i = 1,2,3; j = 1,2,3) – алгебраическое дополнение элемента aij в определителе матрицы А и 
где Mij – минор (определитель) второго порядка, полученный вычеркиванием i –й строки и j – го столбца в определителе матрицы А.
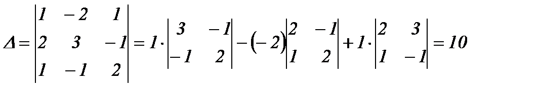
Вычислим определитель Δ и алгебраические дополнения Aij элементов матрицы А.

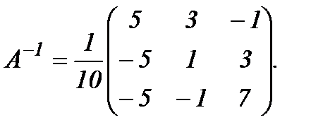
следовательно матрица А невырожденная и имеет обратную матрицу А -1.

тогда

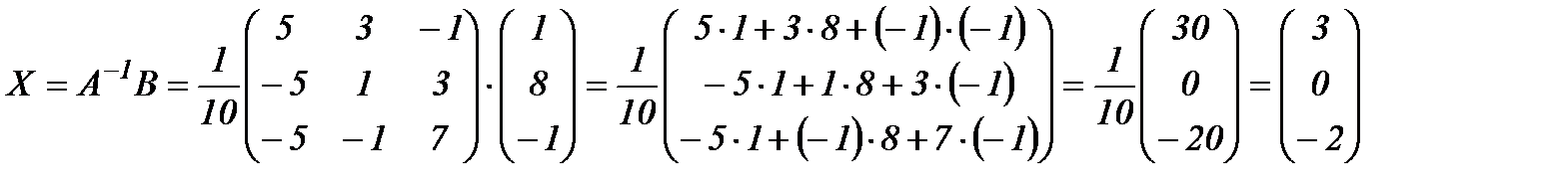
По формуле (2) находим решение данной системы уравнений в матричной форме:

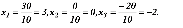
отсюда х1=3, х2=0, х3=-2.
Если определитель системы уравнений
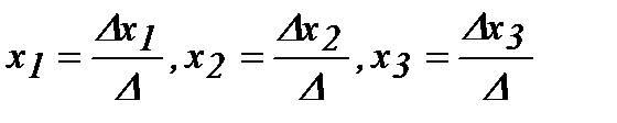
то такая система уравнений имеет одно определенное решение, получаемое по формулам
|
|
|
(3)
Формулы (3) называются формулами Крамера, где Δхi получается заменой i-го столбца в главном определителе Δ столбцом свободных членов.
Если определитель системы Δ=0 и по крайней мере один из определителей
, то такая система уравнений не имеет решения. Если же Δ=0 и все Δхi=0, то данная система уравнений либо не имеет решения, либо имеет бесчисленное множество решений.
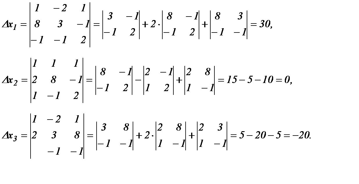
Определитель данной системы
.
Вычислим вспомогательные определители:

Применяя формулы (3), находим:

Пример 4. Решить систему методом Гаусса

Решение.
Составим по данной системе расширенную матрицу

умножим первую строку на
и сложим со второй строкой и с четвертой строкой; умножим первую строку на
и сложим с третьей строкой, получим

поменяем местами вторую и третью строки

умножим вторую строку на 7 и сложим с четвертой строкой

умножим третью строку на 31, а четвертую на 8 и сложим эти строки

разделим последнюю строку на 2

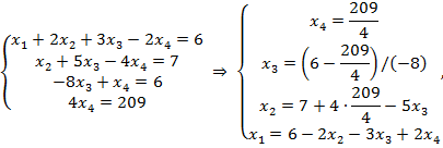
От ступенчатого вида матрицы переходим к системе

т.е. обратным ходом Гаусса находим все переменные.






