Для справок приводим таблицу неопределенных интегралов. Интегрирование, основное на применение таблицы основных интегралов, основных свойств неопределенного интеграла, а также простейших тождественных преобразований подынтегральной функции, принято называть непосредственным интегрированием.
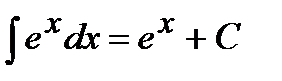
1. 
2. 
3. 
4. 
5. 
6. 
7. 
8. 
9. 
10. 
11. 
12. 
Пример 1. Найти интегралы:
а)
б)
в) 
Решение.
а) Применяя табличные интегралы, получим:
.
б) Преобразуем подынтегральную функцию и представим заданный интеграл в виде суммы двух других, каждый из которых табличный:

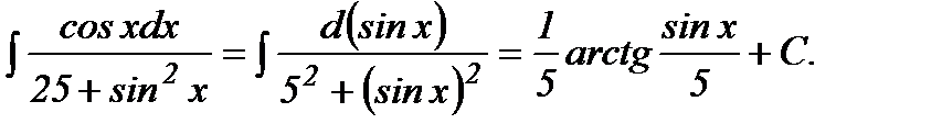
в) Чтобы привести данный интеграл к табличному, выразим стоящую в числителе единицу как sin2x + cos2x и разделим почленно на знаменатель:

Если данный интеграл
не является табличным и не может быть найден способом непосредственно интегрирования, то введение новой переменной интегрирования позволяет свести данный интеграл к табличному. В этом сущность так называемого метода подстановки.
Пример 2. Найти интегралы, применяя соответствующие подставки:
|
|
|
а)
б)
в)
.
Решение.
а) Чтобы привести данный интеграл к табличному, положим t = x2 + 1. Дифференцируя, получим dt = 2xdx, xdx =
. Производя замену, получаем:

б) Пусть t = arcsin x, тогда
; следовательно,
.
в) Так как cosxdx есть дифференциал функции sin x, то данный интеграл приводится к табличному так:

Пусть u и
– дифференцируемые функции от переменной х. Определим дифференциал произведения этих функций:
d (u
) = ud
+
du, откуда ud
= d (u
) –
du.
Проинтегрировав обе части последнего равенства, получим:
(1)
Эта формула (1) называется формулой интегрирования по частям. Ей пользуются в тех случаях, когда
есть более простой интеграл по отношению к данному интегралу
.
Пример 3. Найти интегралы: 
Решение.
а) Пусть u = х и dσ = e2xdx, тогда du = dx и σ =
.
Произвольную потоянную С можно учесть в окончательном ответе.
Применяя (1), получаем:

б) Пусть u = arc sin x, dσ = dx, тогда

+ 
Интегрирование рациональных дробей
Рациональной дробью называется дробь вида
, где Р(х) и Q(х) – многочлены. Рациональная дробь называется правильной, если степень многочлена Р(х) ниже степени многочлена Q(x); в противном случае дробь называется неправильной.
Простейшими (элементарными) дробями называются правильные дроби следующего вида:
I.
II.
, где m – целое число, m > 1;
III.
где
, т.е. квадратный трехчлен х2 + рх + q не имеет действительных корней;
IV.
где n – целое число, n > 1; т.е. квадратный трехчлен х2 + рх + q не имеет действительных корней.
Во всех четырех случаях предполагается, что А, В, р, q, а – действительные числа. Перечисленные дроби соответственно называют соответственно дробями I, II, III и IV типов.
Рассмотрим интегралы от простейших дробей I, II, III типов:
|
|
|
I.
.
II.
.
III.
(здесь в знаменателе исходного интеграла выделили полный квадрат и свели к табличному интегралу).
IV.
- сводится к табличному либо путем различных преобразований подинтегральной функции, либо используя рекуррентную формулу.
Пример 4. Найти интегралы:

Решение.
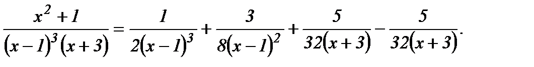
а) Данная дробь – правильная, ее знаменатель разложен на простейшие множители. Множителю (х – 1)3 соответствует сумма трех простейших дробей
а множителю (х + 3) – простейшая дробь
Итак, имеем:

Освободимся от знаменателя:
х2 + 1 = А(х + 3) + В(х – 1)2(х + 3) + С(х – 1)2(х+3)+ D(x – 1)3 (*)
Действительными корнями знаменателя являются числа 1 и –3.
Полагая в (*) х = 1, получаем, что 2 = 4А или А= 
Полагая в (*) х = -3, получаем, что 10 = - 64 D или D =
.
Сравним теперь коэффициенты при старших степенях х в левой и правой частях (*), т.е. при х3. В левой части равенства (*) нет члена с х3, т.е. коэффициент при х3 равен 0. В правой части коэффициент при х3 равен С + D. Итак, С + D = 0, откуда C = 
Остается определить коэффициент В. Для этого надо иметь еще одно уравнение. Это уравнение можно получить путем сравнения коэффициентов при одинаковых степенях х (например, при х2) или придав х какое-нибудь числовое значение. Удобнее взять такое значение, при котором вычислений будет возможно меньше. Полагая х = 0, получаем из равенства (*): 1 = 3А – 3В + 3С – D или
т.е. 
Окончательное разложение данной дроби на простейшие имеет вид:

Таким образом, получим:

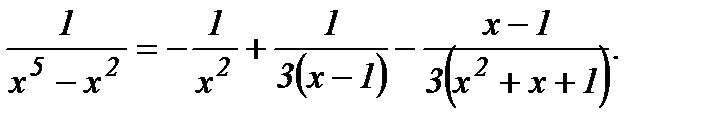
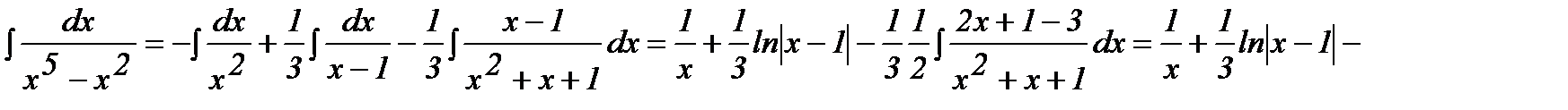
б) Разложим знаменатель дроби на множители: х5 – х2 = х2(х3 - 1) = х2(х – 1) (х2 + х + 1).
Тогда 
Освобождаемся от знаменателя:
1 = А(х – 1)(х2 +х + 1) + В(х – 1)(х2 + х + 1)х + С х2(х2 + х + + 1) + (Dx + E) x2 (x – 1).
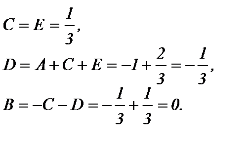
Действительными корнями знаменателя являются числа 0 и 1. Из последнего равенства при х = 0 имеем 1 = -А, т.е. А = -1; при х = 1, имеем 1 = 3С, т.е. С = 
Перепишем предыдущее равенство в виде:
1 = А(х3 – 1) + В(х4 – х) + С(х4 + х3 + х2) + Dx4 +Ex3 –Dx3 – Ex2.
Сравнивая коэффициенты при х4, х3, х2, получаем систему уравнений

Итак, 
Следовательно,


в) Так как х2 + 1 есть двукратный множитель, то
Освобождаясь от знаменателя, получаем: х3- 2х = Ах + В + (Сх + D) (х2+ 1). Приравниваем коэффициенты при одинаковых степенях х:
х3: 1 = С,
х2: 0 = D,
х: -2 = А + С, А = -3,
х0: 0 = В + D, В = 0.
Следовательно,

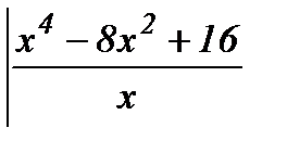
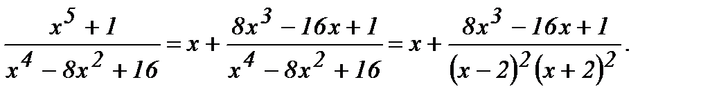
г) Выделим целую часть данной неправильной дроби, поделив числитель на знаменатель:

Следовательно, 
Разложим теперь правильную дробь на простейшие дроби:

Освободимся от знаменателей:
8х3 – 16х + 1 = А(х + 2)2+ В(х – 2)(х + 2)2+С(х – 2)2+D(х + 2)(х – 2)2.
Принимая в последнем равенстве:
х = 2: 33 = 42 А, откуда А= 
х = -2: -31 = 16 С, откуда С= - 
х =0: 1 = 4А – 8В + 4С + 8D, откуда –16В + 16D = 1.
Для того, чтобы найти В и D, сравнив коэффициенты при х3, получим еще одно уравнение: 8 = В + D. Решим получившуюся систему уравнений: 
Находим, что 
Итак, 






