Пусть и1, и2, …, иn, …, где иn= f(n) – бесконечная числовая последовательность. Выражение
и1+ и2+ и3 + …+ иn+ …
называется бесконечным числовым рядом, а числа и1, и2, …, иn – членами ряда; иn = f(n) – называется общим членом. Ряд часто записывают в виде: 
Перечислим важнейшие признаки сходимости и расходимости рядов с положительными членами.
Необходимый признак сходимости ряда. Если ряд и1+ и2+ и3 + …+ иn+ … сходится, то
т.е. при n→∞ предел общего члена сходящегося ряда равен нулю. Таким образом, если
то ряд расходится.
Первый признак сравнения. Пусть даны два ряда
и1+ и2+ и3 + …+ иn+ … (1)
σ1+ σ2+ σ3 + …+ σn+ …, (2)
причем каждый член ряда (1) не превосходит соответствующего члена ряда (2), т.е. иn≤ σn (n = 1, 2, 3, …). Тогда если сходится ряд (2), то сходится и ряд (1); если расходится ряд (1), то расходится и ряд (2).
Второй признак сравнения. Если существует конечный и отличный от нуля предел
то оба ряда
и
одновременно сходятся или одновременно расходятся.
Признак Коши. Если для ряда (1) существует
то этот ряд сходится при С < 1 и расходится при С > 1.
|
|
|
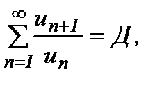
Признак Даламбера. Если для ряда (1) существует
то этот ряд сходится при Д <1 и расходится при Д >1.
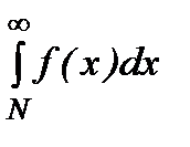
Интегральный признак. Если f(x) при х ≥ 1 – непрерывная, положительная и монотонно убывающая функция, то ряд
, где иn=f(n), сходится или расходится в зависимости от того, сходится или расходится интеграл
(N ≥1).
Знакопеременные ряды
Ряд, члены которого имеют чередующиеся знаки, называют знакочередующимися:
и1- и2+ и3 – и4+ …+(-1)n+1 иn+ …,
где un>0 (n = 1, 2, 3, …).
Признак сходимости знакочередующегося ряда (признак Лейбница).
Знакочередующийся ряд сходится, если абсолютная величина его членов монотонно убывает, а общий член стремится к нулю, т.е. если выполняется следующее условие:
1 ) и1> и2> и3 > …
и
2) 
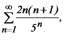
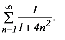
Пример 1. Исследовать сходимость числового ряда;
а) 
б) 
Решение
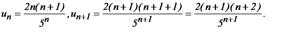
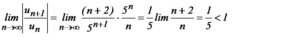
а) применим признак Даламбера. Выпишем n -ый и (n + 1) – ый члены ряда:

Тогда
и данный ряд сходится.
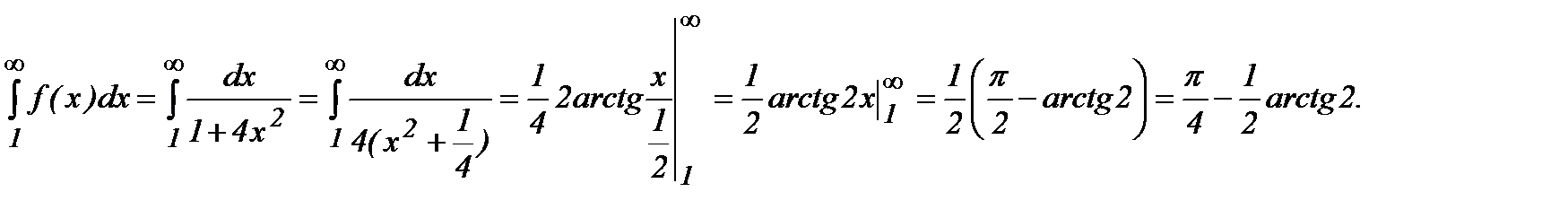
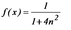
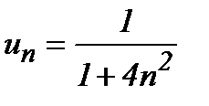
б) Применим интегральный признак:
; следовательно,
- непрерывная, положительная и монотонно убывающая функция при х ≥ 1 и

Данный интеграл – сходящийся, поэтому сходится и исследуемый ряд.






