Пример 7. Найти площадь фигуры, ограниченной параболой
и прямой у = х + 1.
Решение.
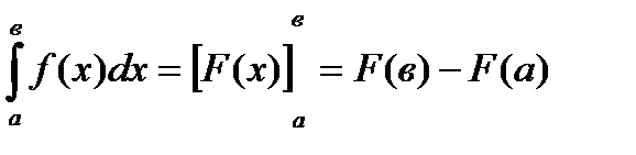
Площадь фигуры, ограниченной сверху непрерывной кривой у = f(x), снизу – непрерывной кривой у = φ(х), слева – прямой х = а, справа – прямой х = в, вычисляется по формуле
(7)
Определенный интеграл вычисляется по формуле Ньютона – Лейбница:
, (8)
для которого необходимо найти первообразную функцию F(x) и вместо переменной х подставить сначала верхний предел в, затем нижний предел а и из 1-го результата вычесть второй.
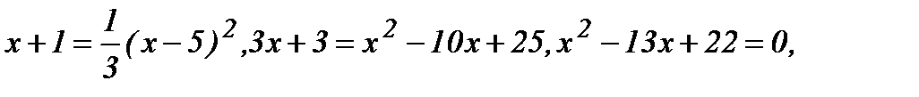
Определим точки пересечения данных линий, решив совместно систему уравнений

Подставив в 1-ое уравнение системы суммы (х + 1), вместо у, получим:

откуда х1 = 2, х2 = 11 и, следовательно, у1=3, у2=12. Таким образом, парабола и прямая пересекаются в точках А(2; 3) и В(11; 12) (рис. 10).
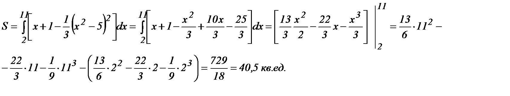
Так как сверху фигура ограниченна прямой, а снизу – параболой, то применяя формулу (7), имеем:


Рис. 10
Дифференциальные уравнения (ДУ)
Дифференциальное уравнение первого порядка имеет вид:
F = (x, y, y/) (1)
или (если его можно разрешить относительно у/):
|
|
|
у/ = f (x, y) (2)
Решение уравнения (1) или (2), содержащее произвольную постоянную С, то есть имеющее вид у = φ (х, С), называется общим решением этого уравнения. Если это решение получается в неявной форме Ф (х, у, С) = 0, то его называют общим интегралом уравнения (1) или (2).
Если придать произвольной постоянной С некоторое фиксированное значение, то из общего решения (общего интеграла) получим частное решение (частный интеграл) этого уравнения.
Уравнение І порядка Р (х, у) dx + Q (x, y) dy = 0 называется уравнением с разделяющимися переменными, если функция Р (х, у) и Q (х, у) разлагаются на множители, зависящие каждый только от данной переменной:
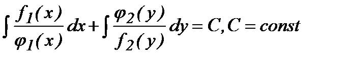
f1 (x) f2 (y) dx + φ1 (x) φ2 (y) dy = 0 (3)
В этом уравнении путем деления его членов на f2 (y)φ1 (x) переменные разделяются и общий интеграл находится почленным интегрированием:

Функция f(x, y) называется однородной измерения m, если f (λ x, λy) = λm f(x, y).
Однородное ДУ первого порядка называется уравнение у/ = f (х,у), если f(х,у) – однородная функция нулевого измерения.
Замечаение. Уравнение вида P(x,y)dx + Q(x,y)dy = 0 будет однородным, если P(x,y) и Q(x,y) являются однородными функциями одного и того же измерения.
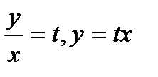
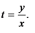
Однородное уравнение может быть приведено к виду у/ = f(y/x). С помощью подстановки у/х = t однородное уравнение приводится к уравнению с разделяющимися переменными по отношению к новой неизвестной функции t = t(x).
Уравнение вида:
(4)
где Р (х) и Q (x) – заданные непрерывные функции, называются линейным. ДУ І порядка (у и у/ входят в первых степенях, не перемножаясь между собой). Если Q (x) ≠ 0, то уравнение называется линейным неоднородным, а если Q = 0 – линейным однородным в смысле правой части.
|
|
|
Неоднородное линейное ДУ І порядка посредством замены искомой функции у = и σ сводится к двум уравнениям с разделяющимися переменными относительно каждой из вспомогательных функций.
Пример 1. Найти общее решение ДУ.
а) 
б) 
Решение.
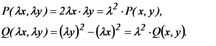
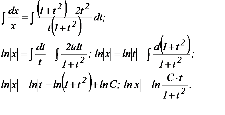
а) Данное уравнение является однородным, так как функции Р(х, у)=2ху и Q(х, у)=(у2-х2) – однородные второго измерения относительно х, у:

Применяем подстановку у = хt, где t – некратная функция аргумента х.
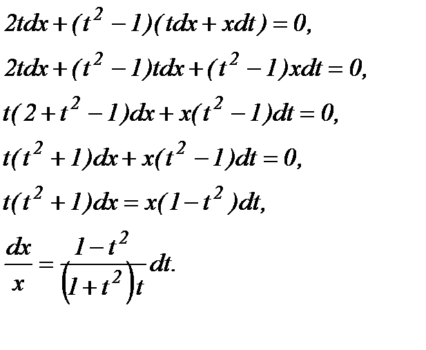
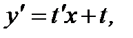
Если у = хt, то дифференциал dy = tdx + xdt, и данное уравнение примет вид:
2х . xtdx + (x2t2 – x2) (tdx + xdt) = 0
Сократив на х2, будем иметь:

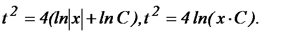
Получилось уравнение с разделенными переменными относительно х и t. Интегрируя, найдем общее решение этого уравнения:

Потенцируя, находим
или х (1 + t2) = Сt. Из введенной подстановки следует, что
Следовательно,
или х2 + у2= Су – общее решение данного уравнения.
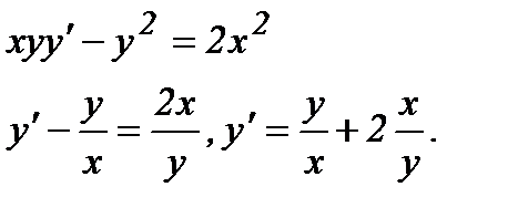
б) Поделим обе части уравнения на произведение функции ху, получим:

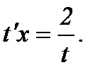
Введем подстановку
, откуда
где
Тогда последнее уравнение примет вид:
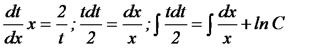
или 
Разделяя переменные и интегрируя, имеем:

или 
Возвращаясь к переменным х и у, получаем
или
- искомое общее решение ДУ.
Пример 2. Решить уравнение.
а) 
б) 
Решение.
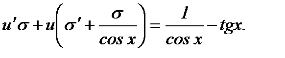
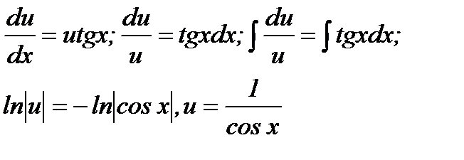
а) Поделим обе части уравнения на соs х:
(1)
Это линейное неоднородное уравнение. Введем подстановку у = иσ, тогда у΄= и΄σ + иσ΄ и данное уравнение (1) преобразуется к виду
или

Так как искомая функция у представлена в виде произведения двух вспомогательных функций и и σ, то одну из них можно выбрать произвольно. Выберем в качестве σ какой-либо частный интеграл уравнения:
(2)
Тогда для отыскивания функции и получим уравнение:
(3)
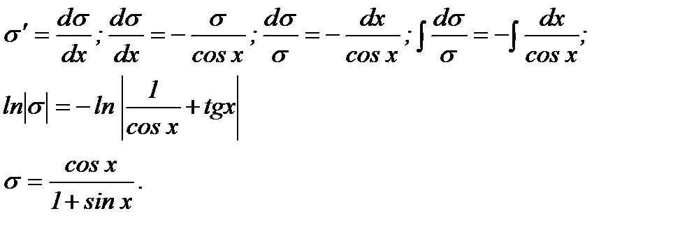
Уравнение (2), есть уравнение с разделяющимися переменными относительно σ и х. Решим его:

Чтобы равенство (2) имело место, достаточно найти одно какое-либо частное решение, удовлетворяющее этому уравнению. Поэтому для простоты при интегрирования находим то частное решение, которое соответствует значению произвольной постоянной С=0.
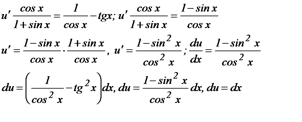
Подставив в (3) найденное выражение для σ, получим:

Интегрируя, получаем:

Тогда
или
- общее решение уравнения (1).
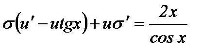
б) Данное уравнение является линейным, так как оно содержит искомую функцию у и ее производную у/ в первой степени и не содержит их произведений.
Применяем подстановку
, тогда
и уравнение примет вид:
или
(4)
Полагаем
u΄-utg x = 0 (5)
Тогда уравнение (4) примет вид:
(6)
Уравнение (5) – уравнение с разделяющимися переменными. Решим его:

(значение произвольной постоянной принимаем С =0)
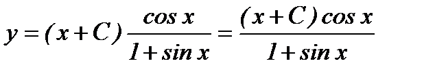
Подставив в (6) найденное выражение для и, получим:

Тогда
- общее решение данного уравнения.
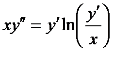
Дифференциальным уравнением n -го порядка называется уравнение вида:
F(x, y΄y΄΄,…y(n)) = 0
Решением такого уравнения служит всякая n раз дифференцированная функция у = φ (х), которая обращает данное уравнение в тождество, т.е.:
F (x, φ(x), φ΄(x), φ(n)(x)) = 0.
Для дифференцированного уравнения вида
F (x, y(k), y(k+1), …, y(n))= 0,
Не содержащего искомой функции у, порядок уравнения можно понизить, взяв за новую неизвестную функцию низшую из производных данного уравнения, т.е. пологая y(k)=z.
Тогда получим уравнение
F (x, z, z΄, …, z(n-k)) = 0
Таким образом, порядок уравнения понижается на k единиц.
Пример 3. Найти общее решение уравнения
(1)
Решение.
Данное уравнение II порядка не содержит явно функцию у. Положим у΄=z, где z – некоторая функция аргумента х. Если у΄=z, то у ΄΄ =z΄ и данное уравнение (1) примет вид:
или
(2)
Это однородное уравнение I порядка.
Введем подстановку
откуда z = xt, z΄=t΄x + t и уравнение примет вид:
или

Интегрируя, находим:
, или 
Потенцируя, получаем:
или
откуда 
Возвращаясь к переменной у, приходим к уравнению 
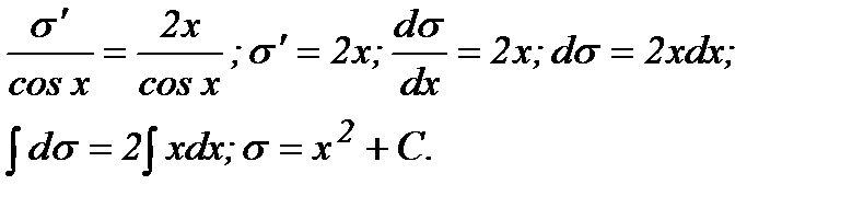
Это уравнение вида у(n)=f(x), решение которого находится n – кратным интегрированием.
Следовательно,
Для нахождения данного интеграла применяем формулу интегрирования по частям:
|
|
|
(3)
Положим u = x, dσ=
dx, тогда du = dx,
Применяя формулу (3), получаем общее решение уравнения (1):

Для ДУ вида
F (y, y΄, y΄΄, …, y(n)) = 0,
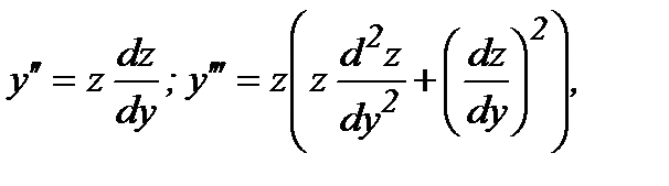
не содержащего независимой переменной х, допускается понижение порядка на единицу, если положить у/ = z, а за новый аргумент принять сам у. В этом случае у΄΄, у΄΄΄, … выразятся по формулам (они выводятся по правилу дифференцирования сложной функции:
… через z и производные от z по y, причем порядок уравнения понизится на единицу.
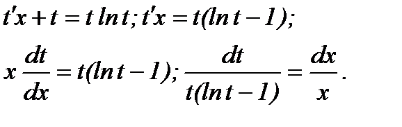
Пример 4. Решить уравнение у΄΄(1 + у) = у΄2+ у΄.
Решение.
Уравнение не содержит независимой переменной х. Положим у΄= z, y΄΄=
и данное уравнение примет вид:
или
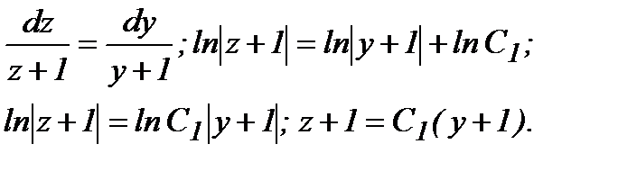
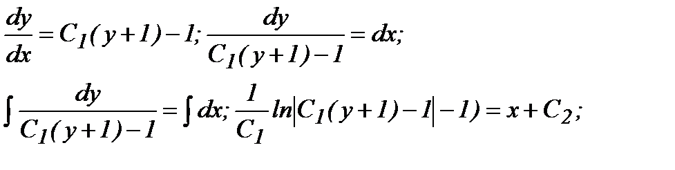
; это уравнение первого порядка относительно z c разделяющимися переменными. Разделяем переменные и интегрируем:

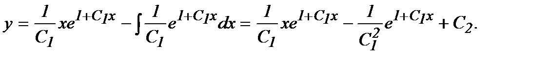
Возвращаясь к переменной у, получаем уравнение у΄=С1(у + 1 ) – 1; это уравнение I порядка с разделяющимися переменными.

– общий интеграл данного уравнения.
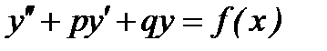
Линейные неоднородные дифференциальные уравнения II порядка с постоянными коэффициентами.
Уравнение
, (1)
где p и q – действительные числа, f(x) – известная непрерывная функция, называется линейным неоднородным дифференциальным уравнением II порядка с постоянным коэффициентом.
Функция y=φ(x, C1, C2), удовлетворяющая уравнению (1) при любых значениях произвольных С1 и С2, называется его общим решением.
Решение уравнения (1), получающиеся из общего решения при конкретных значениях постоянных С1 и С2, называется частным решением уравнения (1).
Т.к. в функцию y=φ(x, C1, C2) входят две произвольные постоянные C1 и C2; то для выделения из общего решения уравнения (1) некоторого частного решения необходимо иметь два начальных условия: если х=х0, то у=у0, у′= у′0, то есть у(х0)=у0, у′(х0)= у′0..
Для общего решения неоднородного уравнения (1) справедлива следующая теорема.
ТЕОРЕМА. Общее решение уоб.н. неоднородное уравнение (1) равно сумме общего решения уодн соответствующего однородного уравнения
и любого частного решения уч.н. данного неоднородного уравнения (1).
|
|
|
уоб.н.=уодн+уч.н.
Согласно этой теореме для решения уравнения (1) вначале находится функция уодн – решение однородного дифференциального уравнения
, (2)
где p, q – постоянные действительные числа.
Общее решение уравнения (2) находится с помощью характеристического уравнения.
k²+pk+q=0, (3)
которое получается из уравнения (2), если, сохраняя в нем коэффициенты p и q, заменить функцию у′ единицей, а все ее производные соответствующими степенями k.
При этом:
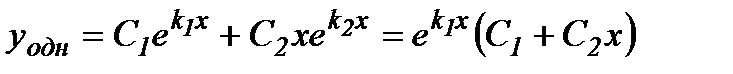
1) Если корни k1 и k2 характеристического уравнения (3) действительные и различные, то общее решение уравнения (2) выражается формулой
.
2) Если корни k1 и k2 характеристического уравнения (3) действительные и равные (k1=k2), то общее решение уравнения (2) выражается формулой
.
3) Если корни k1 и k2 характеристического уравнения (3) комплексные (k1=α+βi, k2= α-βi), то общее решение уравнения(2) есть:
.
Для некоторых специальных видов функции f(x) частное решение уч.н. уравнение (1) можно найти методом неопределенных коэффициентов. По виду правой части f(x) можно заранее указать вид частного решения уч.н ., где неизвестны лишь числовые коэффициенты, в следующих простейших случаях.
I. f(x)=Pn(x), где Pn(x) – многочлен степени n.
В этом случае уч.н. есть многочлен Qn(x) той же самой степени n,что и многочлен Pn(x), если число 0 не является корнем характеристического уравнения (3); если же число 0 является корнем характеристического уравнения кратности r, то уч.н.=хкQn(x).
II. f(x)=aemx (a, m – некоторые числа).
В этом случае уч.н.=Аеmx, если число m не является корнем характеристического уравнения (3) и уч.н.=Аxrеmx, если число m является корнем характеристического уравнения кратности r.
Здесь А – подлежащий определению коэффициент.
III. f(x)=emx Pn(x), где Pn(x) – многочлен степени n.
В этом случае уч.н.=еmxQn(x), если число m не является корнем характеристического уравнения и уч.н.=хrеmxQn(x), если число m является корнем характеристического уравнения кратности r. Здесь Qn(x) – многочлен той же степени n, что и Pn(x).
Например: Q0(x)=А;
Q1(x)=Ах+В;
Q2(x)=Ах2+Вх+С;
Q3(x)=Ах3+Вх2+Сх+D; и т.д.
Коэффициенты А,В,С,D подлежат определению.
IV. f(x)=eαx(acosβx+bsinβx). Тогда уч.н.=еαx(Аcosβx+Вsinβx), если число α±βi не является корнем характеристического уравнения и уч.н.=хеαx(Аcosβx+Вsinβ x), если число α±βi является корнем характеристического уравнения.
Здесь А и В - подлежащие определению коэффициенты.
V. Правая часть уравнения (1) функция f(x) есть сумма указанных функций.
Тогда частное решение уч.н. этого уравнения есть сумма частных решений уравнений с той же левой частью, что и уравнение (1), а правые части этих уравнений есть каждое слагаемое правой части уравнения (1).
Пример 5. Найти частное решение дифференциального уравнения
, удовлетворяющее начальным условиям у(0)=у0, у′(0)=у′0.
а) y″-2y′+10y=6cos2x+4sin2х, y(0)=1,y′(0)=6;
б) y″-9y′8y=3x2+2x+1, y(0)= 
Решение: а) Вначале находим общее решение однородного уравнения y″-2y′+10y=0; соответствующего данному неоднородному уравнению. Составим и решим его характеристическое уравнение.
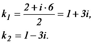
k2-2k+10=0
D=4-4·1·10=-36<0, значит, уравнение имеет два комплексно-сопряженных числа.

Тогда общее решение соответствующего однородного уравнения будет (согласно п.3).
уодн=ex(C1cos3x+C2sin3x).
Правая часть данного уравнения f(x)=6cos 2x+4sin2x, где по п. IV α=0, a=6, b=4, β=2 и числа α±βi =±2i не является корнем характеристического уравнения.
Тогда частное решение данного неоднородного уравнения будет функция вида
уч.н.=е0x(Аcos 2x+Вsin2x)= Аcos 2x+Вsin2x.
Найдем производные первого и второго порядка функции уч.н.:
y′ч.н.=-2Asin2x+2Bcos2x,
y″ч.н=-4Acos2x-4Bsin2x.
Представим уч.н, y′ч.н, y″ч.н в данное неоднородное уравнение:
-4Acos2x-4Bsin2x-2(.-2Asin2x+2Bcos2x)+10(Аcos 2x+Вsin2x)= 6cos2x+4sin2x,
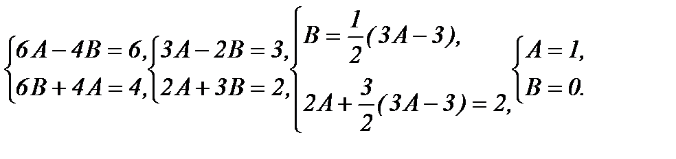
(6А-4В)cos 2x+(6B+4A)sin2x=6cos 2x+4sin2x, которое будет тождеством только при равенстве коэффициентов у подобных членов в обеих его частях:

Следовательно, уч.н=cos 2x и общее решение данного неоднородного уравнения будет:
уоб.н.=уодн+уч.н.,
уоб.н= ex(C1cos3x+C2sin3x)+ cos 2x
Используя начальные условия, найдем значения произвольных постоянных С1 и С2. Подставляя в общее решение заданные значения х =0, у =1 (первое начальное условие), получим 1= e0(C1cos0+C2sin0)+ cos 0 или 1=С1+1, С1=0.
Дифференцируем общее решение:
у′= ex(C1cos3x+C2sin3x)+ ex(-3C1sin3x+3C2 cos3x)-2sin2x или
у′= ex((C1+3C2 )cos3x+(C2-3C1)sin3x)-2sin2x
Подставим в результат дифференцирования заданные значения х =0 и у′ =6 (второе начальное условие), получим второе уравнение с неизвестными С1 и С2:
6= e0((C1+3C2 )cos0+(C2-3C1)sin0)-2sin2x или С1+3С2=6.
Решая полученные уравнения как систему, найдем С1 =0 и С2 =2. Подставляя значения С1 =0, С2 =2 в общее решение, получим искомое частное решение, удовлетворяющее заданным начальным условиям.
у=2ехsin3x+cos2x.
б) Составим однородное уравнение, соответствующее данному неоднородному

Его характеристическое уравнение k²-6k+8=0 имеет корни k1=2, k2=4, поэтому общее решение соответствующего однородного уравнения будет
уодн=C1е2х+С2е4х.
Теперь находим частное решение уч.н. данного неоднородного уравнения. Для правой части данного уравнения f(x)=3x2+2x+1. Число 0 не является корнем характеристического уравнения, поэтому уч.н. есть многочлен той же степени, что и f(x), т.е. многочлен второй степени уч.н.=Ах2+Вх+С. Отсюда, дифференцируя, находим у′ч.н.=2Ах+В, у″ч.н.=2А и подставляя уч.н., у′ч.н. и у″ч.н. в данное уравнение, получим равенство
2А-6(2Ах+В)+8(Ах2+Вх+С)=3х2+2х+1,
2А-12Ах+6В+8Ах2+8Вх+8С=3х2+2х+1,
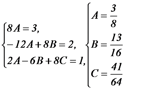
8Ах2+(8В-12А)х+(8С-6В+2А)=3х2+2х+1.
Приравнивая коэффициенты при одинаковых степенях х из обеих его частей, а только при этом условии оно будет тождественным, получим систему:

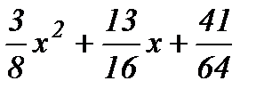
Следовательно, уч.н.=С1е2х+С2е4х+
или
уч.н.=С1е2х+С2е4х+
(24х2+52х+41).
Используя начальные условия, найдем значения произвольных постоянных С1 и С2. Подставляя в общее решение первое начальное условие (х =0, у =
) получим
С1+С2+
=
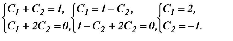
, С1+С2=1.
Дифференцируя общее решение
у′=2С1е2х+4С2е4х+
(48х+52).
и подставляя в результат второе начальное условие(х =0, у′ =
) получим второе уравнение с неизвестными С1 и С2.
2 С1+4С2+
=
, 2 С1+4С2=0, С1+2С2=0.
Решив полученные уравнения как систему, найдем С1 и С2:

Подставляя значения С1 =2, С2 =-1 в общее решение получим искомое частное решение, удовлетворяющее заданным начальным условиям:
у=2е2х-е4х+
(24х2+52х+41).
Кратные, криволинейные и поверхностные интегралы.
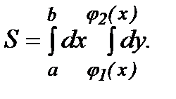
Площадь плоской фигуры, ограниченной областью D, находится по формуле:

Если область D определена, например, неравенствами а≤x≤b, φ1(х)≤y≤φ2(х), то

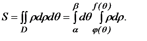
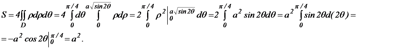
Если область D в полярных координатах определена неравенствами α≤θ≤β, φ(θ)≤ρ≤f(θ), то

Преобразование прямоугольных координат х, у к полярным координатам ρ, θ, осуществляется по формулам х=ρcosθ, y= ρsinθ, где ρ – полярный радиус – вектор произвольной точки М, θ – полярный угол точки М.
Пример 7. Найти площадь фигуры, ограниченной кривой:
а) (х2+у2)=2а2ху (лемниската)
б) х3+у3=аху (площадь петли).
Решение: а) Полагая х=ρcosθ, y=ρsinθ, преобразуем уравнение кривой к полярным координатам. В результате получим:
(ρ2cos2θ+ ρ2sin2θ)2=2а2ρ2cosθsinθ или ρ2=2а2cosθsinθ=а2sin2θ.
Построим кривую. Разрешив уравнение относительно ρ, находим ρ=±а
. Из того, что в правой части равенства стоит двойной знак «±», а также из того, что ρ(-θ)=±а
, заключаем, что лемниската расположена симметрично относительно начала координат.
Исследуем форму лемнискаты для I четверти, т. е. для случая ρ≥0, 0≤θ≤π∕2. Для этого составим таблицу, учитывая, что ρ=±а
:
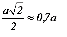
| θ | | | | | |
| ρ | 0,9а | а | 0,9а |
Построим данную кривую.

Нетрудно заметить, что θ может измениться только в промежутке от 0 до
, и такому изменению угла θ соответствует четверть искомой площади. Следовательно,

Т.о., площадь искомой фигуры S=a2 кв.ед.
б) х3+у3=аху
Преобразуем данное уравнение к полярным координатам
ρ3(sin3θ+cos3θ)=aρsinθcosθ, т.е.

Построим петлю в I четверти, т.е. ρ>0, 0≤θ≤π/2.
Составим таблицу значений.
| θ | | | | | |
| ρ | | | |

Осью симметрии петли является луч θ=
, поэтому

Т.о., площадь петли S=
кв.ед.






