Нормальным называют распределение вероятностей непрерывной случайной величины Х, плотность которого имеет вид

где а – математическое ожидание, σ – среднее квадратическое отклонение Х.
Вероятность того, что Х примет значение, принадлежащее интервалу (α,β),
Р(α<х<β)=Ф
(1)
где Ф(х)=
- функция Лапласа.
Пример 1. Математическое ожидание а нормально распределенной случайной величины Х а=10, среднее квадратическое отклонение σ= 2. Найти вероятность попадания этой величины в интервал (12;14).
Решение: Подставив в формулу (1) α=12, β=14, а=10, σ=2, получаем
Р(12<х<14)=Ф 
По таблице для функции Лапласа находим, что Ф(2)= 0,4772, Ф(1)=0,3413 и искомая вероятность Р(12<х<14)=0,1359.
Оценки, которые определяются одним числом, называют точечными. При малом числе наблюдений эти оценки могут приводить к грубым ошибкам. Чтобы избежать этих ошибок, используют интервальные оценки, которые определяются двумя числами – концами интервала (в котором заключена оцениваемая величина с заданной вероятностью).
Таким образом, задача сводится к отысканию такого интервала (его называют доверительным), который с заданной вероятностью γ (ее называют надежностью) покрывают оцениваемый параметр. Наиболее часто надежность принимают равной 0,95 или 0,99, или 0,999.
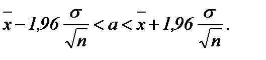
В частности, при надежности γ=0,95 доверительный интервал для оценки математического ожидания а нормального распределения (по выборочной средней
выборки объема n, при известном σ) находят по формуле

В обозначениях формула принимает вид: 
Если доверительный интервал найден, то с надежностью 0,95 можно считать, что оцениваемый параметр заключен в этом интервале.
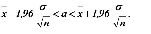
Пример 2. Найти доверительный интервал для оценки математического ожидания а нормального распределения с надежностью 0,95, зная выборочную среднюю
=10,43 (статистическую среднюю
), объем выборки (число наблюдений) n=100 и среднее квадратическое отклонение σ=5.
Решение: Воспользуемся формулой:

Подставляя данные, получаем:
10,43-1,96(5/10)< а <10,43+1,96(5/10), или окончательно 9,45< а <11,41.






