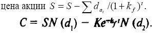
Учет дивидендных выплат. Выплата дивидендов приводит к снижению цены акции. Тем самым цена опциона колл снижается (цена пут увеличивается).
Дивидендные выплаты для краткосрочного опциона (срок исполнения до года). Переменной модели должна стать текущая оценка ожидаемых дивидендов в течение срока исполнения. В этом случае 
На пример, если опцион колл на акцию имеет цену исполнения 45 долл. и осталось 4 месяца до срока исполнения, то при текущей цене 50 долл. и дисперсии логарифма цен 0,06 при ожидаемой выплате дивидендов через 2 месяца в размере 0,56 долл. текущая оценка дивиденда

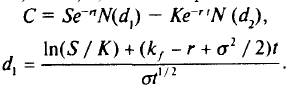
Дивидендные выплаты для долгосрочного опциона. Предпосылкой модифицированной модели является неизменность дивидендной доходности (г = Дивиденд на акцию / Текущая цена акции) в течение срока опциона.

Досрочное исполнение опциона (модели американского опциона). Для включения в модель возможности досрочного исполнения могут быть применены два подхода: 1) оценка колл для каждой экс-дивидендной даты и выбор максимальной оценки (ввод параметров срока выплаты дивидендов и их величины, корректировка цены акции на текущую оценку дивидендов, выбор максимальной цены колл); 2) использование биномиального подхода для задания вероятности досрочного исполнения.






