Различные товары одного и того же назначения способны в разной степени удовлетворять потребности пользователя, т. е. обладать различным качеством.
Мерой потребительной стоимости, характеризующей полезность товара, является его качество. Поэтому вполне естественно, что одной из важнейших задач товароведения, изучающего пот-
ребительные стоимости товаров, является раскрытие закономерностей формирования качества товара на всех этапах его жизненного цикла: при проектировании, производстве, хранении, транспортировке, реализации и потреблении.
Под качеством понимают совокупность свойств товара, обусловливающих его способность удовлетворять определенные потребности в соответствии с его назначением. При этом качество товара характеризуется комплексом присущих ему свойств, а также степенью соответствия товара функциональным, органолептиче-ским, эстетическим и другим требованиям, определяющим возможность удовлетворения тех или иных потребностей человека. Чем выше качество товара, тем полнее он удовлетворяет такие потребности.
|
|
|
Каждый товар обладает присущей только ему совокупностью свойств. Свойства товара представляют собой его объективные особенности, проявляющиеся в сфере товарного обращения, потребления или эксплуатации.
Следует отметить, что между понятиями "эксплуатация" и "потребление" имеются различия. Так, термин "потребление" применяется к товарам, которые при использовании сами расходуются (например, лакокрасочные материалы, парфюмерная продукция и т. п.).
Термин "эксплуатация" применяется обычно по отношению к товарам, у которых при использовании расходуется ресурс работы. К таким товарам относятся обувь, одежда, аудио-видеоаппаратура и т. п.
Качество конкретных товаров составляют те свойства, которые связаны с удовлетворением определенных потребностей в соответствии с их назначением.
Товар может обладать полезными свойствами, но не отличаться высоким качеством, если он не соответствует требованиям удовлетворения определенных потребностей.
Следует отметить, что часто используемое на практике определение качества товара как соответствие его требованиям нормативно-технической документации не раскрывает полностью его сущности.
|
|
Глава 1
Свойства товаров характеризуются показателями качества, которые в свою очередь классифицируют по ряду признаков.
Наиболее важной представляется классификация по количеству характеризуемых свойств: единичные и комплексные показатели качества.
Единичный показатель качества описывает одно простое свойство товара, например фактуру ткани, стойкость запаха ду^ хов и т. д.
|
|
|
Комплексный показатель качества товара является характеристикой нескольких его свойств.
При этом следует отметить, что если хотя бы один из единичных показателей равен нулю, то нулевым считается и комплексный показатель, а товар, непригодный даже по одному показателю, не может считаться качественным.
В зависимости от совокупности свойств, характеризующих качество товара, комплексные показатели подразделяют на групповые, интегральные и обобщенные.
Групповой комплексный показатель характеризует группу простых свойств или одно сложное свойство. Групповой комплексный показатель оценивается одной числовой величиной, например, определенным количеством баллов.
Обобщенный комплексный показатель качества характеризует всю совокупность свойств, по которым производится оценка качества (например, по всем потребительским свойствам).
Обычно проводят сравнительную оценку качества товара, сравнивая показатели его качества с базовыми показателями, т. е. с показателями, характеризующими качество продукции, принятой за эталон.
За базовые показатели принимают, как правило, показатели лучших образцов товара того же назначения, в наибольшей степени удовлетворяющие потребности пользователей товара. По мере совершенствования производства и повышения требований потребителей базовые эталонные товары, с присущими им показателями качества, заменяются другими - более перспективными.
Базовые показатели качества также могут быть единичными и комплексными. Отношение показателя качества к соответству-
Теоретические основы товароведения
ющему базовому показателю характеризует относительный показатель качества товара.
Как указывалось ранее, оценка качества товара по существу является установлением соответствия товара общественным по-гребностям. Однако количественная оценка потребностей весьма затруднительна и поэтому на практике оценивается не само качество товара, а уровень его качества.
Уровень качества является относительной характеристикой качества товара, основанной на сравнении значений показателей качества оцениваемого товара с базовыми значениями соответствующих показателей.
|
При определении уровня качества сравнивают обычно совокупность показателей качества оцениваемого товара с аналогичной совокупностью базовых показателей:
Как уже отмечалось, комплексный показатель характеризует ряд свойств товара, однако значимость (весомость) этих свойств для каждого вида товара различна. Поэтому для учета неодинаковой значимости свойств при расчете комплексного показателя вводятся так называемые коэффициенты весомости свойств, характеризующие важность того или другого свойства. Чем важнее свойство, тем больше коэффициент его весомости.
Комплексный показатель качества, как правило, выражают в виде суммы произведений значений показателей качества на величину коэффициента их весомости:
Глава 7
Теоретические основы товароведении
Отношение величины комплексного показателя качества товара к величине комплексного показателя базового образца характеризует уровень качества продукции. Если это отношение равно единице, то представленный товар имеет такой же уровень качества, как и базовый (эталонный) образец; если отношение меньше единицы, то уровень качества анализируемого товара ниже качества базового образца; если отношение этих показателей больше единицы, то анализируемый товар по своему качеству превышает качество эталонного (базового) образца.
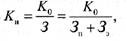
Интегральный показатель качества товара представляет собой отношение суммарного полезного эффекта от эксплуатации товара к суммарным затратам на его создание, обращение, хранение, транспортировку, эксплуатацию или потребление.
|
|
|
Интегральный показатель качества (Кк) связан с показателями свойств, определяющими стоимость и потребительную стоимость следующим соотношением:

где 3, 3, З.з - соответственно затраты на производство и эксплуатацию товара; производство товара; эксплуатацию товара;
К0 - показатель, характеризующий основные потребительские свойства товара.
Между тем определение интегрального показателя качества товара и суммарного полезного эффекта от эксплуатации или потребления достаточно сложно и возможно не для всех видов товаров.
Численные значения показателей качества оцениваемого товара определяют с помощью объективных или эвристических методов оценки.
К объективным методам оценки показателей качества товаров относятся методы, основанные на определении показателей свойств путем измерений или выявлении отклонений этих показателей от установленных требований.
В группу таких методов входят измерительный, регистрационный и расчетный методы.
Измерительный метод основан на использовании для определения показателей качества товаров измерительных приборов, реактивов и других технических измерений. Достоинством этого метода являются объективность, точность и возможность выразить показатели свойств в единицах определенной размерности: килограммах, метрах, литрах, ваттах и т. д.
К недостаткам этого метода относятся использование в ряде случаев достаточно сложного оборудования, а также потери образцов товаров за счет их разрушения или порчи при испытаниях.
Регистрационный метод базируется на результатах подсчета появления отказов работы изделия за определенное время эксплуатации, а также количества изделий с различными видами дефектов и отклонениями от требований нормативных документов.
Недостатком этой группы методов являются их трудоемкость и в ряде случаев длительность проведения наблюдений.
Расчетный метод определения показателей качества товаров основан на получении информации расчетным путем. При использовании этого метода те или иные показатели качества определяются не с помощью непосредственного определения показателя, а путем их расчета с использованием формул и различных математических моделей.
|
|
|
Эвристические методы оценки качества товаров основаны на использовании органов чувств, интуиции и обобщенного опыта людей.
К эвристическим методам относят органолептический, экспертный и социологический методы.
Органолептический метод определения показателей свойств товаров, отличающийся простотой и возможностью проведения в любых условиях без применения специального оборудования, базируется на использовании органов чувств человека- обоняния, осязания, зрения, слуха и вкуса. С помощью этого метода можно оценивать, например, твердость материалов, запах духов, качество звучания музыкальных инструментов, вид изделий и т. д.
Недостатком этого метода являются невозможность получения точного числового значения показателей качества и применение для оценки только балльной системы.
Глава 1
Экспертный метод оценки качества товара - это метод, основанный на решении, принимаемом экспертами. Экспертный метод можно считать одной из разновидностей органолептического метода, использующего для оценки качества товара обобщенные оценки группы специалистов (экспертов). При этом точность полученных в балльной системе оценок в значительной мере зависит от классификации экспертов и правильности организации проводимой экспертизы.
Социологический метод оценки качества основывается на изучении мнений широкого круга потребителей об уровне качества рассматриваемого товара. Информацию о мнении потребителей получают путем проведения анкетирования, устных опросов, конференций, аукционов, выставок-продаж и т. п.
Важное значение для производства товаров надлежащего качества и управления качеством имеет контроль качества товаров, представляющий собой процедуру проверки соответствия показателей качества товаров требованиям нормативно-технической документации и договоров поставки. Одной из задач контроля становится выявление дефектов продукции, к которым относится каждое отдельное несоответствие товара требованиям, указанным в документах.
Дефекты продукции могут быть выявлены как при органолеп-тическом, так и при измерительном контроле; а некоторые дефекты могут быть обнаружены только в процессе эксплуатации.
В зависимости от возможности выявления дефекты могут быть явными и скрытыми.
Явный дефект товара - это дефект, для выявления которого в нормативной документации, обязательной для данного вида контроля, предусмотрены соответствующие правила, методы и средства. Многие явные дефекты обнаруживаются уже при визуальном контроле продукции.
Скрытый дефект товара - это дефект, для выявления которого в нормативной документации, обязательной для данного вида контроля, не предусмотрены соответствующие правила, методы и средства. Скрытые дефекты обнаруживаются, как правило, при эксплуатации товара (изделия).
Теоретические основы товароведения
По происхождению дефекты можно классифицировать на производственные и непроизводственные. Производственный дефект образуется в процессе производства товара, как правило, вследствие нарушения технологического режима изготовления изделия, в то время как непроизводственный дефект - это дефект товара, появившийся после завершения процесса производства товара, т. е. при транспортировке, хранении, реализации, эксплуатации или потреблении.
Исходя из возможности устранения дефекты подразделяются на устранимые и неустранимые.
К устранимым дефектам относят дефекты товара, устранение которых технически возможно и экономически целесообразно. Неустранимые дефекты - это дефекты товара, устранение которых технически невозможно и экономически нецелесообразно.
Важна также значимость дефекта, представляющая собой относительную величину, определяемую видом, размером, местонахождением дефекта и характеризующуюся степенью его влияния на уровень качества товара по сравнению с другими дефектами.
По степени влияния на качество предусмотрена градация дефектов на критические, значительные, малозначительные.
Критический - это дефект, при наличии которого использование товара по назначению практически невозможно или недопустимо.
Значительные дефекты товара существенно влияют на возможность использования товара по назначению, на его качество и длительность эксплуатации.
Малозначительные (незначительные) дефекты существенно не влияют на использование изделия по назначению и на его долговечность.
В результате сплошного или выборочного контроля качества продукции выявляется годная продукция и брак. Годная продукция (товар) - это товар, удовлетворяющий всем установленным требованиям. Браком считается продукция, передача которой потребителю не допускается из-за наличия дефектов, недопускаемых нормативными документами.
Деление продукции на годную и брак относится к любым товарам. Для некоторых групп и видов продукции предусмотрено деление по сортам, группам сложности, группам качества, маркам, номерам и т. д. Например, товары легкой и текстильной промышленности, исходя из уровня производственного исполнения, подразделяются по сортам. Подразделяют на сорта и продукцию фарфоро-фаянсовой промышленности. Сорт представляет собой градацию товара определенного вида по одному или нескольким показателям качества, установленную нормативной документацией.
Деление на сорта проводится в зависимости от наличия дефектов и отклонений по некоторым показателям потребительских свойств.
При отнесении товара к тому или другому сорту учитывают вид и характер дефектов, их размер и местоположение на изделиях. Сорта устанавливают по балльной или ограничительной системе. Наиболее распространенной является балльная система, при которой нормативными документами для каждого из сортов ограничивают вид дефектов, их количество, размеры, местоположение на изделии. При балльной системе отклонения от нормы стандарта по контролируемым показателям и параметрам дефектов оценивают в условных единицах - баллах.
Путем сравнения суммы баллов, полученных изделием при контроле, с нормативными требованиями стандартов, предусматривающими для каждого сорта допустимую сумму баллов, товар относят к тому или иному сорту.
Следует отметить, что в последние годы наблюдается тенденция к уменьшению количества сортов или вообще к отказу деления товаров на сорта.
Изделия из пластмасс, мебель и технически сложные изделия на сорта не делят, сохранив лишь градацию на годные и негодные товары.
Как указывалось выше, для оценки уровня качества ряда групп товаров применяются другие градации. Например, туалетное мыло и духи, исходя из уровня потребительских свойств, определяемых рецептурой (составом), подразделяют на группы
качества; цементы, исходя из их прочностных показателей, делят на марки; а писчую бумагу в зависимости от белизны, плотности и других свойств, определяющих уровень ее качества, делят на номера.