Под классификацией товаров понимают разделение заданного множества товаров по определенным признакам на отдельные категории (подмножества) с использованием выбранного метода деления и соблюдением установленных правил.
Классификация играет важную роль в любой области человеческой деятельности как способ упорядочения исследуемых явлений, свойств, материалов.
В товароведении классификация позволяет объединить в родственные группы большое количество товаров, находящихся в сфере обращения, что дает возможность упорядочить терминологию, облегчить учет спроса, изучение потребительских свойств и ассортимента товаров, совершенствовать учет товаров и отчетность в торговой деятельности и т. п.
Классификация позволяет разделить множество (товар) на отдельные части в зависимости от имеющихся общности и различий, распределив товар по определенным категориям или ступеням - от высших к низшим. Число ступеней классификации зависит от ее целей, а также сложности и количества классифицируемых объектов,
Для классификации товаров используют два метода: иерархический и фасетный.
При иерархической системе классификации товары подразделяют на подчиненные подмножества, составляющие единую систему с взаимосвязанными подразделениями (группа, подгруппа, вид, подвид и т. п.) объектов, сходных хотя бы по одному признаку.
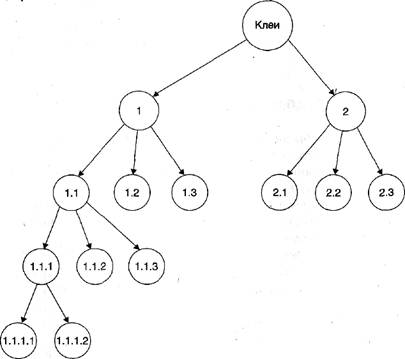
В качестве примера на рис. 1.3 приведена иерархическая система классификации клеев.
|
Глава 1
Теоретические основы товароведения
Подобным образом классифицируются другие виды клеев, например, синтетические (2) подразделяют на клеи на основе термопластичных смол (2.1), клеи на основе термореактивных смол (2.2), клеи на основе синтетических каучуков (резиновые) (2.3) и т. д.
При фасетной системе классификации предусматривается разделение товаров на отдельные независимые друг от друга параллельные группы (фасеты) на основе какого-либо признака в каждой из этих групп.
Фасетная классификация отличается большой гибкостью и позволяет в каждом отдельном случае ограничивать подразделение множества товаров лишь несколькими группами, которые представляют интерес в каждом конкретном случае.
Вышеуказанная группа "Клеи" может быть, например, с применением фасетного метода классифицирована по назначению по схеме, изображенной на рис. 1.4.
В ряде случаев используют сочетание иерархического и фасетного методов классификации.
В настоящее время существует несколько систем классификации товаров.
Широкое применение в торговом процессе имеет торговая классификация, согласно которой все товары подразделяются на два раздела: продовольственные и непродовольственные.
Рис. 1.3. Классификация клеев
Клеи классифицируют:
- на природные (1);
- синтетические (2).
Природные клеи (1) подразделяют:
- на животные (1.1);
- растительные (1.2);
- минеральные (1.3).
В свою очередь природные клеи животного происхождения (1.1) подразделяют на коллагеновые (1.1.1), казеиновые (1.1.2) и альбуминовые (1.1.3).
К коллагеновым клеям (1.1.1) относятся мездровый (1.1.1.1) и костный (1.1.1.2) клеи и т. д.

Рис. 1.4. Схема классификации клеев по назначению:
1 - клеи для древесины; 2 - клеи для кожи; 3 - клеи универсальные; 4 - клеи канцелярские; п - прочие
Непродовольственные товары согласно торговой системе классификации делят на следующие товарные группы: товары из пластических масс; бытовые химические товары; силикатные товары; строительные товары; металлические товары; электротовары и бытовые машины; текстильные товары; швейные товары; трикотажные товары; пушно-меховые и овчинно-шубные товары; галантерейные товары; парфюмерно-косметические товары; ювелирные товары и часы; товары культурно-бытового назначения. В особую группу выделяют книги и другую печатную продукцию.
Вышеперечисленные группы товаров могут разукрупняться или укрупняться за счет объединения нескольких групп или выделения новых. Например, группа силикатных товаров часто разделяется на две группы: стеклянные и керамические товары.
Общую группу товаров культурно-бытового назначения нередко разукрупняют на ряд самостоятельных групп: музыкальные товары, игрушки и т. д.
В связи с тем что в торговой практике достаточно широко используется организация торговли с учетом потребностей покупателей, в торговой классификации предусматривается подразделение товаров по потребительским комплексам (например, "Товары для детей", "Одежда", "Товары для строительства", "Товары для дома" и т. п.).
Учебная классификация предусматривает для более подробного и последовательного изучения курса товароведения деление непродовольственных товаров на одежно-обувные товары и товары культурно-бытового и хозяйственного назначения, которые подразделяют на группы, принятые в торговой классификации.
В течение длительного времени широко применялась прейскурантная система классификации, предусматривающая выделение 144 прейскурантных групп.
Нередко в товароведении используются стандартные классификации, представленные в государственных и отраслевых стандартах.
Важное значение имеет экономико-статистическая система классификации, базирующаяся на Общероссийском классифика-
торе продукции ОК 005-93 {ОКП) (ранее Общесоюзный классификатор промышленной и сельскохозяйственной продукции).
Согласно ОКП всю продукцию объединяют в классы (с 01 по 98) по отраслевому принципу и виду исходного сырья. Деление продукции проводят по десятичной системе. Каждый класс делят на 10 подклассов, подкласс - на 10 групп, группу - на 10 подгрупп, подгруппу - на 10 видов.
Эти пять категорий составляют высшие классификационные группировки. Вид подразделяют на разновидности: подвиды, марки, модели и др.
На основе ОКП проводят кодирование товаров.
Кодирование товаров представляет собой процедуру присвоения товарам определенного цифрового, буквенного или буквенно-цифрового номера - кода.
Согласно экономико-статистической системе продукции присваивают десятичный цифровой код. Шесть цифр кода применяют для обозначения высших классификационных группировок. При этом первые две цифры обозначают номер класса, третья - номер подкласса, четвертая - номер группы, пятая - номер подгруппы, шестая - номер вида продукции.
Последние четыре цифры кода служат для внутривидовых обозначений и указывают на конкретные марки, типоразмеры, модели.
К сожалению, в торговле применение ОКП затруднено, т. к. в этой системе специально не выделены классы товаров народного потребления, а эти товары разнесены по разным классам.
Низшей степенью классификации является присвоение товару определенного артикула. Артикул представляет собой условное обозначение, присваиваемое товару в целях отражения его особенностей и отличия от другого аналогичного по виду товара по несущественным признакам.
Использование артикулов заменяет подробное описание товаров особым обозначением, тем самым ускоряя ведение торговой документации, учета товаров, облегчает изучение спроса и составления заказов на поставки товаров.
Глава 1
Теоретические основы товароведения