Название научной и учебной дисциплины "товароведение" является производным от слов "товар" и "ведать" (знать) и дословно может интерпретироваться на современный язык как "знание о товаре".
Товароведение как одна из отраслей знаний в первую очередь связано с развитием товарного производства и потребностями торговли.
Товар как продукция, изготовленная для обмена или продажи, благодаря двойственному характеру труда, затраченного на ее производство, имеет меновую и потребительную стоимости.
Меновая стоимость характеризует товар с точки зрения его обмена как вещи на другие вещи в соответствующих определенных пропорциях. Потребительную стоимость товара, несмотря на многогранность этого понятия, в первую очередь следует рассматривать как полезность товара, его способность удовлетворять определенные человеческие потребности. Потребительная стоимость присуща всем продуктам труда, но проявляется она лишь при потреблении или использовании вещи, которые позволяют оценить ее полезность. Поскольку потребительную стоимость имеют все продукты труда - и средства производства, и предметы личного потребления, то предметом товароведения в широком понятии должны быть потребительные стоимости всех продуктов труда.
Между тем в современном понимании этого термина товароведение рассматривается как научная и учебная дисциплина,
предметом изучения которой являются потребительные стоимости товаров народного потребления.
К товарам народного потребления относятся товары промышленных, сельскохозяйственных и кустарных предприятий, предназначенные для реализации в сфере обращения с целью удовлетворения материальных и культурных потребностей населения.
Именно изучением потребительных стоимостей этой группы товаров и занимается современное товароведение.
Потребительные стоимости других продуктов труда (например, сырья, средств производства) изучаются другими смежными отраслями - материаловедением, машиноведением и др.
Продукты труда становятся товаром лишь при наличии товарного производства и товарного обращения.
В зависимости от типа потребления продуктов труда их потребительную стоимость подразделяют на индивидуальную и общественную.
Индивидуальной потребительной стоимостью обладают продукты труда, произведенные не для обмена и продажи, а для потребления. Например, индивидуальной потребительной стоимостью характеризуется продукция, выращенная для личного потребления на приусадебном участке.
Продукт труда, произведенный для обмена или торговли с целью удовлетворения потребностей общества, характеризуется общественной потребительной стоимостью.
Общественная потребительная стоимость единицы товара определяется как единичная потребительная стоимость, а потребительная стоимость общественного продукта, удовлетворяющего потребности определенных групп потребителей или всего общества, - как совокупная потребительная стоимость.
Единичная потребительная стоимость связана с удовлетворением личных потребностей отдельного индивидуума или его семьи.
Совокупная общественная потребительная стоимость товаров создается для удовлетворения потребностей общества или отдельных его групп.
Общественная потребительная стоимость товаров характеризуется двумя неразрывно связанными сторонами: материально-вещественной и социально-экономической. В связи с этим изучением потребительной стоимости занимаются многие научные дисциплины. Предметом изучения товароведения является материально-вещественная сторона потребительной стоимости, а социально-экономическая сторона потребительной стоимости является объектом изучения ряда экономических дисциплин.
Потребительная стоимость товара обусловлена присущими ему потребительскими свойствами, проявляющимися при использовании товара потребителем для удовлетворения материальных, культурных или биологических потребностей.
Следует, однако, отметить, что не все свойства товаров относятся к категории потребительских.
Выбор номенклатуры потребительских свойств и показателей качества зависит от назначения товара и является необходимым условием установления уровня качества товара.
В зависимости от той роли, которую играют потребительские свойства в жизненном цикле товара, их можно подразделить на функциональные, эргономические, эстетические, а также свойства безопасности и надежности.
Функциональные свойства - это потребительские свойства товара, определяющие его соответствие как предмета потребления или эксплуатации целевому назначению. По показателям функциональных свойств оценивают способность товара удовлетворять те или иные потребности человека. Чем выше показатели функциональных свойств, тем более полно товар удовлетворяет потребности человека. Функциональные свойства определяют как возможность или целесообразность использования материала или изделия (простые функциональные свойства), а также как возможность выполнения основной и вспомогательной функций изделия (сложные функциональные свойства).
Номенклатура показателей функциональных свойств достаточно широка и определяется в первую очередь назначением изделия, его возможностью выполнять основные и вспомогательные
Глава 7
Теоретические основы товароведения
функции при эксплуатации или потреблении. Важную роль играют функциональные свойства при оценке качества товара.
Эргономические свойства товара - это потребительские свойства товара, обеспечивающие удобство и комфорт его потребления или эксплуатации на различных этапах функционального процесса в системе "человек - товар - среда". К эргономическим свойствам относится удобство пользования товаром, определяющее его способность функционировать с учетом особенностей строения и свойств организма каждого потребителя. Важное значение в качестве составных частей эргономических свойств имеют гигиенические, антропометрические, физиологические и другие свойства и показатели. Существенны также гигиенические свойства, характеризующие гигиенические условия жизнедеятельности и работоспособности человека при его взаимодействии с изделиями и окружающей средой.
Гигиенические показатели, в первую очередь такие, как температура и влажность окружающей среды, запыленность и освещенность помещений, гигроскопичность и паропроницаемость одежды и другие, могут влиять на самочувствие, здоровье и работоспособность человека.
Важное значение для удобства пользования и комфортности имеют антропометрические показатели, характеризующие степень соответствия изделия, его конструкции и элементов составных частей размерам, форме и массе тела человека. Эти показатели особенно важны для таких товаров, как обувь и одежда.
Эстетические свойства характеризуют способность товара выражать в чувственно-воспринимаемых признаках его социально-культурную значимость, техническое и эстетическое совершенство.
Показателями эстетических свойств товара, характеризующими его эстетический уровень, могут служить: соответствие формы изделия его назначению, моде, стилю; информационная выразительность; внешний (товарный) вид, цветовое оформление; совершенство производственного исполнения, а также другие характеристики, связанные с удовлетворением потребностей людей.
Важнейшей характеристикой товара является его безопасность, относящаяся к потребительским свойствам, обеспечивающим безвредность потребления и использования товара человеком. При этом безопасность рассматривается в качестве потребительского свойства, обеспечивающего защиту как человека, так и среды его обитания от вредных и токсичных воздействий товара при его потреблении, хранении, транспортировке и утилизации.
Оценивая безопасность товара в целом, следует учитывать возможность причинения им травм (механических, тепловых, химических и др.), вероятность выделения веществ, вредных для человека и окружающей среды (канцерогенных, токсичных и др.), а также наличие опасных физических воздействий (звуковых, световых, радиационных и др.).
Показатели надежности товара в потреблении представляют собой показатели качества товара, характеризующие сохранение основных параметров его функционирования во времени и в пределах, соответствующих заданным условиям потребления или эксплуатации.
Показатели надежности товара включают в себя его безотказность, долговечность, ремонтопригодность и сохраняемость.
Безотказность - это способность товара непрерывно сохранять работоспособность в течение некоторого времени или некоторых наработок.
Оценивают показатель безотказности средним временем работы на один отказ, длительностью работы без отказа и т. д.
Долговечность товара - свойство, характеризующее его способность сохранять работоспособность до наступления предельного состояния при установленной системе технического обслуживания и ремонта.
Под предельным состоянием товара в этом случае понимается его разрушение или невозможность дальнейшего использования вследствие физического или морального износа.
Оценивается долговечность сроком службы или ресурсом работы, выражаемыми продолжительностью работы (минуты, годы и т. д.) или количеством циклов.
Ремонтопригодность - характеристика товара, определяющая его способность к устранению причин выхода из строя, а также обнаружению и предупреждению отказов в работе.
Сохраняемость товара - это показатель, характеризующий способность товара непрерывно сохранять свои потребительские свойства при хранении, транспортировке, реализации, потреблении или эксплуатации в условиях, установленных нормативно-технической документацией.
В настоящее время для непродовольственных товаров в качестве критерия сохраняемости принят срок годности (или службы) товара, определяемый как срок, в течение которого товар пригоден для эффективного использования по назначению.
Потребительские свойства товара базируются на ряде его естественных свойств - химических, физических, физико-химических, физико-механических и биологических.
Химические свойства характеризуют устойчивость материалов и изделий к действию окислителей, восстановителей, воды, органических растворителей, кислот, щелочей и других сред, а также к воздействию факторов светопогоды. Устойчивость материалов, и соответственно товаров, к действию выше перечисленных сред зависит от природы материала, его химического и физического строения и т. п.
Химические свойства материалов в значительной степени определяют назначение изготовленных из них товаров, их поведение при эксплуатации и хранении, условия их использования и т. д.
Химическая устойчивость оценивается по степени изменений химической и физической структуры материалов, проявляющихся в изменении их массы, прочности, цветности, деформационных и других характеристик. Опенка химической устойчивости материалов может проводиться по результатам испытаний как в реальных условиях эксплуатации и хранения, так и в условиях форсированных (более жестких, чем реальные) испытаний.
К физическим свойствам относят показатели геометрических размеров, массу, плотность, тепловые, акустические, оптические и другие характеристики материалов и товаров. Физические свойства материалов играют важнейшую роль при проектировании
и производстве товаров, определяют режимы их эксплуатации, длительность ресурса работы и надежность товара в эксплуатации.
Одними из важнейших параметров материалов, и особенно изделий, являются их геометрические характеристики: длина, высота, ширина (толщина), площадь, объем.
Показатели геометрических размеров-длина, ширина, высота изделий и комплектующих деталей являются чрезвычайно важными для таких товаров, как мебель, сложно-технические изделия (холодильники, фото-, видео-, аудиоаппаратура), инструменты, отдельные элементы сборных конструкций и т. п.
Дисперсность материалов (размеры частиц) играют важную роль в формировании потребительских свойств пигментов, декоративной косметики и т. п. Не менее важное значение имеют показатели массы материалов и изделий, такие как плотность, объемная масса, насыпная масса и др.
Масса - одна из основных физических характеристик материи, являющаяся мерой ее инерционных и гравитационных свойств.
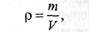
Плотность (р, кг/м3) представляет собой величину, характеризующую массу единицы объема вещества, определяемую по формуле

где т - масса тела; V - объем тела.
Объемная масса материала характеризует величину массы материала, включая имеющиеся в нем поры и пустоты.
Объемная масса тел всегда меньше его плотности, а исходя из величин этих показателей можно рассчитать пористость материала по формуле

где П- пористость, %;
Р0 - объемная масса, кг/м3; р - плотность, кг/м3.
Глава 1
Теоретические основы товароведении
|
| Расчет показателя теплоемкости производится по формуле |
Для характеристики сыпучих материалов часто используют показатель насыпной массы, характеризующий массу сыпучих веществ, заполнивших единицу объема емкости (тары).
Важное значение, особенно для эргономических потребительских свойств, имеет показатель поверхностной плотности материалов, характеризующийся плотностью 1 м3 материала. Этот показатель особенно важен для тканей, трикотажных, бумажных и картонных изделий.
В ряде случаев при оценке эксплуатационных свойств товаров большое значение имеет масса изделий, например спортивного инвентаря, обуви, одежды, где она является либо нормируемым показателем, либо характеристикой, определяющей уровень эргономических свойств изделий.
Важнейшей группой свойств являются теплофизические или термические показатели, характеризующие поведение материала при действии на него тепловой энергии: теплоемкость, теплопроводность, термическое расширение, термическая стойкость, теплозащитная способность, огнестойкость.
К теплофизическим характеристикам следует отнести также параметры, связанные с протеканием фазовых переходов в материалах под действием температур. В их число входят показатели температуры перехода материалов из твердого в жидкое, вязкотекучее или высокоэластическое состояния, так называемые температуры плавления или течения - для кристаллических систем; температуры размягчения - для стеклообразных материалов, а при переходе из жидкого, вязкотекучего или высокоэластического состояния в кристаллическое и стеклообразное - соответственно температуры кристаллизации и стеклования.
Термическая устойчивость материалов, характеризующаяся переходом из жидкого или твердого состояния в газообразное, может оцениваться по показателю температур летучести, испарения или возгонки.
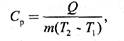
Теплоемкость материала - это количество теплоты, которое необходимо сообщить телу для повышения его температуры на 1 °С в определенном интервале температур.
где С - теплоемкость, Дж/°К; <2 - количество теплоты, Дж; Т1иТ2- начальная и конечная температуры тела.
На практике часто оценку теплоемкости проводят по показателю удельной теплоемкости, представляющей собой количество тепла, необходимое для нагревания единицы массы вещества на 1 °С при постоянном давлении:

где С - удельная теплоемкость, ДжУкг-°С; т - масса вещества, кг.
Теплопроводность характеризует способность материала проводить тепло при наличии разности температур между различными участками тела.
Мерой теплопроводности является коэффициент теплопроводности, который показывает, какое количество тепла проходит через тело длиной 1 м, площадью 1 м2 при разности температур между поверхностями 1 °С в течение 1 часа:

где X - коэффициент теплопроводности, Вт/м-°С;
<2 - теплота;
/ - длина тела, м;
5- площадь поперечного сечения тела, м2;
т - время, с;
Т1 и Т2 - соответственно температура тела в двух различных точках, отстоящих друг от друга на расстоянии / (м), °С.
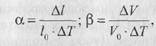
Показатель термического расширения характеризует способность материала изменять свои размеры при изменении температуры.
Глава 7
Теоретические основы товароведения
|
| Критерием оценки величины термического расширения являются температурные коэффициенты линейного (а) и объемного (6) расширения: |
где /0 и К0 - соответственно длина и объем тела, м и м3;
А/ и ДК- соответственно прирост длины и объема тела, м и м3; Л71- разность температуры тела до и после нагрева, °С.
Следует отметить, что величины коэффициентов термического расширения для различных материалов могут существенно различаться. Так, например, в диапазоне температур от О до 100 °С коэффициент линейного термического расширения для кварца составляет 0,05 • 10'5, для бронзы - 2 • 10'6, а для каучу-ков-80-10-6.
Для товарных групп, в первую очередь таких, как фотоаппаратура, стекла, оптические приборы, лакокрасочные системы, важными являются оптические свойства, характеризующие способность товаров и материалов рассеивать, пропускать, поглощать или отражать световые излучения. К основным оптическим свойствам можно отнести цвет, блеск, прозрачность тел, а также преломляемость света в них.
Световые излучения электромагнитны по своей природе и характеризуются определенной длиной волны. При изменении длины волны света изменяется и их воздействие на сетчатку глаза человека.
В зависимости от длины волны оптическая область спектра делится на видимую часть с длиной волн от 380 до 760 нм и невидимую: ультрафиолетовую с длиной волн от 10 до 380 нм и инфракрасную - 770 до 340 000 нм.
Ультрафиолетовая составляющая спектра является наиболее мощным излучением, способным вызывать протекание химических реакций в некоторых телах (в первую очередь, в веществах органического происхождения) и приводить к изменению их структуры и важнейших свойств.
Инфракрасные (тепловые) излучения вызывают разогрев тел и используется поэтому в нагревательных приборах как носители тепловой энергии.
Цвет - сложное свойство, имеющее как физическую, так и психологическую сущность, т. к. является характеристикой световой энергии, оцениваемой посредством зрительного восприятия. Видимая часть спектра состоит из излучений различных длин волн и представляет собой ряд цветов, непрерывно изменяющихся от фиолетового до красного. В сплошном спектре постепенному изменению длины волны соответствует непрерывное изменение цвета. Следует, однако, отметить, что деление спектра на цветовые участки является достаточно грубым и в какой-то степени условным. Одно из делений спектра на цветовые участки приведено в табл. 1.1.
Выделение именно этих участков объясняется тем, что на их границах происходят наиболее заметные изменения цветов. Число различных по цветам участков можно было бы увеличить, что и делает ряд исследователей, выделив участки оранжево-красных, желто-оранжевых, зеленовато-желтых, желто-зеленых и других цветов.
Цвет тел зависит от их способности отражать или пропускать падающий на них световой поток.
Таблица 1.1






