
Это означает, что на один рубль выручки от реализации в I квартале приходится 14,4 коп., а во II - 12,4 коп. стоимости материала А в запасах.
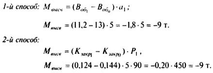
5. Относительное высвобождение товарного запаса вследствие ускорения их оборачиваемости:

Полученный результат означает, что если бы во II квартале не произошло ускорения оборачиваемости запаса материала А, то средний запас в этом периоде составил бы не 56 т, а 65 т, т.е. на 9 т больше.
14.6. Показатели статистики поставок и реализации
Поставкой продукции называется отпуск или отправка продукции потребителям предприятиями-изготовителями (отпуск продукции на склады не включается) в натуральном выражении.
Реализованной называется продукция, отгруженная покупателям (заказчикам), выполненные работы и оказанные услуги (в стоимостном выражении), на которые покупателем (заказчиком) предоставлены расчетные документы.
После этого продукция считается поставленной и подлежит фактическому учету,
Выполнение договорных обязательств по поставкам продукции является одним из важнейших показателей для оценки хозяйственной деятельности предприятия.
Оценка выполнения обязательств по поставкам производится по объему (количеству), срокам, ассортименту и качеству поставляемой продукции, предусмотренной хозяйственными договорами и заказами - нарядами внешнеторговых организаций.
Индекс выполнения договорных поставок по объему исчисляется по формуле:

Общий индекс выполнения договорных поставок по ассортименту будет равен:

Задача 3. Имеются следующие данные о выполнении обязательств по поставкам (табл.14.2)
Выполнение плана (обязательств) поставок


Показатель выполнения обязательств по ассортименту не может превышать 100%. Он будет составлять 100% при отгрузке средств в строго определенном ассортименте и меньше при нарушении его.
В случае перевыполнения обязательств по поставкам по всем позициям обязательства по ассортименту считаются выполненными на 100%.
При этом в расчетную графу объема фактических поставок заносят фактический объем поставок, не превышающий их планового (договорного) уровня, т.е. методом зачета (см. гр. 4 табл. 14.2).
Важное значение в статистике реализованной продукции имеет исчисление индексов физического объема реализации и индекса оборота реализованной продукции.
Индекс физического объема реализации:







