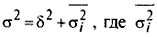
Данные о продаже товаров

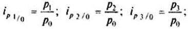
Определитель: общий кодекс цен.
Решение.
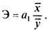
Запишем, исходя из условия, индивидуальные индексы цен:,
iq' = 1.03 и iq'' = 1,06, и подставим их значения в формулу среднего гармонического индекса цен (8.14):

Следовательно, в отчетном периоде по сравнению с базисным цены на данную группу товаров повысились в среднем на 4,6%.
Рассмотрение методологии исчисления индексов и их применение в экономическом анализе позволяют сделать следующее обобщение.
Индивидуальные индексы являются обычными относительными величинами сравнения, т.е. могут быть названы индексами только в широком понимании этого термина (в целях единства методики и терминологии).
Важной особенностью общих индексов, построение и расчет которых составляют суть индексного метода, является то, что они обладают синтетическими и аналитическими свойствами:
Синтетические свойства общих индексов состоят в том. чго они выражают относительные изменения сложных (разното-варных) явлений, отдельные части и элементы которых непосредственно несоизмеримы.
|
|
|
Аналитические свойства общих индексов состоят в том, что посредством индексного метода определяется влияние факторов на изменение изучаемого показателя.
Таким образом, обшие индексы являются синтетическими и аналитическими показателями, играющими важную роль в социально-экономических исследованиях.
1 Индекс потребительских цен (ИПЦ), см. подробнее глав 21.3.
8.5. Базисные и цепные индексы
Часто в ходе экономического анализа изменение индексируемых величин изучают не за два, а за ряд последовательных периодов. Следовательно, возникает необходимость построения индексов за ряд этих последовательных периодов, которые образуют индексные системы. Такие системы характеризуют изменения, происходящие в изучаемом явлении в течение исследуемого периода времени.
В зависимости от базы сравнения индексы бывают базисными и цепными.
В системе базисных индексов сравнения уровней индексируемого показателя в каждом индексе производится с уровнем базисного периода, а в системе цепных индексов уровни индексируемого показателя сопоставляются с уровнем предыдущего периода.
Цепные и базисные индексы могут быть как индивидуальные, так и общие.
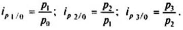
Ряды индивидуальных индексов просты по построению. Так, например, обозначив четыре последовательных периода подстрочными значениями 0,1,2,3, исчисляем базисные и цепные индивидуальные индексы цен:
• базисные индексы: 
• цепные индексы: 
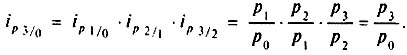
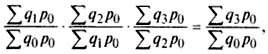
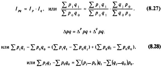
Между цепными и базисными индивидуальными индексами существует взаимосвязь, позволяющая переходить от одних индексов к другим -- произведение последовательных цепных индивидуальных индексов дает базисный индекс последнего периода:
|
|
|

Отношение базисного индекса отчетного периода к базисному индексу предшествующего периода дает цепной индекс отчетного периода:

Это правило позволяет применять так называемый цепной метод, т.е. находить неизвестный ряд базисных индексов по известным цепным и наоборот.
Рассмотрим возможность применения цепного метода исчисления для агрегатных индексов.
Как известно, в каждом отдельном индексе веса в его числителе и знаменателе обязательно фиксируются на одном и том же уровне.
Если же строится ряд индексов, то веса в нем могут быть либо постоянными для всех индексов ряда, либо переменными.
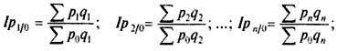
Рассмотрим построение базисных и цепных индексов на примере агрегатных индексов цен и физического объема продукции.
Базисные индексы:
• индексы цен Пааше (с переменными весами):

индексы цен Ласпейреса (с постоянными весами):

• индексы физического объема продукции (с постоянными весами):

Цепные индексы:
индексы цен Пааше (с переменными весами):

индексы цен Ласпейреса (с постоянными весами):

индексы физического объема продукции (с постоянными весами):

Итак, в базисных агрегатных индексах все отчетные данные сопоставляются только с базисными (закрепленными) данными, а в цепных - с предыдущими (в данном случае - смежными) данными.
Период весов во всех индексах цен Пааше взят текущий (индексы с переменными весами), в индексах физического объема и индексах цен Ласпейреса - закрепленный (индексы с постоянными весами).
Постоянные веса (не меняющиеся при переходе от одного индекса к другому) позволяют исключить влияние изменения структуры на значение индекса.
Ряды агрегатных индексов с постоянными весами имеют преимущество - сохраняется взаимосвязь между цепными и базисными индексами, например, в ряду агрегатных индексов физического объема:

или в ряду агрегатных индексов цен Ласпейреса:

Таким образом, использование постоянных весов в течение ряда лет позволяет переходить от цепных общих индексов к базисным и наоборот.
В рядах агрегатных индексов качественных показателей, которые строятся с переменными весами (например, ряд цен Пааше), перемножение цепных индексов не дает базисный:

Для таких индексов переход от цепных индексов к базисным (и наоборот) невозможен. Вместе с тем, в статистической практике часто возникает необходимость определения динамики цен за длительный период времени на основе цепных индексов цен с переменными весами. Тогда для получения приближенного базисного (итогового) индекса цепные индексы цен перемножают, заведомо зная, что в таком расчете допускается ошибка. Отдельные индексы этого ряда используются для пересчета стоимостных показателей отчетного периода в ценах предыдущего года. Основные формулы для расчета общих индексов приведены в табл. 8.6.
Таблица 8.6.
Основные формулы начисления общих индексов 
8.6. Система взаимосвязанных индексов. Факторный анализ
Индексный метод не только характеризует динамику сложного явления, но и анализирует влияние на нее отдельныx факторов.
Многие статистические показатели, характеризующие различные стороны общественных явлений, находятся между собой в определенной связи (часто в виде произведения). Так, объем выработанной продукции связан с уровнем производительности труда и с численностью занятых на предприятии работников; товарооборот является произведением количества проданной продукции на цену; валовой сбор той или иной культуры - произведением урожайности на посевную площадь и т.д. Форма взаимосвязи между такими показателями выяааяется на основе теоретического аната-за. Статистика характеризует эти взаимосвязи количественно.
Все соотношения в таких произведениях могут рассматриваться как факторы, определяющие значение результативного показателя. Так, объем выработанной продукции на любом предприятии может изменяться за счет совместного изменения двух факторов: производительности труда и численности работающих; товарооборот может изменяться за счет изменения количества (объема) проданных товаров и за счет изменения цен и т.д.
|
|
|
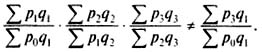
Связь между экономическими показателями находит отражение и во взаимосвязи характеризующих их индексов, т.е., если,

Поэтому многие экономические показатели тесно связаны между собой и образуют индексные системы.
Система взаимосвязанных индексов дает возможность широко применять индексный метод для изучения взаимосвязей общественных явлений, проведения факторного анализа с целью определения роли отдельных факторов (не зависимых друг от друга) на изменение сложного явления.
В отечественной статистике принята следующая практика факторного анализа: если результативный показатель можно представить как произведение объемного и качественного факторов, то, определяя влияние объемного фактора на изменение результативного показателя, качественный фактор фиксируют на уровне базисного периода; если же определяется влияние качественного показателя, то объемный фактор фиксируется на уровне отчетного периода.
По существу, любой агрегатный индекс построен по такому принципу обособленного рассмотрения влияния отдельных факторов на изменение сложного показателя.
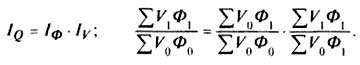
Рассмотрим построение взаимосвязанных индексов на примере индексов цен, физического объема продукции (если речь идет об отпускных ценах промышленности) или физического объема товарооборота (если речь идет о розничных ценах) и индекса стоимости продукции (товарооборота в фактических ценах).
Индексы физического объема и цен являются факторными по отношению к индексу стоимости продукции (товарообороту в фактических ценах):
(8.18)
Таким образом, произведение индекса цен на индекс физического объема продукции дает индекс стоимости продукции (товарооборота в фактических ценах), т.е. образует индексную систему из этих трех индексов.
|
|
|
Если, например, по определенной группе товаров цена единицы товара в отчетном периоде по сравнению с базисным возросла в среднем на 20%, т.е. (I р = 1,20), а физический объем товарооборота (в фиксированных ценах) снизился на 5% (Iq = 0,95), то можно определить изменение объема товарооборота в фактических ценах:

Таким образом, при снижении физического объема товарооборота на 5%, товарооборот в фактических ценах в отчетном периоде по сравнению с базисным вырос на 14% при повышении цен на единицу товара в среднем на 20%.
Аналогичную взаимосвязь между индексом затрат на производство продукции, индексом себестоимости и индексом #P#физического объема продукции можно записать в виде следующей индексной системы:
(8.19)
Индекс изменения общего фонда оплаты труда F в связи с изменением общей численности работающих Т и заработной платы х:
(8.20)
Индекс изменения объема продукции Q в связи с изменением численности работающих Т и уровня их выработки W:
(8.21)
Индекс изменения объема продукции Q в связи с изменением объема основных производственных фондов Ф и показателя эффективности их использования - фондоотдачи V:
(8.22)
Индекс изменения валового сбора УП в связи с изменением урожайности У и посевной площади П:
(8.23)
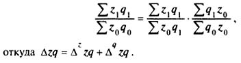
К числу взаимосвязанных индексов относятся и индексы переменного состава, постоянного состава и индексы структурных сдвигов. В этой системе динамика среднего показателя (индекса переменного состава) выступает как произведение двух индексов: индекса среднего показателя в неизменной структуре (индекс постоянного состава) и индекса влияния изменения структуры явлений на динамику среднего показателя (индекс структурных сдвигов):
(8.24)
Индексная система позволяет определить влияние отдельных факторов на формирование уровня результативного показателя, по двум известным значениям индексов найти значение третьего - неизвестное.
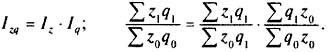
Например, если известно, что затраты на производство всей продукции в отчетном периоде по сравнению с базисным выросли на 15% (Izq = 1,15) и одновременно уровень себестоимости единицы продукции снизился на 4% (Iz = 0,96), то можно определить, что физический объем продукции вырос на 20%:

Рассмотренные системы представляют собой двухфакторные системы (связь результативного признака с двумя факторами). Но общий признак может зависеть от трех, четырех и более факторов, т.е. связь может быть трехфакторная, четырехфакторная и т.д.
Поэтому общие индексы могут быть разложены также на три и более факторных индекса, объясняющих изменение результативного признака за счет влияния каждого фактора в отдельности.
Применяются два метода разложения общего индекса на частные:
метод обособленного (изолированного) изучения факторов;
метод последовательно-цепной (взаимосвязанное изучение факторов).
Поскольку в действительности явления взаимосвязаны, то основной схемой следует считать последовательно-цепной анализ факторов, требующий правильного расположения факторов при построении модели результативного показателя (например, А = а * b * с).
На первом месте в модели следует ставить качественный фактор. Увеличение цепи факторов на один фактор (например, а • b) каждый раз должно приводить к показателю, имеющему реальный экономический смысл.
При определении влияния первого фактора все остальные факторы сохраняются в числителе и знаменателе на уровне отчетного периода.
При построении второго факторного индекса первый фактор сохраняется на уровне базисного периода, третий и все последующие - на уровне отчетного периода.
При построении третьего факторного индекса первый и второй сохраняются на уровне базисного периода, четвертый и все последующие - на уровне отчетного периода и т.д.
Предположим, что А = а • b • с. Тогда последовательно-цепное разложение факторов будет иметь вид:
или
(8.25)
Аналогично строится система взаимосвязанных индексов при четырехфакторной связи и т.д.
Покажем на условном примере проведение факторного анализа сложного показателя с использованием системы взаимосвязанных индексов.
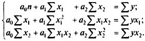
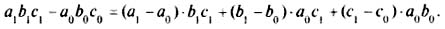
Задача 6. Данные о продаже товаров в розничной торговле района представлены в табл.8.7.
Таблица 8.7.
Данные о продаже товаров

Вычислить:
1) общий индекс физического объема товарооборота (количества продажи во II квартале к I кварталу);
2) среднее изменение цен на товары, если известно, что товарооборот в фактических ценах за это время вырос на 4%.
Решение.
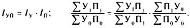
1. Исходя из условия, запишем индивидуальные индексы количеств: iq' = 0,8; iq'' = 0,9
2. Исчислим общий индекс физического объема товарооборота в форме среднего взвешенного арифметического индекса:

Физический объем товарооборота во II квартале по сравнению с I кварталом уменьшился на 13,7%, или на 1,19 млн руб. (7,51 -8,7). Изменение произошло за счет снижения количества продажи (без учета изменения цен).
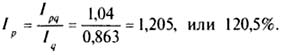
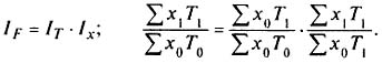
3. Товарооборот в фактических ценах согласно условию вырос на 4% (следовательно, Ipq =1,04).
4. Используя индексную систему, находим общий индекс цен:

Следовательно, цены на данную группу товаров во II квартале но сравнению с I кварталом увеличились в среднем на 20,5%.
Таким образом, товарооборот в фактических ценах во II квартале по сравнению с I кварталом вырос на 4% за счет увеличения цен на 20,5% при одновременном снижении количества продажи на 13,7%.
Индексные системы могут применяться и для определения в абсолютном выражении изменения сложного явления за счет влияния отдельных факторов. Расчеты, связанные с определением в абсолютном выражении изменения результативного показателя за счет отдельных факторов, называют разложением абсолютного прироста (сокращения) по факторам.
Так, рассмотренная выше индексная система трехфакторной связи (8.25) может быть представлена в абсолютных величинах следующим образом:
(8.26)
При построении индексов, оценивающих влияние отдельных факторов на изменение сложного явления, необходимо иметь в виду, что общий результат абсолютного изменения этого явления представляет собой сумму абсолютных изменений, обусловленных влиянием исследуемых факторов, формирующих это явление.
Разложения абсолютного прироста по факторам могут быть записаны для самых различных результативных показателей, которые можно представить как произведение объемного фактора на качественный.
Согласно изложенному выше принципу разложение абсолютного прироста (сокращения) по факторам можно записать для рассмотренной выше индексной системы:

где ∆pq - абсолютный прирост товарооборота в фактических ценах, т.е. обусловленный изменениями двух факторов - количества проданных товаров и цен;
∆qpq - абсолютный прирост товарооборота в результате изменения физического объема товарооборота (продажи товара);
∆ppq - абсолютный прирост товарооборота в результате изменения цен.
Методику факторного анализа рассмотрим на примере.
Задача 7. Имеются следующие данные по двум фирмам (табл.8.8.)
Таблица 8.8.
Количество себестоимость произведенной продукции

Исчислить: изменение общих затрат на производство всей продукции под совместным влиянием двух факторов - изменения физического объема продукции и цен и каждого из этих факторов в отдельности.
Решение.
1. Для проведения факторного анализа воспользуемся индексной системой:

2. Совокупное действие двух факторов на изменение общих затрат определим с помощью индекса затрат на производство продукции (результативного индекса):

Индекс показывает, что затраты на производство всей продукции в отчетном периоде по сравнению с базисным увеличились на 16,7%, что в абсолютном выражении составило:

3. Влияние изменения себестоимости единицы продукции на величину общих затрат определим с помощью факторного индекса себестоимости продукции:

Следовательно, за счет изменения себестоимости единицы продукции по каждой фирме произошло снижение общих затрат на производство продукции на 6,7%, что в абсолютном выражении составило:

4. Влияние изменения объема продукции на величину общих затрат определим с помощью факторного индекса физического объема продукции:

Следовательно, за счет роста общего объема произведенной продукции затраты на производство всей продукции выросли на 25%, что в абсолютном выражении составило:

Проверим взаимосвязь индексов и разложение абсолютного прироста по факторам.

Контрольные вопросы
- Что называется индексом в статистике?
- Какие задачи решают при помощи индексов?
- Что характеризуют индивидуальные индексы? Приведите примеры.
- В чем сущность общих индексов?
- Для чего необходимо деление на индексы объемных (количественных) и качественных показателей и какая система взвешивания принята в теории индексов?
- Как исчисляется агрегатный индекс стоимости продукции (товарооборота в фактических ценах) и что он характеризует?
- Как исчисляется агрегатный индекс физического объема продукции (товарооборота) и что он характеризует? Напишите формулу.
- Когда возникает необходимость преобразования индекса физического объема в средний арифметический и средний гармонический; каким образом происходят такие преобразования? Покажите на примерах.
- Как исчисляют агрегатные индексы цен (Пааше и Ласпейреса), себестоимости, производительности труда и что они показывают? Напишите их формулы.
- Когда возникает необходимость преобразования агрегатного индекса цен в средний гармонический и средний арифметический, каким образом происходят такие преобразования? Покажите на примере.
- Какой вариант агрегатных индексов качественных показателей используют при расчете индекса потребительских цен и почему?
- Что называется индексом переменного состава, как он исчисляется и что характеризует? Напишите его формулу.
- Какой индекс называется индексом постоянного состава, как он исчисляется и что характеризует?
- Что характеризует индекс структурных сдвигов и как он исчисляется?
- Какая взаимосвязь существует между индексами переменного, постоянного состава и структурных сдвигов?
- Как строятся базисные и цепные индексы и какая между ними существует взаимосвязь?
- Что представляют собой индексы с постоянными и переменными весами?
- Что представляет собой система взаимосвязанных индексов, для чего она применяется?
- В чем выражается взаимосвязь индексов цен, физического объема и товарооборота, как практически она используется?
- Какая система взаимосвязанных индексов используется при анализе себестоимости, физического объема и затрат в производстве?
- Как определить долю влияния различных факторов на изменение результативного показателя?
- В каких случаях производится разложение индексов по трем и более факторам?
- Как осуществляется рапоожение абсолютного прироста по факторам? Что оно характеризует?
Глава 9. Статистические методы изучения взаимосвязи социально-экономических явлений
9.1. Стохастико-детерминированный характер социально-экономических явлений и виды связей между ними
Наука исходит из объективной закономерной взаимосвязи и причинной обусловленности всех явлений.
Изучение статистических закономерностей - важнейшая познавательная задача статистики, которую она решает с помощью особых методов, видоизменяющихся в зависимости от характера исходной информации и целей познания. Знание характера и силы связей позволяет управлять социально-экономическими процессами и предсказывать их развитие. Особую актуальность это приобретает в условиях развивающейся рыночной экономики. Изучение механизма рыночных связей, взаимодействия спроса и предложения, влияния объема и структуры товарооборота на объем и состав производства продукции, формирования товарных запасов, издержек производства, прибыли и других качественных показателей имеет первостепенное значение для прогнозирования конъюнктуры рынка, региональной организации производственных и торговых процессов, успешного ведения бизнеса.
Среди многих форм связей важнейшей является причинная, определяющая все другие формы. Сущность причинности состоит в порождении одного явления другим. Вместе с тем, причина сама по себе еще не определяет следствия, она зависит также от условий, в которых протекает действие причины. Для возникновения следствия нужны все определяющие его факторы - причина и условия. Необходимая обусловленность явлений множеством факторов называется детерминизмом.
Объектами исследования при статистическом измерении связей служит, как правило, детерминированность следствия факторами (причиной и условиями). Признак, характеризующий следствие, называется результативным; признаки, характеризующие причины, - факторными. Выявление связей между признаками основывается на результатах качественного теоретического анализа. Задача статистики - количественная оценка закономерности связей, математическая определенность позволяет использовать результаты экономических
разработок для практических целей. Вместе с тем, качественный анализ должен не только предшествовать статистическому, но и являться подтверждением справедливости его результатов.
Связи между явлениями и их признаками классифицируют по степени тесноты связи, направлению и аналитическому выражению.
9.1.1. Функциональные и стохастические связи
Между различными явлениями и их признаками необходимо прежде всего выделить два типа связей: функциональную (жестко детерминированную) и статистическую (стохастически детерминированную).
В соответствии с жестко детерминистическим представлением о функционировании экономических систем необходимость и закономерность однозначно проявляются в каждом отдельном явлении, т. е. любое действие вызывает строго определенный результат; случайными (непредвиденными заранее) воздействиями при этом пренебрегают. Поэтому при заданных начальных условиях состояние такой системы может быть определено с вероятностью, равной единице. Разновидностью такой закономерности является функциональная связь.
Связь признака у с признаком х называется функциональной, если каждому возможному значению независимого признака х соответствует одно или несколько строго определенных значений зависимого признака у. Определение функциональной связи может быть легко обобщено для случая многих признаков x1,x2,...,xn
Характерной особенностью функциональных связей является то, что в каждом отдельном случае известен полный перечень факторов, определяющих значение зависимого (результативного) признака, а также точный механизм их влияния, выраженный определенным уравнением.
Функциональную связь можно представить уравнением:
yi = f (xi),
где yi - результативный признак (i = 1,...n);
f(xi) - известная функция связи результативного и факторного признаков;
xi - факторный признак.
Чаще всего функциональные связи наблюдаются в явлениях, описываемых математикой, физикой и другими точными науками. Имеют место функциональные связи и в социально-экономических процессах, но довольно редко (они отражают взаимосвязь только отдельных сторон сложных явлений общественной жизни). В экономике примером функциональной связи может служить связь между оплатой труда у и количеством изготовленных деталей х при простой сдельной оплате труда. Так, если расценка за одну деталь составляет 3 тыс. руб., то связь между признаками однозначно выразится простым линейным уравнением у = Зх, Для каждого допустимого значения х можно указать вполне определенное значение у. Если, положим, х = 5, то соответственно у= 15.
В реальной общественной жизни, ввиду неполноты информации жестко детерминированной системы, может возникнуть неопределенность, из-за которой эта система по своей природе должна рассматриваться как вероятностная, при этом связь между признаками становится стохастической.
Стохастическая связь - это связь между величинами, при которой одна из них, случайная величина у, реагирует на изменение другой величины х или других величин x1,x2,...,xn (случайных или неслучайных) изменением закона распределения. Это обусловливается тем, что зависимая переменная (результативный признак), кроме рассматриваемых независимых, подвержена влиянию ряда неучтенных или неконтролируемых (случайных) факторов, а также некоторых неизбежных ошибок измерения переменных. Поскольку значения зависимой переменной подвержены случайному разбросу, они не могут быть предсказаны с достаточной точностью, а только указаны с определенной вероятностью.
Характерной особенностью стохастических связей является то, что они проявляются во всей совокупности, а не в каждой ее единице (причем не известен ни полный перечень факторов, определяющих значение результативного признака, ни точный механизм их функционирования и взаимодействия с результативным признаком). Всегда имеет место влияние случайного. Появляющиеся различные значения зависимой переменной - реализации случайной величины.
Модель стохастической связи может быть представлена в общем виде уравнением:
ŷi = f(xi) + εi
где ŷi - расчетное значение результативного признака;
f(xi) - часть результативного признака, сформировавшаяся под воз- действием учтенных известных факторных признаков (одного или множества), находящихся в стохастической связи с признаком;
εi - часть результативного признака, возникшая вследствие действия неконтролируемых или неучтенных факторов, а также измерения признаков неизбежно сопровождающегося некоторыми случайными ошибками.
Проявление стохастических связей подвержено действию закона больших чисел: лишь в достаточно большом числе единиц индивидуальные особенности сгладятся, случайности взаимопогасятся и зависимость, если она имеет существенную силу, проявится достаточно отчетливо.
В социально-экономической жизни приходится сталкиваться со многими явлениями, имеющими вероятностный характер. Например, уровень производительности труда рабочих стохастически связан с целым комплексом факторов: квалификацией, стажем работы, уровнем механизации и автоматизации производства, интенсивностью труда, простоями, состоянием здоровья работника, его настроением, атмосферным давлением и др. Полный перечень факторов неизвестен. Кроме того, неодинаково действие любого известного фактора на уровень производительности труда каждого рабочего. Изменение атмосферного давления, к примеру, значительно снижает работоспособность рабочих, страдающих заболеваниями сердечно-сосудистой системы, и практически не сказывается на производительности труда здоровых. В результате - при одинаковых возможностях наблюдается распределение значений дневной выработки рабочих. Такое распределение носит условный характер, поскольку оно связано с фиксированными значениями факторных признаков. Различия условных распределений имеют выраженную направленность связи (например, выработка растет с повышением квалификации рабочего). Эту направленность связи можно раскрыть более наглядно, если ограничиться рассмотрением только одного аспекта стохастической связи - изучением вместо условных распределений лишь одного их параметра - условного математического ожидания (частные случаи стохастической связи - корреляционная и регрессионная).
Корреляционная связь существует там, где взаимосвязанные явления характеризуются только случайными величинами. При такой связи среднее значение (математическое ожидание) случайной величины результативного признака у закономерно изменяется в зависимости от изменения другой величины х или других случайных величин x1,x2,...,xn. Корреляционная связь проявляется не в каждом отдельном случае, а во всей совокупности в целом. Только при достаточно большом количестве случаев каждому значению случайного признака х будет соответствовать распределение средних значений случайного признака у. Наличие корреляционных связей присуще многим общественным явлениям.
Известно, что увеличение количества внесенных удобрений ведет к повышению урожайности. Это справедливое положение, подтверждаемое в массе явлений, совсем не означает, что на отдельных одинаково удобренных участках будет одинаковая урожайность одной и той же сельскохозяйственной культуры. Вероятнее всего, уровни урожайности будут различаться. Кроме того, существует вероятность, что более высокая урожайность может наблюдаться на менее удобренных участках: на урожайность влияет не только количество внесенных в почву удобрений, но и другие, неучтенные факторы (качество семян, предшествующие культуры, рельеф местности, агротехника земледелия, сроки и качество посева и уборки). Но если в анализ включить достаточно большое число площадей, то обнаружится прямая корреляционная зависимость между количеством внесенных удобрений (в допустимых пределах) и средним уровнем урожайности. Значит, важная особенность корреляционных связей (как и других стохастических) состоит в том, что они обнаруживаются не в единичных случаях, а в массовых явлениях и требуют для своего исследования массовых наблюдений, т. е. статистических данных.
Корреляционная связь - понятие более узкое, чем стохастическая связь. Последняя может отражаться не только в изменении средней величины, но и в вариации одного признака в зависимости от другого, т. е. любой другой характеристики вариации. Таким образом, корреляционная связь, является частным случаем стохастической связи.
Прямые и обратные связи. В зависимости от направления действия функциональные и стохастические связи могут быть прямыми и обратными. При прямой связи направление изменения результативного признака совпадает с направлением изменения признака-фактора, т. е. с увеличением факторного признака увеличивается и результативный, и наоборот, с уменьшением факторного признака уменьшается и результативный признак. В противном случае между рассматриваемыми величинами существуют обратные связи. Например, чем выше квалификация рабочего (разряд), тем выше уровень производительности труда - прямая связь. А чем выше производительность труда, тем ниже себестоимость единицы продукции - обратная связь.
Прямолинейные и криволинейные связи. По аналитическому выражению (форме) связи могут быть прямолинейными и криволинейными. При прямолинейной связи с возрастанием значения факторного признака происходит непрерывное возрастание (или убывание) значений результативного признака. Математически такая связь представляется уравнением прямой, а графически - прямой линией. Отсюда ее более короткое название - линейная связь.
При криволинейных связях с возрастанием значения факторного признака возрастание (или убывание) результативного признака происходит неравномерно или же направление его изменения меняется на обратное. Геометрически такие связи представляются кривыми линиями (гиперболой, параболой и т.д.).
Однофакторные и многофакторные связи. По количеству факторов, действующих на результативный признак, связи различаются однофакторные (один фактор) и многофакторные (два и более факторов). Однофакторные (простые) связи обычно называются парными (так как рассматривается пара признаков). Например, корреляционная связь между прибылью и производительностью труда. В случае многофакторной (множественной) связи имеют в виду, что все факторы действуют комплексно, т.е. одновременно и во взаимосвязи, например, корреляционная связь между производительностью труда и уровнем организации труда, автоматизации производства, квалификации рабочих, производственным стажем, простоями и другими факторными признаками.
С помошью множественной корреляции можно охватить весь комплекс факторных признаков и объективно отразить существующие множественные связи.
9.2.2. Статистическое моделирование связи методом корреляционного и регрессионного анализа
В общем виде задача статистики в области изучения взаимосвязей состоит не только в количественной оценке их наличия, направления и силы связи, но и в определении формы (аналитического выражения) влияния факторных признаков на
результативный. Для ее решения применяют методы корреляционного и регрессионного анализа.
Задачи корреляционного анализа сводятся к измерению тесноты известной связи между варьирующими признаками, определению неизвестных причинных связей (причинный характер которых, должен быть выяснен с помощью теоретического анализа) и оценке факторов, оказывающих наибольшее влияние на результативный признак.
Задачи регрессионного анализа - выбор типа модели (формы связи), установление степени влияния независимых переменных1 на зависимую и определение расчетных значений зависимой переменной (функции регрессии).
Решение всех названных задач приводит к необходимости комплексного использования этих методов.
9.2.2.2. Двухмерная линейная модель корреляционного и регрессионного анализа (однофакторный линейный корреляционный и регрессионный анализ)
Наиболее разработанной в теории статистики является методология так называемой парной корреляции, рассматривающая влияние вариации факторного признака х на результативный признак у и представляющая собой однофакторный корреляционный и регрессионный анализ. Овладение теорией и практикой построения и анализа двухмерной модели корреляционного и регрессионного анализа представляет собой исходную основу для изучения многофакторных стохастических связей.
Важнейшим этапом построения регрессионной модели (уравнения регрессии) является установление в анализе исходной информации математической функции. Сложность заключается в том, что из множества функций необходимо найти такую, которая лучше других выражает реально существующие связи между анализируемыми признаками. Выбор типа функции может опираться на теоретические знания об изучаемом явлении, опыт предыдущих аналогичных исследований, или осуществляться эмпирически - перебором и оценкой функций разных типов и т.п.
При изучении связи экономических показателей производства (деятельности) используют различного вида уравнения прямолинейной и криволинейной связи. Внимание к линейным связям объясняется ограниченной вариацией переменных и тем, что в большинстве случаев нелинейные формы связи для выполнения расчетов преобразуют (путем логарифмирования или замены переменных) в линейную форму. Уравнение однофакторной (парной) линейной корреляционной связи имеет вид:
ŷ = a0 + a1x
где ŷ - теоретические значения результативного признака, полученные по уравнению регрессии;
a0, a1 - коэффициенты (параметры) уравнения регрессии.
Поскольку a0 является средним значением у в точке x = 0 экономическая интерпретация часто затруднена или вообще невозможна.
Коэффициент парной линейной регрессии a1 имеет смысл показателя силы связи между вариацией факторного признака х и вариацией результативного признака у. Уравнение (9.2)
показывает среднее значение изменения результативного признака у при изменении факторного признака х на одну единицу его измерения, т. е. вариацию у, приходящуюся на единицу вариации х. Знак #ALARM-FONT# указывает направление этого изменения.
Параметры уравнения a0, a1 находят методом наименьших квадратов (метод решения систем уравнений, при котором в качестве решения принимается точка минимума суммы квадратов отклонений), т. е. в основу этого метода положено требование минимальности сумм квадратов отклонений эмпирических данных yi от выровненных ŷ:

Для нахождения минимума данной функции приравняем к нулю ее частные производные и получим систему двух линейных уравнений, которая называется системой нормальных уравнений:

Решим эту систему в общем виде:

Параметры уравнения парной линейной регрессии иногда удобно исчислять по следующим формулам, дающим тот же результат:

Определив значения a0, a1 и подставив их в уравнение связи ŷ = a0 + a1 находим значения ŷ, зависящие только от заданного значения х.
Пример 1. Рассмотрим построение однофакторного уравнения регрессии зависимости производительности труда у от стажа работы х по данным табл. 9.1 (10 рабочих одной бригады заняты производством радиоэлектронных изделий, данные ранжированы по стажу их работы).
Исходя из экономических соображений стаж работы выбран в качестве независимой переменной х. Сопоставление данных параллельных рядов признаков х и у (табл. 9.1) показывает, что с возрастанием признака х (стажа работы), растет, хотя и не всегда, результативный признак у (производительность труда). Следовательно, между х и у существует прямая зависимость, пусть неполная, но выраженная достаточно ясно.

Для уточнения формы связи между рассматриваемыми признаками используем графический метод. Нанесем на график точки, соответствующие значениям х, y, получим корреляционное поле, а соединив их отрезками, - ломаную регрессии1 (рис. 9.1).
Анализируя ломаную линию, можно предположить, что возрастание выработки у идет равномерно, пропорционально росту стажа работы рабочих х. В основе этой зависимости в данных конкретных условиях лежит прямолинейная связь (см. пунктирную линию на рис. 9.1), которая может быть выражена простым линейным уравнением регрессии:
ŷ = a0 + a1
где ŷ - теоретические расчетные значения результативного признака (выработки одного рабочего, шт.), полученные по уравнению регрессии;
a0, a1 - неизвестные параметры уравнения регрессии;
x - стаж работы рабочих, годы.

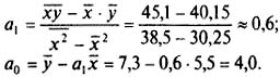
Пользуясь расчетными значениями (см. табл. 9.1), исчислим параметры для данного уравнения регрессии:

Следовательно, регрессионная модель распределения выработки по стажу работы для данного примера может быть записана в виде конкретного простого уравнения регрессии:
ŷ = 4,0 + 0,6
Это уравнение характеризует зависимость среднего уровня выработки рабочими бригады от стажа работы. Расчетные значения у, найденные по данному уравнению, приведены в табл. 9.1. Правильность расчета параметров уравнения регрессии может быть проверена сравнением сумм ∑y = ∑ŷ (при этом возможно некоторое расхождение вследствие округления расчетов).
1 Данный метод эффективен лишь при небольшом объеме совокупности и достаточно тесной связи между признаками. Более наглядную характеристику связи можно получить, построив ломаную регрессии по частным средним.
9.2.2.3 Проверка адекватности регрессионной модели
Для практического использования моделей регрессии очень важна их адекватность, т. е. соответствие фактическим статистическим данным.
Корреляционный и регрессионный анализ обычно (особенно в условиях так называемого малого и среднего бизнеса) проводится для ограниченной по объему совокупности. Поэтому показатели регрессии и корреляции - параметры уравнения регрессии, коэффициенты корреляции и детерминации могут быть искажены действием случайных факторов. Чтобы проверить насколько эти показатели характерны для всей генеральной совокупности, не являются ли они результатом стечения случайных обстоятельств, необходимо проверить адекватность построенных статистических моделей.
При численности объектов анализа до 30 единиц возникает необходимость проверки значимости (существенности) каждого коэффициента регрессии. При этом выясняют насколько вычисленные параметры характерны для отображения комплекса условий: не являются ли полученные значения параметров результатами действия случайных причин.
Значимость коэффициентов простой линейной регрессии (применительно к совокупностям, у которых n < 30) осуществляют с помощью t-критерия Стьюдента. При этом вычисляют расчетные (фактические) значения t -критерия:
для параметра a0
(9.4)
для параметра a1
(9.5)

где n - объем выборки;
среднее квадратическое отклонение результативного признака у от выравненных значений ŷ;
или
среднее квадратическое отклонение факторного признака х от общей средней x-.
Вычисленные по формулам (9.4) и (9.5) значения, сравнивают с критическими t, которые определяют по таблице Стьюдента с учетом принятого уровня значимости1 а и числом
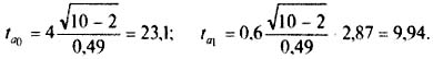
степеней свободы2 вариации v = n - 2. В социально-экономических исследованиях уровень значимости a обычно принимают равным 0,05. Параметр признается значимым (существенным) при условии, если tрасч > tтабл. В таком случае практически невероятно, что найденные значения параметров обусловлены только случайными совпадениями. Для проверки значимости коэффициентов регрессии исследуемого уравнения ŷ = 4,0 + 0,6x исчислим t -критерий Стьюдента с v = 10-2 = 8 степенями свободы. Рассмотрим вспомогательную таблицу (табл. 9.2).
Таблица 9.2
Расчетные значения, необходимые для исчисления 
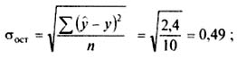
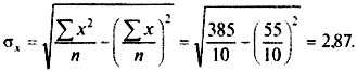
Средние квадратические отклонения (см. табл. 9.1):


Расчетные значения г-критерия Стьюдента:

По таблице распределения Стьюдента для v = 8 находим критическое значение t -критерия: (tтабл = 3,307 при a = 0,05).
Поскольку расчетное значение tрасч > tтабл, оба параметра a0, a1 признаются значимыми (отклоняется гипотеза о том, что каждый из этих параметров в действительности равен нулю, и лишь в силу случайных обстоятельств оказался равным проверяемой величине).
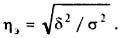
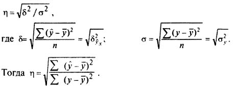
Проверка адекватности регрессионной модели может быть дополнена корреляционным анализом. Для этого необходимо определить тесноту корреляционной связи между переменными х и у. Теснота корреляционной связи, как и любой другой, может быть измерена эмпирическим корреляционньм отношением ηэ когда δ2 (межгрупповая дисперсия) характеризует отклонения групповых средних результативного признака от общей средней:
.
Говоря о корреляционном отношении как о показателе измерения тесноты зависимости, следует отличать от эмпирического корреляционного отношения - теоретическое.
Теоретическое корреляционное отношение η представляет собой относительную величину, получающуюся в результате сравнения среднего квадратического отклонения выровненных значений результативного признака δ, т. е. рассчитанных по уравнению регрессии, со средним квадратическим отклонением эмпирических (фактических) значений результативного признака σ:
(9.6)
Изменение значения η объясняется влиянием факторного признака.
В основе расчета корреляционного отношения лежит правило сложения дисперсий (см. главу 5), т. е.
- отражает вариацию у за счет всех остальных факторов, кроме х, т. е. является остаточной дисперсией:

Тогда формула теоретического корреляционного отношения примет вид:

Подкоренное выражение корреляционного отношения представляет собой коэффициент детерминации (меры определенности, причинности). Коэффициент детерминации показывает долю вариации результативного признака под влиянием вариации признака-фактора.
Теоретическое корреляционное отношение применяется для измерения тесноты связи при линейной и криволинейной зависимостях между результативным и факторным признаком. При криволинейных связях теоретическое корреляционное отношение, исчисляемое по формулам (9.7), (9.8), часто называют индексом корреляции R. При значительной корреляции расчет по формулам (9.7) и (9.8) значительно проще, так как отклонение (ŷ - y), как правило, по значению меньше, чем отклонение (ŷ - y-).
Как видно из формул (9.7) и (9.8), корреляционное отношение может находиться в пределах от 0 до 1, т. е. (0 ≤ η ≤ 1) Чем ближе корреляционное отношение к 1, тем связь между признаками теснее.
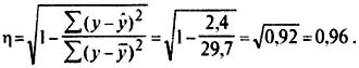
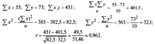
Проиллюстрируем расчет теоретического корреляционного отношения как меры тесноты связи на примере, рассмотренном в табл.9.1, для которого по уравнению прямой регрессии ŷ = 4 + 0,6х найдены значения дневной выработки каждого рабочего.
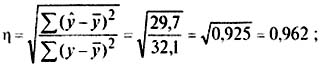
Теоретическое корреляционное отношение рассчитываем двумя способами (см. данные табл.9.2):
по формуле (9.6) 
по формуле (9.8) 
Полученное значение теоретического корреляционного отношения свидетельствует о возможном наличии весьма тесной прямой зависимости между рассматриваемыми признаками.
Коэффициент детерминации равен 0,925. Отсюда заключаем, что 92,5% общей вариации выработки в изучаемой бригаде обусловлено вариацией фактора - стажа работы рабочих (и только 7,5% обшей вариации нельзя объяснить изменением стажа работы).
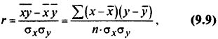
Кроме того, при линейной форме уравнения применяется другой показатель тесноты связи - линейный коэффициент корреляции 1.

где n - число наблюдений.
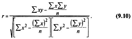
Для практических вычислений при малом числе наблюдений. п ≤ (20 - 30), линейный коэффициент корреляции удобнее исчислять по следующей формуле:

Значение линейного коэффициента корреляции важно для исследования социально-экономических явлений и процессов, распределение которых близко к нормальному. Он принимает значения в интервале: -1 ≤ r ≤ +1.
Отрицательные значения указывают на обратную связь, положительные - на прямую. При r = 0 линейная связь
отсутствует. Чем ближе коэффициент корреляции по абсолютной величине к единице, тем теснее связь между признаками. И. наконец, при r = ± 1 связь - функциональная.
Используем данные табл. 9.1 и рассчитаем линейный коэффициент корреляции по формуле (9.10):

Квадрат линейного коэффициента корреляции r2 называется линейным коэффициентом детерминации. Из определения коэффициента детерминации очевидно, что его числовое значение всегда заключено в пределах от 0 до 1, т. е. 0 ≤ r2 ≤ 1. Степень тесноты связи полностью соответствует теоретическому корреляционному отношению, которое является более универсальным показателем тесноты связи по сравнению с линейным коэффициентом корреляции.
Факт совпадений и несовпадений значений теоретического корреляционного отношения η и линейного коэффициента корреляции r используется для оценки формы связи.
Выше отмечайтесь, что посредством теоретического корреляционного отношения измеряется теснота связи любой формы, а с помощью линейного коэффициента корреляции - только прямолинейной. Следовательно, значения η и r совпадают только при наличии прямолинейной связи. Несовпадение этих значений свидетельствует, что связь между изучаемыми признаками не прямолинейная, а криволинейная. Установлено, что если разность квадратов η2 и r 2 не превышает 0,1, то гипотезу о прямолинейной форме связи можно считать подтвержденной. В приведенном ранее примере совпадение значений n и r (η = r = 0,962) дает основание считать связь между выработкой рабочих и их стажем прямолинейной.
Показатели тесноты связи, исчисленные по данным сравнительно небольшой статистической совокупности, могут искажаться действием случайных причин. Это вызывает необходимость проверки их существенности, дающей возможность распространять выводы по результатам выборки на генеральную совокупность.
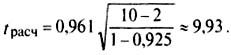
Для оценки значимости коэффициента корреляции r используют t -критерий Стьюдента, который применяется при t -распределении, отличном от нормального.
При линейной однофакторной связи t -критерий можно рассчитать по формуле:
(9.11)
где (n -2) - число степеней свободы при заданном уровне значимости a и объеме выборки n.
Полученное значение tрасч сравнивают с табличным значением t -критерия (для а = 0.05 и 0.01). Если рассчитанное значение tрасч превосходит табличное значение критерия tтабл, то практически невероятно, что найденное значение обусловлено только случайными колебаниями (т. е. отклоняется гипотеза о его случайности).
Так. для коэффициента корреляции между выработкой и стажем работы получим:

Это значительно больше критического значения t для п - 2 = 8 степеней свободы и a == 0,01 (tтабл = 3,356), что свидетельствует о значимости коэффициента корреляции и существенности связи между выработкой и стажем работы.
Таким образом, построенная регрессионная модель ŷ = 4+0,6 х в целом адекватна, и выводы, полученные по результатам малой выборки, можно с достаточной вероятностью распространить на всю гипотетическую генеральную совокупность.
1 Уровень значимости применительно к проверке статистических гипотез - это вероятность, с которой может быть опровергнута гипотеза о том или ином законе распределения. Так, двум доверительным вероятностям 0.95 и 0.99 соответствует 5%-ный и 1%-ный уровни значимости, т.е.
2 Число степеней свободы вариации представляет собой число свободно (неограниченно) варьирующих элементов совокупности где - число факторных признаков в уравнении
1 Коэффициент корреляции был предложен английским математиком К.Пирсоном.
9.2.2.4. Экономическая интерпретация параметров регрессии
После проверки адекватности, установления точности и надежности построенной модели (уравнения регрессии) ее необходимо проанализировать. Прежде всего нужно проверить согласуются ли знаки параметров с теоретическими представлениями и соображениями о направлении влияния признака-фактора на результативный признак (показатель).
В рассмотренном уравнении ŷ=4+0,6 х, характеризующем зависимость выработки за смену рабочим у от стажа работы х, параметр a 1 > 0. Следовательно, с возрастанием стажа выработка, как и ожидалось, также увеличивается.
Из уравнения следует, что возрастание на 1 год стажа рабочего приводит к увеличению им дневной выработки в среднем на 0,6 изделия (величину параметра a 1).
Для удобства интерпретации параметра a 1 используют коэффициент эластичности. Он показывает средние изменения результативного признака при изменении факторного признака на 1% и вычисляется по формуле, %:
(9.12)
В рассматриваемом примере
. Следовательно, с возрастанием стажа работы на 1 % следует ожидать повышения производительности труда в среднем на 0,45 %.
Этот вывод справедлив только для изучаемой совокупности рабочих при конкретных условиях работы.
Если данная совокупность и условия работы типичны, то коэффициент регрессии может быть использован для нормирования и планирования производительности труда рабочих этой профессии.
Имеет смысл вычислить остатки εi = у - ŷ, характеризующие отклонение i-x наблюдений от значений, которые следует ожидать в среднем.
Анализируя остатки, можно сделать ряд практических выводов. Значения остатков (см. табл.9.2) имеют как положительные, так и отрицательные отклонения от ожидаемого уровня анализируемого показателя. Экономический интерес представляют выработки рабочих, обозначенных номерами: 5: 1; 4: 8; 7, поскольку их выработки отличаются наибольшими отклонениями. Тем самым выявляются передовые рабочие - номера: 1: 8; 7, обеспечивающие наибольшее повышение средней выработки (наибольшие положительные остатки) и отстающие, требующие особого внимания рабочие - номера: 5, 4 (наибольшие отрицательные остатки). В итоге положительные отклонения выработки большинства рабочих уравновешиваются отрицательными отклонениями небольшого числа рабочих, т.е. ∑ εi = 0.
9.2.2.6. Построение и статистический анализ двухфакторной линейной модели (трехмерной регрессии)
Для расчета параметров простейшего уравнения множественной линейной двухфакторной регрессии

где ŷx1x2 - расчетные значения зависимой неременной (результативного признака):
x1x2 - независимые переменные (факторные признаки);
a0, a1, a2 - параметры уравнения.
Построим следующую систему нормальных уравнений:

Параметры этой системы могут быть найдены, например, методом К. Гаусса.
9.2.2.7. Трехфакторные линейные регрессионные модели
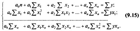
В случае линейной трехфакторной связи уравнение регрессии имеет вид

Для расчета параметров по способу наименьших квадратов используют следующую систему нормальных уравнений:

Чтобы получить эту систему, необходимо иметь таблицу значений следующих показателей:

Для решения множественной регрессии с n -факторами
система нормальных уравнений такова:

Вручную целесообразно выполнять построение и анализ только двух-, максимум трехфакторных моделей. Для п >3 все расчеты рекомендуется осуществлять на компьютерах по специальным программам, предусматривающим исчисление параметров уравнения и показателей, используемых для проверки его адекватности.
Многофакторный корреляционный и регрессионный анализ может быть использован в экономико-статистических исследованиях:
- для приближенной оценки фактического и заданного уровней;
- в качестве укрупненного норматива (для этого достаточно в уравнение регрессии подставить вместо фактических значений факторов их средние значения);
- для выявления резерв