Основными параметрами электрических и радиотехнических цепей с сосредоточенными элементами являются активное сопротивление, индуктивность и емкость. Измерение этих величин производят следующими способами.
1. С помощью вольтметра и амперметра. Этот способ позволяет определить модуль полного сопротивления цепи. Он применяется, в основном, для измерения активных сопротивлений.
2. С помощью мостовых схем. Активное и реактивное сопротивления исследуемой цепи сравнивают с сопротивлениями рабочих элементов, включенных в соответствующие плечи мостовой схемы.
3. С помощью резонансных схем. Измерение параметров цепи производят на высокой частоте при резонансной настройке измерительной схемы, выполненной в виде колебательного контура.
Выбор метода и способа измерений определяется прежде всего диапазоном частот, в котором исследуемая цепь должна работать. С повышением частоты изменяются способы измерения одних и тех же величин. В частности, при измерениях на высоких частотах необходимо учитывать собственную емкость катушек индуктивности, индуктивности и емкости соединительных проводов и прочие остаточные параметры измерительной схемы, которые на низких частотах не играют существенной роли.
|
|
|
12.1 Мостовые схемы для измерения параметров цепей
Мостовые схемы являются основой многих приборов для измерения электрических и неэлектрических величин.
В современной технике важную роль играют мосты постоянного и переменного токов, предназначенные для измерения параметров элементов низкочастотных схем — сопротивлений резисторов, параметров конденсаторов и катушек индуктивности, полных сопротивлений цепей.
В измерительных приборах используют многие разновидности мостовых схем — четырехплечие и шестиплечие мосты, Т-образные схемы, дифференциальные мосты и др. Наиболее распространены четырехплечие мостовые схемы.
Измерение активных сопротивлений. Простейшая мостовая схема для измерения активных сопротивлений, в частности сопротивлений
резисторов, приведена на рис.13.1. Измеряемое сопротивление включают в первое плечо моста. Три других плеча собирают из рабочих сопротивлений, выполненных в виде рычажных или штепсельных магазинов. Для питания схемы, как правило, используют источник постоянного тока. Указателем равновесия (УР) является магнитоэлектрический микроамперметр с нулем посередине шкалы.
В соответствии с формулой (3.4) равновесию рассматриваемой схемы соответствует условие 

Рис. 13.1. Четырехплечий мост для измерения активных сопротивлений
Мост уравновешивают изменением сопротивления R3 или отношения сопротивлений R2/R4- При нулевом токе через указатель равновесия отсчитывают величины по шкалам соответствующих элементов и вычисляют измеряемое сопротивление, пользуясь формулой (13.1).
|
|
|
Точность измерения сопротивлений описанным способом определяется прежде всего точностью изготовления рабочих элементов схемы. Важную роль играет чувствительность указателя равновесия. Недостаточная чувствительность его приводит к существенным ошибкам при определении момента равновесия схемы и к неправильному отсчету величин рабочих сопротивлений.
При измерении малых сопротивлений (Rx < 1 Ом) погрешность измерения зависит также от сопротивлений проводов, которыми исследуемый элемент подключают к зажимам моста, и переходных сопротивлений контактов в местах его присоединения.
Влияние этих факторов сводится к минимуму в схеме двойного моста, изображенной на рис. 13.2, а.

Рис. 13.2. Двойной мост и его эквивалентная схема
Двойные мосты применяют для точного измерения малых сопротивлений. При Rx» 10~5 Ом погрешность измерения обычно не превышает ±1%; для сопротивлений Rx> 103 Ом она может быть менее ±0,05%.
Для измерения активных сопротивлений применяют также неуравновешенные четырехплечие мосты. В этом случае измеряемое сопротивление отсчитывают по шкале предварительно отградуированного измерительного прибора, включенного в диагональ моста.
12.2 Измерение параметров конденсаторов.
Чаще всего для измерения параметров конденсаторов используют схемы, изображенные на рис. 13.3, а и б. На схеме рис. 13.3, а исследуемый конденсатор показан в виде последовательного соединения емкости Сх и сопротивления потерь Rx; на схеме рис. 13.3, б ему соответствует параллельное соединение Сх и Rx. Расчетные соотношения для приведенных схем выводят из общего уравнения равновесия (3.2).
Для схемы рис. 13.3, а сопротивления плеч

Здесь и далее индексы соответствуют номерам плеч.
Условия равновесия схемы:

При последовательной схеме замещения тангенс угла потерь исследуемого конденсатора

где ω — угловая частота напряжения питания моста; Rs и С3 — величины, отсчитанные при равновесии схемы.
Расчетные соотношения для мостовой схемы, изображенной на рис. 13.3, б, удобно записать в виде

Тангенс угла потерь при параллельной схеме замещения исследуемого конденсатора определяется выражениями


Рис. 13.3. Мостовые схемы для измерения параметров конденсаторов
Таким образом, условия равновесия схем, приведенных на рис. 13.3, а и б, одинаковы. Обычно эти схемы уравновешивают, поочередно меняя сопротивление и емкость рабочих элементов R3 и С3. Для расширения пределов измерения изменяют отношение R2R4. При нулевом отклонении указателя равновесия отсчитывают значения по шкалам соответствующих элементов и вычисляют параметры конденсатора, пользуясь приведенными формулами. Выбор той или иной схемы при измерениях определяется потерями в исследуемом конденсаторе. При конденсаторе с малыми потерями (малым тангенсом угла потерь) используют схему, приведенную на рис. 13.3, а.
С ростом потерь увеличиваются активные сопротивления в первом и третьем плечах моста, что приводит к уменьшению тока через указатель равновесия и снижению чувствительности схемы. Кроме того, возникают трудности при изготовлении переменного рабочего резистора R3, сопротивление которого растет с увеличением потерь в исследуемом конденсаторе. Для измерения параметров конденсаторов с большими потерями применяют схему рис. 13.3, б, чувствительность которой с ростом потерь в исследуемом конденсаторе, наоборот, увеличивается.

Рис. 13.4. Мостовая схема для измерения параметров катушек индуктивности.
Измерение параметров катушек индуктивности. Мостовая схема для измерения индуктивности, как и при измерении емкости, должна содержать по крайней мере два реактивных элемента — измеряемый и рабочий. В связи с трудностью изготовления рабочих катушек с малыми потерями в качестве рабочего элемента обычно используют конденсатор. На рис. 13.4 приведена мостовая схема для измерения индуктивности и активного сопротивления катушек, в которой применяется рабочий конденсатор переменной емкости. Для этой схемы общее уравнение равновесия удобно записать в виде
|
|
|

С учетом приведенных на рис. 13.4 обозначений имеем

Разделив в уравнении вещественную и мнимую части, приходим к следующим выражениям для измеряемых параметров катушки

Добротность катушки

Обычно мост уравновешивают плавной регулировкой рабочих элементов Rt и Q- Изменением произведения R2R3 расширяют пределы измерения. Отсчет значений R4, С4 и R2R3 производят по шкалам соответствующих элементов при нулевом токе через указатель равновесия. Параметры исследуемой катушки вычисляют по формулам.
Схему рис. 13.4 используют для измерения параметров катушек с низкой добротностью (Qx < 30). С повышением добротности исследуемой катушки ухудшается сходимость этой схемы, т. е. увеличивается число регулировок элементов моста, необходимое для достижения состояния равновесия.
Для катушек с высокой добротностью лучшую сходимость дает схема с последовательным включением элементов R и С. Равновесие такого моста определяется выражениями

Из выражений следует расчетная формула для добротности

При высокой добротности исследуемой катушки (практически при Qx > 30) измеряемая индуктивность определяется формулой

12.3 Резонансные схемы для измерения параметров цепей
Измерительной схемой является колебательный контур, состоящий из рабочего элемента и исследуемой цепи. В качестве рабочего элемента используют конденсатор переменной емкости. Измеряя резонансную частоту контура, емкость рабочего конденсатора при резонансе, напряжение на емкости и другие величины, можно вычислить параметры исследуемой цепи. При резонансных измерениях широко применяют метод замещения, что позволяет существенно повысить точность измерений.
|
|
|
Резонансные измерения могут производиться в широком диапазоне частот, от нескольких десятков килогерц до сотен мегагерц. При этом определяют действующие значения параметров цепи, т. е. фактические величины активного сопротивления, индуктивности или емкости на зажимах исследуемой цепи на частоте измерений.
Действующее значение активного сопротивления отличается от величины, измеренной на постоянном токе, вследствие влияния поверхностного эффекта и остаточных параметров исследуемой цепи.
Отличие действующей индуктивности катушки от величины, измеренной на низкой частоте (например, мостовым способом), объясняется влиянием распределенной межвитковой емкости. Принимая, что эта емкость включена параллельно индуктивности и активному сопротивлению катушки (рис. 13.5, а), приближенно получим

где

угловая резонансная частота катушки. Характер зависимости Ld (со/(й№) показан на рис. 13.5, 6.
Аналогичное явление наблюдается у конденсаторов. Существенную роль на высоких частотах играют индуктивности вводов и пластин. С повышением частоты индуктивное сопротивление вводов растет, увеличивая фактическую емкость на зажимах конденсатора.

Рис. 13.5. Схема замещения катушки индуктивности:
а — эквивалентная схема; б — зависимость действующей индуктивности катушки от частоты.
Из сказанного следует, что с помощью резонансных схем целесоооразно измерять параметры цепей, работающих на высоких частотах (индуктивности и емкости колебательных контуров, высокочастотных фильтров, замедляющих систем). При этом для определения истинных параметров исследуемых элементов измерения должны проводиться
на частоте, равной рабочей частоте схемы, в которой эти элементы предполагается использовать.
Измерение индуктивности и емкости.Измерение индуктивности производят следующим образом.
Собирают установку, изображенную на рис. 13.6. Измеряемую индуктивность Lx и рабочий конденсатор переменной емкости С0 включают по схеме последовательного контура. Индикатором резонанса в схеме является вольтметр с достаточно большим входным сопротивлением в рабочем диапазоне частот (иногда для этого используют термоэлектрический миллиамперметр, включенный последовательно с элементами контура). Схему настраивают в резонанс изменением частоты генератора или емкости конденсатора. Если измерения должны проводиться на рабочей частоте исследуемой катушки, устанавливают частоту генератора и настраивают схему изменением емкости С0.

Рис. 13.6. Схема установки для измерения индуктивности.
При резонансе, т. е. при максимальном показании вольтметра, отсчитывают частоту генератора и емкость рабочего конденсатора.
Измеряемая индуктивность в соответствии с формулой

Аналогично, используя рабочую катушку индуктивности L0, измеряют неизвестную емкость Сх. Величину емкости рассчитывают по формуле

Описанный способ измерения индуктивности и емкости может применяться в широком диапазоне частот, он прост и универсален, но не отличается высокой точностью.
Основные источники погрешностей этого способа следующие.
а. Влияние остаточных параметров схемы. К ним относятся: входная емкость вольтметра, индуктивности соединительных проводов, емкости между элементами схемы и т. д. Фактически определяют эквивалентную индуктивность или емкость измерительной схемы, в которую входят и остаточные параметры.
б. Неточность определения частоты генератора. Как правило, при резонансных измерениях используют генераторы, работающие в широком диапазоне частот. С увеличением рабочего диапазона падает точность градуировки шкалы генератора и увеличивается нестабильность его частоты. Это приводит к погрешностям при определении частоты.
в. Неточность определения момента резонанса. При настройке схемы изменением
емкости рабочего конденсатора появляется ошибка при отсчете резонансного значения емкости. Величина этой ошибки зависит от ширины резонансной кривой измерительного контура и разрешающей способности вольтметра.
Существуют варианты резонансных схем, позволяющие повысить точность измерений. Далее приводятся схемы для измерения емкостей, индуктивностей и полных проводимостей методом замещения. Этот метод практически полностью устраняет ошибки, обусловленные влиянием остаточных параметров схемы и неточностью определения частоты генератора.
Для уменьшения ошибки, связанной с неточностью определения момента резонанса в схеме, применяют так называемый двойной отсчет. Резонансное значение емкости рабочего конденсатора вычисляют по формуле С0 = (С' + С")/2, где С' и С" — емкости, отсчитанные при одинаковых показаниях вольтметра в области наибольшей крутизны резонансной кривой (рис. 13.7). При настройке схемы изменением частоты генератора аналогично определяют резонансное значение частоты.

Рис. 13.7. Определение резонансного значения емкости способом двойного отсчета.
Измерение емкости методом замещения.
Схема для измерения малых емкостей приведена на рис. 13.8, а. Первое измерение производят без неизвестной емкости. Установив требуемую частоту генератора, включают вспомогательную катушку индуктивности L и настраивают схему в резонанс изменением емкости рабочего конденсатора С0. Момент резонанса определяют по максимальному показанию вольтметра.

Рис. 13.8. Измерение емкости методом замещения:
а — схема для измерения малых емкостей; б — схема для измерения больших емкостей
При втором измерении параллельно рабочему конденсатору подключают неизвестную емкость Сх и снова настраивают схему в резонанс, уменьшая емкость рабочего конденсатора (частота генератора при этом должна оставаться неизменной). Измеряемая емкость

где С01 и С02 — резонансные значения емкости рабочего конденсатора при первом и втором измерениях.
Непосредственно из схемы рис. 13.8, а следует, что входная емкость вольтметра, емкость монтажа и прочие остаточные параметры измерительного контура не влияют на результат измерения. Погрешность измерения определяется, в основном, ошибками при отсчете значений
Приведенная на рис. 13.8, а схема пригодна для измерения емкостей Сх < С0. Если измеряемая емкость больше максимальной емкости рабочего конденсатора, применяют схему, изображенную на рис. 13.8, б. Измерения производят следующим образом. Сначала настраивают в резонанс контур с короткозамыкающей перемычкой между зажимами а и б. Затем между этими зажимами включают неизвестную емкость Сх и снова настраивают схему в резонанс, изменяя лишь емкость рабочего конденсатора. Резонансная частота контура при первом и втором измерениях определяется выражениями

Приравнивая эти выражения, после очевидных преобразований получим

Как и в предыдущей схеме, погрешность измерения определяется в основном ошибками при отсчете емкости по шкале рабочего конденсатора.
При измерениях нужно следить, чтобы значения С01 и С02 достаточно сильно отличались друг от друга. При С01 = С02 погрешность измерения резко возрастет.
Измерение индуктивности методом замещения. В этом случае непосредственно реализовать метод замещения не удается в связи с трудностью изготовления рабочих катушек с переменной индуктивностью. Однако могут быть рекомендованы схемы, существенно уменьшающие погрешность измерения. В этих схемах измеряемая индуктивность замещается емкостью рабочего конденсатора.

Рис. 13.9. Измерение индуктивности методом замещения:
схема для измерения малых индуктивностей; б — схема для измерения больших индуктивностей
Схема рис. 13.9, а применяется для измерения малых индуктивностей. Первое измерение производят с короткозамыкающей перемычкой между зажимами а и б. Установив частоту генератора, равную рабочей частоте исследуемой катушки, включают известную индуктивность L0, соответствующую выбранному диапазону частот, и настраивают схему в резонанс изменением емкости рабочего конденсатора С0. Момент резонанса в схеме определяют по максимальному показанию вольтметра.
При резонансе частота генератора равна резонансной частоте контура

При втором измерении между зажимами а и. б включают неизвестную индуктивность Lx. Регулируя емкость рабочего конденсатора (при неизменной частоте генератора), снова добиваются резонанса в схеме. При этом

Из выражений получим расчетную формулу

Если индуктивность катушки Ln неизвестна, расчет индуктивности производят по формуле

Погрешность измерения индуктивности описанным методом связана, в основном, с неточностью отсчета значений С01 и С02. При С01» «С02 в соответствии с теорией погрешностей ошибка измерения резко возрастает. Анализируя выражение нетрудно также убедиться, что минимальная погрешность получается при L0 = Lx. Это означает, что для сохранения малых ошибок с уменьшением измеряемой индуктивности необходимо увеличивать частоту измерений.

Рис. 13.10. Схема установки для измерения полных проводимо-стей методом замещения.
При измерении больших индуктивностей используют схему, приведенную на рис. 13.9, б. Изменяя емкость, настраивают схему в резонанс сначала без измеряемой индуктивности, а затем при включении ее параллельно рабочему конденсатору. Резонансная частота контура при первом и втором измерениях определяется выражениями

Приравнивая эти выражения, после несложных преобразований получим

И в этом случае погрешность измерения обусловлена, в основном, ошибками при отсчете значений Си и С02, а наилучшие по точности результаты получаются при Lх «L0.
Отметим, что в приведенных схемах взаимная индуктивность между катушками L0 и Lx должна быть пренебрежимо малой.
Измерение полной проводимости методом замещения. Схема для измерения полных проводимостей приведена на рис. 13.10. Основными узлами ее являются диапазонный генератор синусоидальных колебаний, измерительный контур и вольтметр с достаточно большим входным сопротивлением в рабочем диапазоне частот. В данном случае используется параллельный измерительный контур, составленный из рабочих элементов и измеряемой проводимости. Последняя рассматривается как параллельное соединение активной проводимости Gv- и реактивной проводимости Вх, Для обеспечения роста напряжения на контуре при резонансе его присоединяют к генератору через конденсатор связи.
Измерения производят следующим образом. Установив заданную частоту генератора, подключают исследуемую цепь и настраивают схему в резонанс изменением емкости рабочего конденсатора С0. При резонансе отсчитывают емкость конденсатора С01 и показание вольтметра. Затем вместо исследуемой цепи включают рабочий резистор R0 и снова настраивают схему в резонанс изменением емкости рабочего конденсатора. Регулируя сопротивление рабочего резистора, добиваются прежнего показания вольтметра при резонансе и отсчитывают значения. Частота генератора при этих операциях должна оставаться постоянной. Активная составляющая измеряемой полной проводимости

Модуль и знак реактивной составляющей определяются выражением, непосредственно следующим из схемы рис. 13.10:

Если С02 — Сп > 0, реактивная составляющая измеряемой полной проводимости имеет емкостный характер, эквивалентная емкость

Если С02 — С01 < 0, реактивная составляющая имеет индуктивный характер. Эквивалентную индуктивность рассчитывают по формуле

Результаты измерения и расчета определяют параметры эквивалентной схемы исследуемой цепи (в данном случае параллельной схемы замещения), но не указывают на ее конкретную структуру.
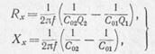
Рассмотренный метод измерения полных проводимостей положен в основу ряда приборов серийного производства. В связи с трудностью изготовления рабочего резистора с малой зависимостью сопротивления от частоты в этих приборах активная составляющая измеряемой полной проводимости сравнивается с входным сопротивлением диодной схемы, изображенной на рис. 13.11. Как известно, входное сопротивление диода с автоматическим смещением

где Rк — сопротивление резистора в катодной цепи, измеренное на постоянном токе.

Рис. 13.11. Диодная схема, используемая в качестве рабочего резистора.
Соответственно проводимость

Реактивная составляющая измеряемой полной проводимости определяется по изменению емкости рабочего конденсатора.
12.4 Измерение добротности. Куметр
Устройство куметра. Среди приборов, предназначенных для измерения параметров цепей резонансным способом, наиболее распространены измерители добротности, называемые также куметрами. Основное назначение куметра — измерение добротности катушек индуктивности. Однако схема куметра позволяет также измерять индуктивность катушек, емкость и тангенс угла потерь конденсаторов, полное сопротивление и проводимость радиоцепей.

Рис. 13.12. Схема низкочастотного куметра
На рис. 13.12 приведена упрощенная схема низкочастотного куметра, основными узлами которого являются: перестраиваемый в заданном диапазоне частот генератор; измерительный контур, составленный из исследуемого и рабочих элементов; измерители напряжения на входе и выходе контура.
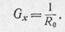
Измерение добротности с помощью куметра основано на известном свойстве последовательного колебательного контура:
при резонансе напряжения на реактивных элементах контура — индуктивности и емкости в Q раз больше э. д. с. на его входе. Практически измеряют не э. д. с., а напряжение на входе контура (или ток через малое сопротивление R0 и напряжение на емкости контура при резонансе. Добротность вычисляют по формуле

Если измерительный контур куметра состоит из исследуемой катушки индуктивности и рабочего конденсатора, потери в котором пренебрежимо малы, измеренная добротность равна добротности катушки. Напряжение на входе контура обычно поддерживают постоянным. При этом появляется возможность отградуировать вольтметр, измеряющий напряжение на емкости, в единицах добротности.
Как было указано, изображенная на рис. 13.12 схема используется на низких частотах. В высокочастотных куметрах напряжение на измерительный контур подают через индуктивный или емкостный делитель. В этом случае элементом связи контура с генератором является малая индуктивность или. большая емкость. Схема куметра с индуктивным делителем приведена на рис. 13.13.
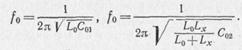
Для низкочастотного куметра, собранного по схеме рис. 13.12, ошибка измерения определяется, в основном, сопротивлением резистора R0. Этот резистор непосредственно входит в исследуемый контур, снижая его добротность. Измеренная добротность

где QK — добротность контура
Из соотношения следует расчетная формула для погрешности, обусловленной влиянием R0

Поэтому сопротивление R0 стараются делать возможно меньше. В реальных схемах величина его составляет 0,04…0,05 Ом. Важно, чтобы этот резистор был безындукционным, а сопротивление его мало зависело от температуры и частоты. В схеме рис. 13.13 источником ошибок является вводимая в контур индуктивность связи L2.

Рис. 13.13.-Схема куметра с индуктивным делителем
При измерении добротности на высоких частотах существенную погрешность дают остаточные параметры исследуемого элемента и измерительной схемы. В частности, если катушка индуктивности имеет заметную межвитковую емкость, ее истинная добротность будет выше измеренной. На результат измерения оказывают влияние также входные сопротивления вольтметров схемы.
Измерения с помощью куметра. Основное назначение куметра — измерение добротности катушек индуктивности. Для измерения добротности исследуемую катушку включают между зажимами а и б контура куметра (см. рис. 13.12, 13.13). Установив заданную частоту генератора, настраивают схему в резонанс изменением емкости рабочего конденсатора. Добротность катушки определяют по показаниям приборов, измеряющих напряжения на входе и выходе контура.
Широко применяют куметр для измерения полного сопротивления цепей на радиочастотах. Эти измерения выполняют следующим образом. Между зажимами а и б контура куметра включают вспомогательную катушку индуктивности с достаточно высокой добротностью. Установив требуемую частоту генератора, настраивают схему в резонанс изменением емкости рабочего конденсатора. При резонансе определяют добротность измерительного контура и емкость рабочего конденсатора.
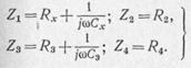
Дальнейшие измерения производят, подключив к контуру куметра исследуемую цепь. Если модуль полного сопротивления цепи невелик, ее включают последовательно с вспомогательной катушкой индуктив ности, между зажимами а и б. После этого схему снова настраивают в резонанс, изменяя лишь емкость рабочего конденсатора. При резонансе определяют значения Q2 и С03. Составляющие полного сопротивления рассчитывают по формулам

в которых f — частота генератора при измерениях.
Величины Rx и Хх соответствуют последовательной схеме замещения исследуемой цепи. При С01 > С02 реактивное сопротивление Хх положительно, цепь имеет индуктивный характер; если С01 < С02, сопротивление Хх является емкостью.
При большом входном сопротивлении исследуемой цепи ее включают параллельно рабочему конденсатору, между зажимами в и г контура куметра (рис. 13.12 и 13.13). К зажимам а и б, как и при первом измерении, подключают вспомогательную катушку индуктивности. Схему настраивают в резонанс изменением емкости рабочего конденсатора. При резонансе отсчитывают значения С02 и Q2. Исследуемую цепь в данном случае удобно представить параллельной схемой замещения. Параметры этой схемы определяются соотношениями:

Если С01 > С02, цепь имеет емкостный характер; при С01 < С02 она имеет индуктивный характер. Полное сопротивление исследуемой цепи равно

Рассмотренными примерами не ограничивается область применения куметра. С помощью куметра можно измерять индуктивность, емкость и полную проводимость, производя включения соответствующих элементов в измерительный контур куметра.