1. Определенный интеграл не зависит от обозначения переменной интегрирования:
.
2.
.
3. Постоянный множитель можно выносить за знак определенного интеграла:
, где
.
4.
,
.
5. Если
, то
.
6. Теорема «о среднем». Если функция
непрерывна на
, точка
такая, что
.
Число
– среднее значение функции
на отрезке
.
7. Если функция
на отрезке
, то
на этом отрезке.
8.
Если на отрезке
, то
.
9. Если
и
– соответственно наименьшее и наибольшее значения функции
на отрезке
, то
10.
.
11. Производная определенного интеграла по переменному верхнему пределу равна подынтегральной функции
3.5 Замена переменной в определенном интеграле Пусть для вычисления интеграла
от непрерывной функции на отрезке
сделана подстановка
.
Теорема. Если:
1) функция
и ее производная
непрерывны на отрезке
,
2)
,
,
3) функция
определена и непрерывна на отрезке
, то
.
Пример. Вычислить интеграл
.
Решение. Сделаем тригонометрическую подстановку
, тогда
.
Найдем пределы интегрирования: если
, то
,
,
, если
, то
,
,
.
Тогда 
3.6 Интегрирование по частям Если функции
и
имеют непрерывные производные на отрезке
, то имеет место формула
.
|
|
|
Пример. Вычислить интеграл 
Решение.
интегрирования по частям:
, тогда
. Приложения определенного интеграла
1. Вычисление площади плоской фигуры
Из геометрического смысла определенного интеграла следует, что площадь криволинейной трапеции, ограниченной сверху кривой
, снизу отрезком
оси
,
справа и слева прямыми
и
находится по формуле
Если криволинейная трапеция расположена ниже оси
, то есть
то площадь может быть найдена по формуле

Площадь фигуры, ограниченной кривыми
и
(
для любого
), прямыми
и
можно найти по формуле
Если криволинейная трапеция ограничена справа непрерывной кривой
, слева отрезком
оси
, снизу и сверху прямыми
и
, то ее площадь находится по формуле
2.
Вычисление объема тела по известным площадям параллельных сечений
Если известны площади
сечений тела плоскостями, перпендикулярными оси
то объем данного тела находится по формуле
4. Пусть вокруг оси
вращается криволинейная трапеция, ограниченная линией
(
), отрезком
оси
и прямыми
и
Полученная вращением фигура, называется телом вращения.
Объем тела вращения вокруг оси 
находится по формуле
или
.
Если эту трапецию вращать вокруг оси
, то
.
5. Вычисление работы переменной силы. Пусть материальная точка
перемещается вдоль оси
под действием переменной силы
, направленной параллельно этой оси. Работа, произведенная силой при перемещении точки
из положения
в положение
, находится по формуле
.
6. Путь, пройденный телом Пусть материальная точка
перемещается по прямой с переменной скоростью
. Тогда путь
, пройденный данной точкой за промежуток времени от
до
, может быть вычислен по формуле
.
|
|
|
Определение двойного интеграла
Понятие интеграла может быть расширено на функции двух и большего числа переменных. Рассмотрим, например, функцию двух переменных z = f (x,y). Двойной интеграл от функции f (x,y) обозначается как
где R - область интегрирования в плоскости Oxy. Если определенный интеграл
от функции одной переменной выражает площадь под кривой f (x) в интервале от x = a до x = b, то двойной интеграл выражает объем под поверхностью z = f (x,y) выше плоскости Oxy в области интегрирования R (рисунок 1).
Чтобы определить двойной интеграл в произвольной области R, отличной от прямоугольной, выберем прямоугольник
, покрывающий область R (рисунок 3), и введем функцию g (x,y), такую, что
Тогда двойной интеграл от функции f (x,y) в произвольной области R определяется как
Свойства двойного интеграла Двойной интеграл обладает следующими свойствами:

1)
2)
3), где k - константа;

4) Если в области R, то;

5) Если
в области R и (рисунок 4), то; Рис.4

6) Если на R и области R и S являются непересекающимися (рисунок 5), то.
Рис.5
Здесь
означает объединение этих двух областей.
Двойные интегралы в прямоугольной области. Пусть область интегрирования R представляет собой прямоугольник
. Тогда двойной интеграл в такой области выражается через повторный интеграл в следующем виде:
Обычно удобнее начинать интегрировать функцию f (x,y). с более простого интеграла. В частном случае, когда подынтегральная функция f (x,y) "расщепляется" на произведение f (x)g(y), двойной интеграл равен произведению двух определенных интегралов: 
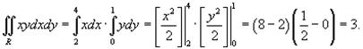
Пример 1 Вычислить двойной интеграл
в области
.
Решение. Как видно, подынтегральная функция f (x,y) представляет собой произведение f (x)g(y). Следовательно, интеграл равен

Геометрические приложения двойных интегралов
1. Площадь плоской фигуры. Если f (x,y) = 1 в интеграле, то двойной интеграл равен площади области интегрирования R.
Площадь области типа I (элементарной относительно оси Оy) (рисунок 1) выражается через повторный интеграл в виде
Аналогично, площадь области типа II (элементарной относительно оси Оx) (рисунок 2) описывается формулой