В общем случае дифференциальное уравнение второго порядка можно записать в виде 
где F − заданная функция указанных аргументов.
Если дифференциальное уравнение можно разрешить относительно второй производной y'', то его можно представить в следующем явном виде: 
В частных случаях функция f в правой части может содержать лишь одну или две переменных. Такие неполные уравнения включают в себя 5 различных типов: 
С помощью определенных подстановок эти уравнения можно преобразовать в уравнения первого порядка.
В случае произвольных дифференциальных уравнений второго порядка, их порядок можно понизить, если эти уравнения обладают определенной симметрией. Ниже мы обсудим 2 типа таких уравнений (случаи 6 и 7):
§ Функция F(x, y, y', y'') является однородной функцией аргументов y, y', y'';
§ Функция F(x, y, y', y'') является точной производной функции первого порядка Ф(x, y, y').
Итак, рассмотрим указанные случаи понижения порядка более подробно.
Случай 1. Уравнение вида y''= f (x)
Если дано уравнение y'' = f(x), то его порядок можно понизить введением новой функции p(x), такой, что y' = p(x). В результате мы получим дифференциальное уравнение первого порядка 
Решая его, находим функцию p(x). Затем решаем второе уравнение
и получаем общее решение исходного уравнения.
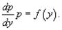
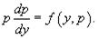
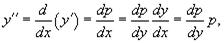
Случай 2. Уравнение вида y''= f (y)
Здесь правая часть уравнения зависит только от переменной y. Вводим новую функцию p(y), полагая y' = p(y). Тогда можно записать:
и уравнение принимает вид: 
Решая его, находим функцию p(y). Затем находим решение уравнения y' = p(y), то есть функцию y(x).
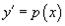
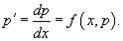
Случай 3. Уравнение вида y''= f (y') Д ля понижения порядка вводим функцию y' = p(x) и получаем уравнение
которое является уравнением первого порядка с разделяющимися переменными p и x. Интегрируя, находим функцию p(x) и затем функцию y(x).
Случай 4. Уравнение вида y''= f (x,y')
Используем подстановку y' = p(x), где p(x) − новая неизвестная функция, и получаем уравнение первого порядка
Интегрируя, определяем функцию p(x). Далее решаем еще одно уравнение 1-го порядка
и находим общее решение y(x).
Случай 5. Уравнение вида y''= f (y,y')
Для решения такого уравнения, также как и в случае 2, вводим новую функцию p(y), полагая y' = p(y). Дифференцирование этого равенства по x приводит к уравнению 
В результате наше исходное уравнение записывается в виде уравнения 1-го порядка 
Решая его, находим функцию p(y). Затем решаем еще одно уравнение первого порядка
и определяем общее решение y(x).
Рассмотренные 5 случаев понижения порядка не являются независимыми. Исходя из структуры уравнений, ясно, что случай 2 следует из случая 5, а случай 3 вытекает из более общего случая 4.
Понятие числового положительного ряда.
В общем виде положительный числовой ряд можно записать так: Здесь:
· – математический значок суммы;
– общий член ряда;
– переменная-«счётчик». Запись
обозначает, что проводится суммирование от 1 до «плюс бесконечности». Суммирование в ряде случаев может начинаться с нуля
, с двойки
либо с любого натурального числа. В соответствии с переменной-«счётчиком» любой ряд можно расписать развёрнуто:
– и так далее, до бесконечности.
Сходимость числовых положительных рядов. Необходимый признак сходимости ряда
При этом возможны два случая исследование ряда на сходимость:
1) Ряд
расходится. Это значит, что бесконечная сумма равна бесконечности:
. Например,
Очевидно, что каждый следующий член ряда
– больше, чем предыдущий, поэтому и, значит, ряд расходится
2) Ряд
сходится., т.е. бесконечная сумма равна некоторому конечному числу:
.
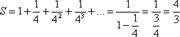
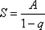
В качестве примера сходящегося числового ряда можно привести бесконечно убывающую геометрическую прогрессию
. Сумму членов бесконечно убывающей геометрической прогрессии можно найти по формуле:
, где
– первый член прогрессии,
– основание прогрессии. В данном случае:
,
. Таким образом:
. Получено конечное число, значит, ряд
сходится.






