Признак сравнения: Рассмотрим два положительных числовых ряда
и
. Если известно, что ряд
– сходится, и выполнено неравенство
(для
), то ряд
тоже сходится.
Т.е: Из сходимости ряда с большими членами следует сходимость ряда с меньшими членами.
Признак Даламбера: Рассмотрим положительный числовой ряд
. Если существует предел отношения последующего члена к предыдущему:
, то:
а) При
ряд сходится. В частности, ряд сходится при
.
б) При
ряд расходится. В частности, ряд расходится при
.
в) При
признак не дает ответа. Нужно использовать другой признак.
Радикальный признак Коши: Рассмотрим положительный числовой ряд
. Если есть предел:
, то:
а) При
ряд сходится. В частности, ряд сходится при
.
б) При
ряд расходится. В частности, ряд расходится при
.
в) При
признак не дает ответа. Нужно использовать другой признак. Признак Коши является более сильным признаком, чем признак Даламбера. Радикальный признак Коши обычно использует в тех случаях, когда общий член ряда ПОЛНОСТЬЮ находится в степени, зависящей от «эн». Либо когда корень извлекается из общего члена ряда. Интегральный признак Коши: Рассмотрим положительный числовой ряд
. Данный ряд сходится или расходится вместе с соответствующим несобственным интегралом.
Знакочередующиеся ряды. Признак Лейбница.
Рассмотрим ряд
и распишем его подробнее:
У членов знакочередующегося ряда чередуются знаки: плюс, минус, плюс, минус, плюс, минус и т.д. до бесконечности.
В практических примерах знакочередование членов ряда может обеспечивать не только множитель
, но и:
,
,
, …. Например: 
Признак Лейбница: Если члены знакочередующегося ряда убывают по модулю, то ряд сходится.
Или, если выполнены оба условия, то ряд сходится:
1) Ряд является знакочередующимся.
2) Члены ряда убывают по модулю. То есть, 
Если ряд сходится по признаку Лейбница, то также говорят, что ряд сходится условно. Если сходится и ряд, составленный из модулей:
, то говорят, что ряд сходится абсолютно.
Теорема: Если ряд сходится абсолютно, то он сходится и условно.
(Обратное неверно: если ряд сходится условно, то это еще не значит, что он сходится абсолютно.)
Функциональный ряд состоит из ФУНКЦИЙ:
Все члены функционального ряда – это функции. 
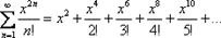
В общий член ряда помимо многочленов, факториалов и др. непременно входит буковка «икс», например:.
Разновидностью функционального ряда является степенной ряд.
Степенной ряд – это ряд, в общий член
которого входят целые положительные степени независимой переменной
.
:, где
– это «начинка» числовых рядов (многочлены, степени, факториалы, зависящие только от «эн»). Например
или
,
где
–константа. Например
или
Область сходимости ряда - это множество значений «икс», при котором степенной ряд будет сходиться.
Для любого степенного ряда возможны три случая:
1) Степенной ряд сходится абсолютно на некотором интервале
. Т.е, если мы выбираем любое значение «икс» из интервала
и подставляем его в общий член степенного ряда, то у нас получается абсолютно сходящийся числовой ряд. Такой интервал
и называется интервалом сходимости степенного ряда. Радиус сходимости - половина длины интервала сходимости 
2) Степенной ряд сходится абсолютно при любом значении. То есть, какое бы значение «икс» мы не подставили в общий член степенного ряда – в любом случае у нас получится абсолютно сходящийся числовой ряд. Интервал сходимости и область сходимости в данном случае совпадают:
. Радиус сходимости: 
3) Степенной ряд сходится в единственной точке. Если ряд имеет вид
, то он будет сходиться в единственной точке
. В этом случае интервал сходимости и область сходимости ряда тоже совпадают и равны единственному числу – нулю:
.
Если ряд имеет вид
, то он будет сходиться в единственной точке
,
если ряд имеет вид
, то, понятно, – в точке «минус а».
Радиус сходимости ряда во всех случаях, естественно, нулевой:
.