Аналитический способ состоит в нахождении экстремумов функции f(x), исследование ее поведения при и нахождение участков возрастания и убывания функции. Графический способ – это построение графика функции f(x) и определение числа корней по количеству пересечений графика с осью x. Табличный способ – это построение таблицы, состоящей из столбца аргумента x и столбца значений функции f(x). О наличии корней свидетельствуют перемены знака функции. Чтобы не произошла потеря корней, шаг изменения аргумента должен быть достаточно мелким, а интервал изменения достаточно широким.
Приближенные (Итерационные) методы. Пусть интервалы изоляции корней известны. Познакомимся с несколькими итерационными методами, позволяющими найти корень на известном интервале изоляции [a, b].
Метод деления отрезка пополам (дихотомии) Идея метода: Найдем середину отрезка [a, b]: c=(a+b)/2. Корень остался на одной из частей: [a, c] или [c, b]. Если f(a) * f(с)<0, то корень попал на отрезок [a, c], тогда деление отрезка можно повторить, приняв в качестве нового правого конца точку c, т.е. b=c. В противном случае корень попал на половину [c, b], и необходимо изменить значение левого конца отрезка: a=c. Поскольку корень всегда заключен внутри отрезка, итерационный процесс можно останавливать, если длина отрезка станет меньше заданной точности: |b – a|< ε.
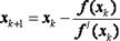
Метод Ньютона (метод касательных)
Решаем уравнение f(x)=0. Метод определяется формулой
Геометрическая интерпретация такова: участок кривой y=f(x) при
, если
, или, если, заменяется отрезком касательной, проведённой из точки xk.
Метод хорд В этом методе кривая f(x) заменяется прямой линией – хордой, стягивающей точки (a, f(a)) и (b, f(b)). В зависимости от знака выражения f(a) f //(a) метод хорд имеет два варианта, изображенных на рис. 2 а, б.







