Постановка задачи. Исследовать функцию
и построить ее график.
План решения.
1. Находим область определения
функции
.
2. Выясняем четность функции.
Если
, то функция
называется четной. График четной функции симметричен относительно оси ординат (оси
).
Если
, то функция
называется нечетной. График нечетной функции симметричен относительно начала координат.
3. Выясняем периодичность функции.
Если
при некотором
, то функция
называется периодической. График периодической функции имеет одну и ту же форму на каждом из отрезков
. Поэтому достаточно построить график на каком-нибудь одном таком отрезке и затем воспроизвести полученную кривую на остальных отрезках
4. Находим точки максимума и минимума функции и интервалы возрастания и убывания (интервалы монотонности). Для этого:
вычисляем производную
и находим критические точки функции, т.е. точки, в которых
или не существует;
определяя знак производной, находим интервалы возрастания и убывания функции: если
, то функция возрастает, если
, то функция убывает;
|
|
|
если производная меняет знак при переходе через критическую точку
, то
– точка экстремума: если производная меняет знак с «минуса» на «плюс» – то точка минимума, если же с «плюса» на «минус» – то точка максимума. Если производная сохраняет знак при переходе через критическую точку, то в этой точке экстремума нет.
5. Находим точки перегиба функции и интервалы выпуклости и вогнутости. Для этого:
вычисляем вторую производную
и находим точки, принадлежащие области определения функции, в которых
или не существует;
определяя знак второй производной, находим интервалы выпуклости и вогнутости: если
, то функция выпукла, если
, то функция вогнута;
если вторая производная меняет знак при переходе через точку
, в которой
или не существует, то
– точка перегиба.
6. Находим асимптоты функции.
а) Вертикальные: находим односторонние пределы в граничных точках
и/или
.
Если хотя бы один из этих пределов бесконечен, то
– вертикальная асимптота графика функции
.
б) Наклонные: если существуют конечные пределы
и
,
то прямая
– наклонная асимптота графика функции
(если
,
, то
– горизонтальная асимптота).
Замечание 1. Асимптоты при
и
могут быть разными.
Замечание 2. При необходимости можно найти точки пересечения кривой с осями координат и задать дополнительные точки.
7. Строим график функции.
Задача 7. Провести полное исследование функций и построить их графики.
.
1. Область определения:
.
2. Функция ни четна, ни нечетна, т.к.
.
3. Функция не является периодической.
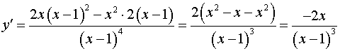
4. Интервалы возрастания и убывания.
.
при
;
не существует при
.
| | | | | |
| | | | не сущ. | |
| | | | не сущ. | |
Функция убывает при
.
|
|
|
Функция возрастает при
.
– точка минимума.
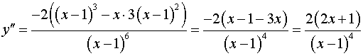
5. Выпуклость и вогнутость кривой.
.
при
;
не существует при
.
– кривая выпукла;
– кривая вогнута;
– кривая вогнута.
– точка перегиба.
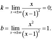
6. Асимптоты.
а) вертикальные:
.
б) наклонные:
,
,
.

– наклонная (горизонтальная) асимптота.
7. График.

ТИПЫ НАСЛЕДСТВЕННЫХ БОЛЕЗНЕЙ
Наследственными заболеваниями человека называют такие патологические состояния, причиной которых является изменение генетического материала. Если эти изменения происходят в генах, то возникают моногенные, или менделирующие заболевания (соответствующие менделевскому наследованию). К настоящему времени описано несколько тысяч моногенных болезней (ахондроплазия, при которой происходит поражение скелета, семейный поликистоз почек, врожденная катаракта, синдром Марфана (поражение скелета, сердца, глаз), наследственный панкреатит, муковисцидоз (системное поражение эндокринных желез, проявляющееся хроническим обструктивным бронхолегочным процессом и нарушением работы жкт), фенилкетонурия, проявляющаяся умственной отсталостью и психическими расстройствами, аденоматозный полипоз толстой кишки, гемофилия и др.).
Второй тип наследственных болезней – хромосомные, так как изменения затрагивают хромосомы, в них происходят количественные или качественные (структурные) изменения. Примерами хромосомных болезней являются синдромы Дауна, Эдвардса, Патау, Шерешевского-Тернера, Клайнфельтера.
3) митохондриальные болезни, которые формируются в том случае, если мутации затрагивают митохондриальную ДНК. Примером митохондриальных болезней могут служить атрофия зрительных нервов Лебера, наружная офтальмоплегия, митохондриальные миопатии (синдром MELAS), синдром миоклонус-эпилепсии и рваных мышечных волокон (синдром MERRF), нейросенсорная тугоухость.
4) геномный импринтинг и болезни импринтинга, это классболезней, которые не соответствуют менделевскому наследованию, то есть может наблюдаться однородителськая дисомия или экспансия тринуклетидных повторов (синдром Энжельмана, Прадера-Вилли, болезнь Альцгеймера, синдром ломкой Х-хромосомы, врожденный порок сердца и т.д.).
5) мультифакториальные болезниили болезни с наследственной предрасположенностью, так их формирование обусловлено взаимодействием большого числа факторов, как генетических, так и внешнесредовых. К ним относятся все хронические неинфекционные заболевания, такие как диабет, атеросклероз, бронхиальная астма и др., а также изолированные врожденные пороки развития. Частота этих заболеваний достаточно высока в популяции и нередко они могут являться причиной смерти (бронхиальная астма, язвенная болезнь желудка и 12-перстной кишки, ГБ, СД, шизофрения, эпилепсия и др.).
Кроме того, принято различать заболевания, обусловленные преимущественно действием внешнесредовых факторов – это травмы, частые инфекционные заболевания. Однако многие исследователи полагают, что возникновение этих заболеваний также зависит от генетической конституции, хотя и в небольшой степени. Хорошо известны факты, когда во время эпидемий часть населения не заболевает, обладая генетически устойчивой невосприимчивостью к соответствующей инфекции. Злободневным примером является СПИД. Установлено, что у лиц, обладающих особой формой одного из генов (ген рецептора хемокинов), снижена восприимчивость к вирусу приобретенного иммунодефицита. Такая классификация всей патологии человека на отдельные группы в зависимости от значимости наследственных факторов в этиологии и патогенезе заболеваний человека является, несомненно, одним из важных достижений медицинской генетики. Она не только позволяет понять этиологию различных заболеваний, но и позволяет точнее выбрать метод лечения и профилактики данных заболеваний.
|
|
|
ГРУЗ НАСЛЕДСТВЕННЫХ БОЛЕЗНЕЙ В ПОПУЛЯЦИЯХ
ЧЕЛОВЕКА
Согласно данным Регистра врожденной и наследственной патологии, который существует более 30 лет, и в нем представлены данные, полученные в канадской провинции Британской Колумбии, частота аутосомно-доминантных заболеваний составляет 1395,4 на 1 млн. новорожденных и составляет 0,14%; аутосомно-рецессивных – 1655,3 – 0,17%; Х-сцепленных рецессивных – 532,4 – 0,05%; хромосомных – 1845,4 – 0,18% и частично наследственно обусловленных пороков развития – 26584,2 – 2,66%.
Регистр является лучшим в мире источником информации о частоте наследственных болезней в популяциях человека, хотя и не лишен недостатков, в частности, в нем недостаточно полно представлена наследственная патология, проявляющаяся в старших возрастных группах. Поэтому, приведенные оценки частот менделирующих наследственных болезней в Регистре являются минимальными.
Собственно наследственная патология, которая включает менделирующую (аутосомно-доминантная, аутосомно-рецессивная, Х-сцепленных рецессивная и хромосомная) патологию, встречается примерно у 4-х человека из 1000 новорожденных в течение примерно 35 лет жизни. Значительно чаще у новорожденных выявляют врожденные пороки развития, большинство из которых наследуются мультифакториально – примерно у 30 из 1000 новорожденных.
Данные о частоте наследственных болезней в популяции Британской Колумбии – не единственные в мировой литературе, впервые такие данные были получены еще в 1959 году Стивенсоном для Северной Ирландии. Он использовал обзорный метод получения данных: одномоментно были получены данные о больных с предположительно наследственной патологией от всех практикующих врачей в популяции Северной Ирландии. Эти данные до настоящего времени считаются спорными, так речь шла не о частоте патологии, а о распространенности, причем некоторые цифры были преувеличены, это касается аутосомно-доминантных и аутосомно-рецессивных болезней.
|
|
|
В таблице 1 представлены данные по оценке частоты менделирующей наследственной патологии в популяции человека, полученные разными авторами. В преобладающем числе случаев эти оценки выведены путем суммирования данных из статей, посвященных эпидемиологии наследственных болезней.
Согласно данным, представленным в этой таблице, наибольшим колебаниям подвержена оценка частоты аутосомно-доминантных болезней, которая, по данным разных авторов, различается больше, чем на порядок. Это связано с тем, что ряд признаков, например, таких, как семейная гиперхолестеринемия, взрослый тип поликистоза почек и некоторые другие, то ли включались, то ли нет в аутосомно-доминантные заболевания. Пенетрантность этих признаков в терминах патологических состояний достаточно низкая, поэтому их включение в список регистрируемых доминантных состояний отражало точку зрения конкретного автора. Частота аутосомно-рецессивных болезней колебалась, по данным разных источников, всего в 2 раза, что скорее связано с более строгими критериями отбора аутосомно-рецессивных заболеваний, а также тем, что среди них реже встречаются такие состояния, которые условно можно считать патологическими.
Оценка частоты Х-сцепленных состояний практически не варьирует по причине, указанной выше.
ДИФФЕРЕНЦИАЦИЯ МЕДИЦИНСКОЙ ГЕНЕТИКИ НА ОТДЕЛЬНЫЕ ДИСЦИПЛИНЫ.
Как уже отмечалось выше, медицинская генетика является частью генетики человека. В отличие от других видов живых организмов, для которых не принято разделять генетику на отдельные разделы, для человека, когда он сам становится объектом исследования, такое разделение генетики оправдано с прикладной точки зрения.
Медицинская генетика достаточно дифференцирована. Такая дифференциация отражает большой объем знаний, накопленный медицинской генетикой при изучении природы различных болезней человека и существование большого числа медицинских и биологических специальностей. В ней выделяют такие разделы, как молекулярная, биохимическая генетика, цитогенетика, клиническая генетика. Каждый из этих разделов имеет свой объект и методы изучения.
· Молекулярная медицинская генетика изучает патологические процессы на молекулярном уровне, начиная со структуры гена и ее изменений, и кончая взаимодействием продуктов генов друг с другом на молекулярном уровне.
· Биохимическая генетика исследует природу наследственных болезней обмена веществ на уровне ферментов, ферментативных реакций и их продуктов.
· Цитогенетика изучает с помощью специфических методов структуру хромосом человека и ее нарушения в случае хромосомных болезней.
· Основной задачей клинической генетики являются разработка и реализация различных способов диагностики, а также помощи больным с наследственной патологией и профилактики возникновения наследственной патологии в семьях и в популяциях.
Такое деление медицинской генетики на отдельные ветви в зависимости от используемых методов для изучения наследственной патологии, является искусственным, и несомненно, что методы, применяемые в одном разделе, проникают в другие разделы медицинской генетики.
Теперь рассмотрим подробнее каждый из типов наследственных болезней.
1) Моногенные болезни часто называют менделирующими, так как они наследуются согласно правилам Менделя. Они вызываются генными мутациями. Я не буду подробно останавливаться на правилах Менделя, но кратко напомню суть этих правил, чтобы понимать, чем же обусловлено возникновение моногенных болезней.
Первое правило – правило доминирования. Из двух аллелей, которые содержатся в каждой клетке, один может маскировать проявление второго аллеля. В случае, когда аллели гена одинаковы – особь гомозиготна, если различны – гетерозиготна. Все менделирующие наследственные признаки делятся на доминантные и рецессивные, если у гетерозиготной особи проявляются оба аллеля – кодоминирование (по этому принципу наследуются IY группа крови и антигены системы HLA).
Второе правило Менделя – правило расщепления (когда половые клетки родителей несут по 50% каждого из аллелей). Если оба родителя гетерозиготны по какому-то гену, то в потомстве таких родителей будет наблюдаться расщепление и ¾ потомков буде иметь доминантный признак и ¼ - рецессивный, что обусловлено случайным объединением гамет родителей, имеющих разные аллели (расщепление по генотипу будет 1:2:1). Соответственно, если один из родителей гетерозиготен, а второй – гомозиготен по рецессивному гену, то расщепление по наличию доминантного и рецессивного признаков будет 1:1. Если один из родителей гомозиготен, а второй гетерозиготен по доминантному гену, то фенотипически все потомство будет иметь только доминантный признак. Для понимания этого правила используется решетка Пеннета. Учитывая, что наблюдаемые расщепления в потомстве от скрещивания родителей с разными генотипами являются событиями вероятностными и их можно выявить только на большом числе потомков, из теории вероятности следуют два правила – правило умножения и правило сложения вероятностей.
Правило умножения гласит, что если какие-то события наблюдаются независимо друг от друга, то вероятность того, что два события будут происходить одновременно, равна произведению вероятностей этих событий, т.е. ½ х ½ = ¼ (½ составляет для каждого родителя).
Правило сложения гласит, что если мы хотим узнать вероятность реализации либо одного, либо другого события, то вероятность каждого из событий складываются. Если нас будет интересовать вероятность гомозиготного потомства в браке гетерозиготных родителей, то надо сложить вероятности рецессивных и доминантных гомозигот: ½ + ½ = ¼.
Этими правилами приходится часто пользоваться врачам-генетикам во время медико-генетического консультирования при расчете вероятностей тех или иных событий в семьях, имеющих больного наследственными заболеваниями.
Третье правило Менделя – правило независимого комбинирования: гены, определяющие различные признаки, наследуются независимо друг от друга. Знание этого правила будет иметь значение при рассмотрении картирования генов с помощью анализа сцепления.
Согласно таблице 4, в потомстве от брака двойных гетерозигот наблюдается 4 фенотипа: доминантный по обоим признакам, доминантный либо по одному, либо по другому признаку, рецессивный либо по одному, либо по другому признаку, рецессивным по обоим признакам одновременно, соотношения 9:3:3:1. Вероятность доминантного фенотипа для каждого признака в моногибридном скрещивании составляет ¾. При их независимости друг от друга вероятность их совместного проявления равна ¾ х ¾ = 9/16. Вместе с тем, соотношение генотипов при дигибридном скрещивании иное, чем соотношение фенотипов: 1ААВВ:2АаВВ:2ААВв:4ААВв:1Аавв:2Аавв:1ааВв:1аавв.
Понятно, что у человека невозможны контролируемые скрещивания. В семьях, как правило, число детей в семье – небольшое, поэтому, для того, чтобы доказать аутосомно-доминантный или аутосомно-рецессивный характер наследования заболевания, нужно собрать достаточно большое число семей с большим числом детей в этих семьях. Принимая во внимание, что большинство наследственных заболеваний встречается редко, становится понятно, что медицинскому генетику приходится пользоваться упрощенными требованиями к доказательствам определенного типа наследования. Но, эти упрощенные требования вытекают из менделевских правил наследования, то есть, заключение при таком типе анализа заключается в том, что в исследуемой родословной сегрегация того или иного заболевания не противоречит определенному менделевскому типу наследования.
а) аутосомно-доминантное наследование (синдром Марфана, который проявляется системный поражением соединительной ткани, ген FBN1картирован на 15 хромосоме; кифосколиоз, миопия высокой степени, расширение корня аорты).
б) аутосомно-рецессивное наследование (фенилкетонурия);
в) наследование, сцепленное с Х-хромосомой (гемофилия А, миопатия Дюшена, синдром ломкой хромосомы Х);
г) наследование, сцепленное с Y-хромосомой (определенные формы азооспермии, пигментный ретинит, нарушение дифференцировки пола).
2) Хромосомные болезни – большая группа врожденных наследственных болезней, клинически характеризующихся множественными врожденными пороками развития.В их основе лежат хромосомные и геномные мутации. Эти два типа разных мутаций для краткости объединены общим термином «хромосомные аномалии». У человека обнаружены только три типа геномных мутаций: тетраплоидия, триплоидия и анеуплоидия и все типы хромосомных мутаций (делеции, дупликации, инверсии, транслокации).
3) Митохондриальные болезни. Термин «митохондриальные болезни» вошел в медицинский научный лексикон лишь несколько лет назад. Им обозначается много заболеваний с широким спектром клинических проявлений, включающих слепоту, глухоту, деменцию, расстройства движений, мышечную слабость, сердечную недостаточность, нефропатию и др., в основе которых лежат дефекты митохондрий. Каждая клетка содержит сотни, а иногда и тысячи митохондрий. Основная, но далеко не единственная функция этих органелл – обеспечение клетки энергией в форме АТФ за счет окислительного фосфорилирования, именно поэтому митохондрии называют энергетическими станциями клетки. Митохондрия содержит до десяти копий геномов. Это кольцевые молекулы ДНК (мтДНК) небольшого размера – около 5 мкм, состоящие из 16,5 тысяч пар оснований. Митохондрии имеют две высокоспециализированные мембраны – наружную и внутреннюю, кольцевую молекулу ДНК, а также собственные системы транскрипции и трансляции. Каждая клетка содержит несколько сотен митохондрий. В митохондриях также содержатся ферменты, участвующие в биосинтезе пуринов, в цикле трикарбоновых кислот, мочевины, окисления пирувата.
Дыхательная цепь митохондрий состоит из 5 мультиферментных комплексов, субъединицы которых кодируются как ядерными, так и митохондриальными генами. В переноске электронов участвуют коэнзим Q10 и цитохром с. Электроны поступают от молекул NAD*F и FAD*H и переносится по дыхательной цепи. Высвобождаемая энергия используется для транспорта протонов к внешней мембране митохондрий, а возникающий электрохимический градиент – для синтеза АТФ с помощью комплекса Y дыхательной цепи митохондрий.
В митохондриальном геноме есть гены для двух рибосомальных РНК, 22тРНК и 13 полипептидов, участвующих в реакциях окислительного фосфорилирования; мтДНК не содержит интронов. Митохондриальные белки, вовлеченные в окислительное фосфорилирование, включает компоненты комплекса 1 (субъединицы NADF- дегидрогеназы: ND1 - ND6), комплекса III (цитохром b), комплекса IY (субъединицы цитохромоксидазы I, II, III) и комплекса Y (субъединицы 6 и 8 митохондриальной АТФазы). Все другие гены, кодирующие митохондриальные белки (примерно 1100), транскрибируются в ядре, транслируются в цитоплазме, затем импортируются митохондриями. Нарушение взаимодействия между митохондриальным и ядерным геномами служит причиной разнообразной митохондриальной патологии.
Так как мтДНК содержится в цитоплазме клеток, она наследуется только по материнской линии. В цитоплазме яйцеклеток содержатся тысячи митохондрий и, следовательно, десятки тысяч молекул мтДНК. В то же время в сперматозоиде имеется несколько молекул мтДНК, которые не попадают в оплодотворяемое яйцо. Поэтому мужчины наследуют мтДНК от своих матерей, но не передают ее своим потомкам. Такой тип наследования называют материнским наследованием, или наследованием по материнской линии. Как правило, все типы мтДНК идентичны, такое состояние носит название гомоплизии. Появление мутации в одной из молекул мтДНК может привести к возникновению двух популяций мтДНК в клетке, что называется гетероплазией. В результате деления мутантная мтДНК попадает в другие клетки, что приводит к ее размножению, а процесс называется репликативной сегрегацией. Учитывая, что энергетические потребности разных тканей организма различны, а наиболее энергопотребляющей является нервная система, то вполне зпкономерно, что именно эта система поражается преимущественно при митохондриальных болезнях (МХБ).
Классификация митохондриальных болезней базируется двух принципах:1) участие мутантного белка в реакциях окислительного фосфорилирования; 2) кодируется ли мутантный белок мтДНК или ядерной ДНК.
К 1 классу относятся первичные дефекты окислительного фосфорилирования. Подкласс 1а включает заболевания, которые возникают вследствие мутаций в генах мтДНК, которые кодируют субъединицы белков, участвующих в окислительном фосфорилировании, митохондриальные тРНК и рРНК. В этом подклассе выделяют 3 группы: крупные делеции и дупликации мтДНК, точковые мутации и небольшие перестройки в генах, кодирующих белки, и небольшие перестройки в генах тРНК и рРНК. Эти мутации могут проявляться только в том случае, когда они содержатся более чем в 60% мтДНК. Митохондриальные болезни класса 1 в обусловлены мутациями в ядерных генах (более 70%), кодирующих субъединицы белков, которые участвуют в окислительном фосфорилировании.
Ко 2 классу относятся МТ болезни, обусловленные мутациями ядерных генов, продукты которых импортируются митохондриями и нарушают транскрипцию, трансляцию или репликацию мтДНК, вызывают прямое повреждение мтДНК и т.д. Сюда же можно отнести те болезни, которые вызываются эндогенными или экзогенными токсинами.
Первым митохондриальным заболеванием, патогенез которого был выяснен на молекулярном уровне, была атрофия дисков зрительных нервов Лебера, являющаяся результатом миссенс-мутации, наследуемая по материнской линии и проявляющаяся внезапным началом слепоты.Начинается как в детском, так и в пожилом возрасте. Атрофия зрительных нервов Лебера обусловлена мутациями в генах мтДНК, кодирующих субъединицы комплекса 1. Наиболее частая мутация Г на А в 11778-м нуклеотиде гена ND4 (Арг340 Гис) или мутации в генах ND1 и ND6. Синдром Лея (подострая некротизирующая энцефаломиелопатия) также относится к этому классу. Синдром Лея часто ассоциируется с недостаточностью цитохромоксидазы, а также с заменой Т на Г в 8933-м положении 6-й субъединицы АТФ-синтазы (Лей 56 Арг). Синдром Лея возникает только тогда, когда мутантная мтДНК составляет не менее 90% всей мтДНК. Если процент мутантной ДНК ниже, то проявляется синдром нейропатии, атаксии и пигментного ретинита.
Синдром нейропатии, атаксии и пигментной дистрофии сетчатки (NARP) может проявляться как в младенчестве, так и позже, вплоть до 2-го десятилетияжизни.У больных могут возникать деменции, судороги, мотосенсорная нейропатия, тугоухость. Наиболее частой мутацией при синдроме является замена Т на С в положении 8993 гена АТФазы мтДНК.
Синдром миоклонус-эпилепсии и рваных красных мышечных волокон (MERRF), который проявляется эпилепсией, деменцией, атаксией и миопатией, возникает в случае мутации в гене тРНК. Синдром может проявляться в детском и взрослом возрастах. Еще один синдром, обусловленный точковой заменой в гене тРНК, - это синдром митохондриальной энцефаломиопатии и инсультоподобных эпизодов (MELAS). Основными клиническими проявлениями MELAS является энцефаломипатия, инсультоподобные состояния, обычно преходящие, с восстановлением функции, судороги, эпилепсия, мигренеподобные головные боли.
К МТБ, обусловленным делециями или дупликациями, относятся синдром Кернса-Сайра (миопатия, мозжечковые нарушения и сердечная недостаточность), синдром Пирсона (молочно-кислый ацидоз и недостаточность поджелудочной железы), хроническая прогрессирующая наружная офтальмоплегия (птоз). Повторы и ложное спаривание ДНК в процессе репликации служит причиной возникновения множественных делеций мтДНК.
При нарушении взаимодействия между ядерным и митохондриальным геномами возникают синдром истощения мтДНК и синдром множественных делеций мтДНК. Оба эти состояния наследуются как аутосомно-доминантные признаки.
Болезни дыхательной цепи митохондрий, обусловленные мутациями ядерных генов, объединены в две группы – митохондриальные миопатии и митохондриальные энцефаломиопатии, наследуются как менделевские признаки.
4) Геномный импринтинг и болезни импринтинга – этот класс болезней принадлежит к достижениям «новой генетики». Геномный импринтинг – когда оба родителя передают потомкам совершенно идентичные гены, но эти гены несут специфический отпечаток пола родителей, то есть отцовские и материнские гены активированы или супрессированы во время гаметогенеза по-разному. Таким образом, чрезвычайно важно знать, от кого из родителей унаследован ген.
Термин «импринтинг» (отпечаток) впервые предложил в 1960 году Х. Кроуз из Колумбийского университета для описания селективной элиминации отцовских хромосом. Геномный импринтинг – эпигенетическое явление, при котором наследуются изменения генной активности, обусловленные родительским происхождением хромосом или их фрагментов, а не структурные перестройки генетического материала. В некоторых участках генома, подверженных геномному импринтингу, экспрессируется только один отцовский или материнский аллель, то есть наблюдается моноаллельная экспрессия импринтированных генов в отличие от обычной диаллельной. В том случае, если импринтирован материнский ген, то экспрессируется отцовский аллель и наоборот. Такой способ регуляции работы генов свидетельствует о неэквивалентном вкладе родителей в функционирование генома потомков, а фенотипические признаки, контролируемые импринтированными локусами, могут проявляться в результате не только мутаций генов, но и нарушения эпигенетической программы регуляции генной экспрессии. Первоначальный «отпечаток», созданный в половых клетках, служит основанием для дальнейших модификаций в результате взаимодействий между родительскими геномами и цитоплазматическими факторами яйцеклетки во время формирования пронуклеоса. Дальнейшие эпигенетические модификации могут привести к тому, что изменения в экспрессии генов будут стабильно передаваться в процессе развития клеточных поколений.
У человека эффект импринтинга обнаружен в связи с наличием в хромосомном наборе фрагментов или целых хромосом одного (материнского или отцовского) происхождения – так называемая однородительская дисомия (ОРД), наблюдается качественный, а не количественный хромосомный дисбаланс. Известны два основных механизма образования ОРД: коррекция трисомии до дисомии (гетеродисомия), происходящая в 1-м мейотическом деменции, и коррекция моносомия до дисомии (изодисомия) – во 2-м мейотическом делении.
Феномен импринтинга лучше изучен у мыши, чем у человека, и так как известна гомология между хромосомами человека и мыши (примерно по 700 локусам), можно использовать данные, полученные на мышах, для целенаправленного поиска импринтинга по определенным локусам у человека. На сегодня импринтированные гены и их транскрипты обнаружены на многих хромосомах человека: 1, 5, 6, 7, 11, 13, 15, 19, 20 и Х.
В настоящее время насчитывается более 30 болезней импринтинга. Наиболее изученными являются синдром Прадера-Вилли (СПВ) и синдром Энжельмана (СЭ). Наиболее частой причиной возникновения данных синдромов является протяженная (до 4 млн. п.н.) делеция критического района (15q11-q13), выявляемая у 70-75% больных, различие между этими синдромами заключается в том, что при СПВ делеция расположена на отцовской хромосоме 15, а при СЭ – на ее материнском гомологе. Вторая причина – однородительская дисомия, то есть наследование обоих гомологов от одного из родителей: при СПВ – отцовское, при СЭ – материнское. В последние годы появились сообщения еще об одной причине развития этих синдромов у больных, у которых в семьях наблюдаются повторные случаи этих синдромов. В районе (15q11-q13) имеются близко расположенные, но противоположно импринтированные локусы SNRPN и UBE3A, отвечающие за возникновение двух синдромов. Эта область называется центром импринтинга, мутации в этой области приводят к ошибкам импринтинга, что приводит к развитию СА у потомства.
Для СПВ характерны следующие признаки: тяжелая умственная отсталость, отсутствие речи, атаксия, судороги, пароксизмы смеха, гиперактивность, аномалии ЭЭГ, характерное лицо, гипопигментация.
Для СЭ – мышечная гипотония, ожирение, полифагия, характерное лицо, умственная отсталость, гипогонадизм, акромикрия, низкий вес и рост при рождении, гипопигментация.
Для синдрома Беквита-Видемана – макросомия, макроглоссия, пупочная грыжа, повышенная предрасположенность к опухолям.
Повторный риск для трех групп семей при СПВ и СЭ различен. При делециях - ниже 1%, при ОРД – риск низкий, но следует учитывать возраст матери, при мутациях в центре импринтинга – выше как для родителей, так и близких родственников.
5) Мультифакториальные болезни – заболевания, в этиологии которых существенна роль генетической компоненты, но характер наследования которых не может быть объяснен простым менделевским наследованием. К ним относятся практически все неинфекционные заболевания и изолированные пороки развития. В формировании МЗ принимают участие большое количество генетических и внешнесредовых факторов.
Для объяснения характера наследования МЗ предложена пороговая модель наследования, согласно которой генетическая и внешнесредовая компоненты предрасположенности к заболеваниям имеют нормальное распределение в популяции. Предрасположенность больных к МЗ превышает гипотетический порог, положение которого на кривой нормального распределения задается частотой заболевания в популяции.
При МЗ рекуррентный (повторный) риск возникновения заболевания в семье не является постоянной величиной, а зависит от многих факторов: числа пораженных родственников в семьях, тяжести и формы заболевания, пола, возраста пробанда.
Наследуемость является оценкой доли в общей фенотипической изменчивости предрасположенности к заболеванию, изменчивости, обусловленной генетическими факторами.
В развитие модели мультифакториального наследования были разработаны многочисленные статистические модели наследования с учетом возможного эффекта главного гена. Все эти модели в той или иной степени базируются на отклонении в характере распределения предрасположенности от кривой нормального распределения (модели Фальконера, Рейча, Смита). Применение этих моделей и других подходов позволило выделить среди некоторых МЗ моногенно наследуемые формы, примерами которых может быть MODY – диабет взрослых у детей, семейная гиперхолестеринемия, обусловленная недостаточностью рецепторов липопротеинов низкой плотности.
Одним из способов выявления генов, которые могут иметь отношение к предрасположенности к МЗ, является изучение ассоциаций между различными генетическими полиморфными системами и заболеваниями. В качестве меры силы ассоциации используется коэффициент Вульфа.
В настоящее время ведутся активные попытки выявления генов предрасположенности к различным МЗ с помощью анализа сцепления заболеваний с полиморфными генетическими маркерами (однонуклеотидный полиморфизм).
Таблица. Частота основных типов наследственных болезней на 1000 новорожденных по данным ряда источников
| Категория заболевания | A.C. Stevenson (1959) | A. Johnes, W.F.Bodmer, (1974) | C.Carter (1977) | J.Neel (1978) | UNSCEAR Report (1977) | UNSCEAR Report (1986) |
| АД АР Х-сцепл. | 9,5 2,1 0,4 | 0,7 2,5 0,5 | 7,0 2,1 0,5 | 10,0 1,0 0,5 | 10,0 1,1 - | 10,0 2,5 - |
Таблица. Предполагаемые «болезни импринтинга» у человека
| Заболевание | Хромосома | Происхождение |
| · Болезнь Альцгеймера · Синдром Энжельмана · Расщелина губы · Врожденный порок сердца · Хорея Гентингтона (ювенильная форма) · Дефекты невральной трубки · Поликистоз почек · Поликистоз яичников · Синдром Прадера-Вилли · Псориаз · Синдром лицевых аномалий, аномалий респираторного тракта, гепатомегалии · Синдром Беквита-Видемана · Синдром Сильвера-Рассела · Синдром умственной отсталости, низкого роста, преждевременного полового созревания · Синдром ломкой хромосомы Х | 16 и? Х | Отцовское Материнское Отцовское Материнское Отцовское Отцовское Материнское и отцовское Материнское Отцовское Отцовское Отцовское Материнское Материнское Материнское Материнское |
Рисунок. Причины болезней с наследственной предрасположенностью
| ПРИЧИНЫ |

СРЕДОВЫЕ | ГЕНЕТИЧЕСКИЕ | СТОХАСТИЧЕСКИЕ (случайные) |

| Генетический фон |
| Семейные |
| популяционные |
| Гены предрасположения |
ГЕНЕТИЧЕСКИЕ