Нормативный коэффициент амортизационных отчислений определяется в общем виде по следующей формуле:
(2.3)
На – нормативный коэффициент амортизационных отчислений;
ОФпер – первоначальная стоимость объекта;
ОФликв – ликвидационная стоимость объекта;
Д – стоимость демонтажа ликвидируемых основных средств и другие затраты, связанные с ликвидацией;
Т – срок полезного использования (в годах).
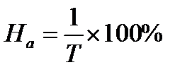
Однако в данном случае данных о ликвидационной стоимости и расходах на ликвидацию нет. Поэтому примем их равными нулю. Тогда формула упрощается и принимает вид:
(2.4)
Таблица 2.3 – Данные для расчета нормативного коэффициента амортизационных отчислений
| Данные для расчета | Величина |
| Нормативный срок эксплуатации, лет |
Вычисления:







