4.3. Погружной дырчатый щит
Главное назначение погружного дырчатого щита (ПДЩ) состоит в обеспечении равномерного распределения паровой нагрузки по поверхности разделения жидкой и паровой фазы в парогенераторе, понижение скорости (кинетической энергии) пароводяной смеси и за счёт этого – улучшение процесса сепарации пара.

Рис.4.3. Схема розмещения погружного дырчатого щита в ПГ АЕС
1- корпус парогенератора, 2- погружной дырчатый щит,3- паровая подушка,4- греющие секции, 5- продувные линии, 6- раздаточный трубопровод питательной воды, 7 -паропровод
Опыт использования таких устройств накоплен в теплоэнергетике на органическом топливе. В барабанных котлах погружной дырчатый щит розмещают в чистом отсеке и используют, если солесодержание парогенераторной воды не превышает 300 мг/кг для котлов высокого давления (соизмеримого с давленим в ПГ АЭС). В парогенераторе АЭС дырчатый щит размещают по всей длине ПГ, т.е. и в чистом и солевом отсеке. Это не противоречит выше сказаному, поскольку даже в солевом отсеке ПГ солесодержание парогенераторной воды намного ниже указаних значений. Следует заметить также, что питательная вода подается сверху над щитом, что создает также дополнительную возможность промывки пара. Таким образом дырчатый щит выполняет также функцию промывного листа, правда с очень невысокой эффективностью, поскольку вода над щитом является смесью питательной воды и парогенераторной воды и концентрация примесей в этом «промывном» слое воды ближе к концентрации в парогенераторной воде.
|
|
|
Схема размещения ПДЩ в парогенераторе наведена на рис.4.3.
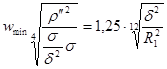
Расчет ПДЩ сводится к определению минимальной скорости в отверстиях, при которой возможно сохранение паровой подушки под щитом. Для этого существует два варианта процесса, которым соответствуют разные уравнения.
По уравнению Кутателадзе, который исходит из модели выхода паровых пузырьков в виде последовательной цепи из пузырьков:
, (4.10)
где
– диаметр пузырька, который отрывается от поверхности;, м;
- диаметр отверстий, м;
- коэффициент поверхностного натяжения, N/м;
ρ'' –плотность пара на линии насыщения, кг/м3.
(Уравнение получено в результате преобразований уравнения автора, приведенного в [15 или в ФХМПОВ Стерман, Покровский].
Исходное уравнение Кутателадзе:
.
Учтем, что отрывной диаметр паровых пузырьков при их образовании на металлической поверхности:
или
, а также
. Подставляя эти выражения в исходное и преобразовывая его, получаем:
далее
. Или
далее
и
откуда
и окончательно, учитывая, что радиус отверстия R1=0,5d1 получаем формулу(4.10)).
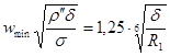
По уравнению Стермана, который исходит из модели движения пара через отверстия сплошным потоком:
|
|
|
. (4.11)
Обозначения те же, что и в уравнении (4.10).
(Уравнение получено в результате преобразований уравнения автора, приведенного в [15 или в ФХМПОВ Стерман, Покровский].
Исходное уравнение Стермана:
, учитывая, что R0=δ/2, имеем
или
).
Уравнение по Стерману дает большие значения скорости.
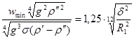
Графически сопоставление расчетов представлено на рис. 4.4.

Рис.4.4. Скорости течения пара в отверстиях ПДЩ
Последовательность расчета ПДЩ виглядит так:
-рассчитывают минимальную скорость по формулами Кутателадзе и Стермана и среднее значение этой скорости, wмінср;
-рассчитывают площадь проходных отверстий щита: fотв = Dп /(r¢¢wмінср), где Dп-производительность котла по пару;
-рассчитывают необходимое количество отверстий выбраного диаметра do: n = 4fотв /(pdo2);
-определяют долю площади сечения отверстий от общей площади щита: aотв = f отв / fщ, площадь щита возможно принимать как площадь прямоугольника шириной, которая равна длине хорды на уровне размещения щита в парогенераторе за вычетом расстояния от корпуса до закраин, а длинной – как длина парогенератора за вычетом расстояния от корпуса до закраин.
После этого конструируют щит по условиям его прочности, а также рассчитывают висоту закраин щита для надежного сохранения паровой подушки под щитом. Для этого возможно использовать уравнения, которые приводятся в учебном пособии [15]. В частности, для толщины подушки под листом при истечении пузырьков в виде последовательной цепочки:

и в виде сполошного потока:

Обозначения те же, что и в уравнении (4.11), а сопротивление отверстий ξотв выбирается по графику (рис.4.5) как функция aотв.
Высота закраины должна быть в полтора – два раза большей из рассчитаных δпод.

Рис. 4.5. Зависимость коэффициента сопротивления от доли отверстий в дырчатом листе
Кроме того при расчете ПДЩ обычно уточняют истинный уровень воды в парогенераторе. При этом исходят из того, что массовый уровень как превышение над срединой ПГ (например, средина для ВВЭР- 1000 это 2м)
hм= 0,1м, а истинный уровень, с учетом набухания вследствие прохода через слой воды пара:
, (4. 12)
где φб – истинное объемное паросодержание слоя воды над ПДЩ.
В первом приближении (см. справочник «ТЭС и АЭС» [28, стр 171]) истинное объемное паросодержание слоя воды над ПДЩ рассчитывается как
, (4.13)
где w''0 – приведенная скорость пара при выходе его из «зеркала испарения ПГ»: w''0=Dп /(Sзи∙ρ'');
р – давление пара в МПа.
Площадь зеркала испарения (м2) обычно считается по размеру дырчатого листа.
4.4. Осадительная сепарация
Сепарация пара – основной способ повышения качества пара в парогенераторе. Процессы сепарации изучались в курсе ТМПиА. Там же выполнялись расчеты процесса сепарации в курсовой работе.
Напомним, что сепарацией пара называют процесс выделения влаги из насыщенного пара. Устройства, которые их обеспечивают называются сепарационными устройствами (сепараторами). За счет качественной сепарации возможно достичь очень низких значений влажности пара (в энергетике считается достаточным, если влажность пара w £ 0,05 %, а хорошая сепарация - w £ 0,02 %). В ПГ АЕС организовать сепарацию труднее в связи с малым паровым объёмом и в них допускается w до 0,2 %.
(Примечание: Столь незначительную влажность пара измерить невозможно, поэтому ёё рассчитывают по концентрациям примесей, которые не растворимы в паре (натрий, хлор).При этом w @ Сп / Спр. В случае проведения воднохимических опытов в питательную воду умышленно добавляют примеси (например, Na2SO4).)
Механизм процессов, которые происходят в парогенераторе состоит в том, что при разделении под действием сил тяжести жидкой и паровой фаз в парогенераторе образуется зеркало испарения (уровень). Эта поверхность очень неустойчивой формы и размеров, что связано с образованием волн, бурлением жидкости и раскрытием паровых пузырьков, в том числе и с образованием пены. Кроме того эти процессы характеризуються значительной динамикой, интенсивным движением как направленного так и случайного характера. Под действием разнообразных сил (тяжести, инерции, поверхностных) на границе раздела фаз идет интенсивное роздробление жидкой фазы с образованием струй, капель. Последние отличаются очень широким спектром размеров, в том числе на микронном уровне. Это облегчает их захват потоком пара, их транспорт паровым потоком, ведь для большей части этих капель скорость пара превышает скорость “витания”, посколько для них динамические силы потока пара превышают действующие на них силы трения и тяжести. В целом в потоке пара в непосредственной близости к границе раздела фаз имеются частички (капли) жидкости, которые возможно разделить на две группы:
|
|
|
-одни двигаются под действием сил инерции, их движение напоминает движение камня, который брошено вверх. Вероятность того, что они могут возвратиться в жидкость под действием силы тяжести очень велика. Именно этот процесс возврата частиц жидкости под действием силы тяжести называется осадительной сепарацией. Он происходит в свободном паровом объеме и для его организации прежде всего необходимо обеспечить свободное пространство (объем) над уровнем жидкости. Однако в этом объеме движение капель происходит не так примитивно, как движение камня вверх. Это связано с тем, что в паровом объеме имеется достаточно причин, которые способствуют как их объединению так и их последующему измельчению;
-другие частички (капли) жидкости двигаются под действием динамических сил потока пара – это транспортная влага, её удаление более сложная задача, которая требует образования условий для сливания капель с последующим их удалением под действием сил тяжести. Это осуществляется в специальных устройствах – механических сепараторах. Следует отметить, что механические сепараторы также используют осадительную сепарацию, однако с более разнообразными действиями сил, например, центростремительных сил.
|
|
|
Особенность осадительной сепарации в парогенераторах:
- ограниченность объема (незначительная высота, h);
- неблагоприятная форма объема (площадь поперечного сечения уменьшается по высоте, что вызывает ускорение движения потока пара и соответственно увеличение вероятности превращения (дробления) частиц влаги в транспортную влагу);
- неравномерность паровыделения по зеркалу раздела фаз (выход пароводяной смеси из пучков труб осуществляется неравномерно, паросодержание в выходном сечении различных пучков труб может отличаться, влияет также переменность тепловой нагрузки по длине трубок пучка: у горячего колектора она максимальна, а у холодного колектора - минимальна);
-вероятность образования пены, которая очень зависит от наличия примесей и ихней природы.
Влажность по высоте (и в конце!) осадительной зоны рассчитывают по формуле Стермана:
ω = 6,1 109 (Fr1,38 / Ar1,1) (δ / h)0,92, (4. 14)
где ω – влажность пара в долях;
Fr = (wo˝)2 / (g h) – критерий Фруда, учитывает соотношение сил инерции, что действует на капли, и сил тяжести;
Ar = ((g δ3)/ν2) (ρ΄ - ρ΄΄)/ ρ ΄΄ - критерий Архимеда, учитывает, что капли двигаются в паровом пространстве под действием сил инерции, которую они приобрели при всплывании паровых пузырьков из толщи жидкости (Архимедовых сил).
При использовании этого уравнения определяющими параметрами выступают температура насыщения и высота свободного объема (h), а также капиллярная постоянная (диаметр парового пузырька, при котором он отрывается от поверхности, δ).
Автор этого критериального уравнения четко выделил ограничения, в пределах которых он не гарантирует надежность расчетов по (4.14). Эти ограничения таковы:
- наличие пенообразования (грубо возможно считать, что это вероятно когда солесодержание по NaCl больше чем 120 мг /кг, а для испарителей 6... 10 г /кг [15]. В ПГ АЭС такие концентрации примесей не встречаются, поэтому вероятность пенообразования по этой причине мала).
- не превышение некоторого критического значения нагрузки зеркала испарения (граничного потока массы, массовой скорости). Для расчета этой величины возможно использовать критериальное обобщение
. (4.15)
По этому уравнению находятся максимальная линейная и массовая скорости. Следует сказать, что граничную скорость возможно найти также по специальным графикам. Наряду с наведеными ограничениями автором рекомендуется использовать уравнение только в интервале высот h = 0,2... 1,0 м. Если высота свободного парового пространства превышает эту висоту, то дальнейшее уменьшение влажности невозможно и в расчетах следует брать 1 м.
4.5. Механическая сепарация
Под ней понимают удаление жидкости (капель) из пара с помощью специальных устройств: жалюзийных сепараторов, циклонов и др.. В ПГ АЭС из-за ограниченности объема используются в основном жалюзийные сепараторы.
4.5.1. Жалюзийный сепаратор
Его назначение - сепарация транспортной влаги. Схема такого сепаратора и некоторые модификации профилей листов приводятся в [1, рис. 6.7.].
Основы расчетов. В зависимости от давления скорость движения пара в щелях листа ограничивается (рис. 4.6). Это ограничение связано с условием предупреждения повторного захвата образовавшихся капель потоком пара.
В справочнике [28, стр 94]. есть также рассчетная формула для скорости пара в жалюзийном сепараторе, которая может быть представлена в виде:
, (4.16)
где коэффициент кжс = 0,35…0,45 для горизонтальных жалюзи и
1 …1,3 – для вертикальных (наклонных) жалюзи;
Остальные обозначения, что и в формуле (4.10).
Эти скорости (из рисунка либо по (4.16)) выбирают как расчетную для определения площади сечения щелей в жалюзийном сепараторе. Потом рассчитывают площадь, которую занимает весь сепаратор с учетом толщины листов ЖС. В дальнейшем разрабатывают конструкцию в зависимости от формы и размеров пространства над уровнем раздела фаз. Например, для парогенератора АЭС это может быть горизонтальный ЖС в форме прямоугольника, расположенного по всей длине цилиндрического корпуса ПГ в паровом пространстве, однако чаще в парогенераторе АЭС, где свободный объем мал, ЖС размещают в форме лестницы с углом наклона в 600.
![]() |
Рис.4.6. Предельная скорость пара на входе в жалюзийный сепаратор
Технологический расчет сводится к определению качества пара за сепаратором
Сп = Спн (1 - ηс), (4.17)
где ηс - так называемый кпд сепаратора, который определяет долю влаги, которая может быть удалена в сепараторе. Этот показатель лежит в интервале 0,70... 0,85. Большие значения относятся к более сложным за формой каналам в сепараторе.
4.5.2. Циклоны
Циклоны довольно широко распространены в теплоэнергетике и характеризуются большей эффективностью, но в отечественных горизонтальных парогенераторах АЭС они не используются. Имеются только проектные разработки по установке циклонов в парогенераторах вертикального типа.
В циклонах паровая смесь подается тангенциально по касательной к образующей цилиндрического корпуса, что приводит к вращательному движению этой смеси в циклоне. За счёт центростремительных сил более тяжелая жидкость сосредотачивается возле стенок циклона, а пар – в его центре, откуда и отводится в верхнюю часть циклона, где скорость пара уменьшается и дополнительно создаются более благоприятные условия для осадительной сепарации.
В барабанных котлах циклоны размещаются в солевых отсеках барабана, симметрично вдоль стенок барабана.
Преимущество циклонов состоит в том, что они сохраняют работоспособность как при значительных солесодержаниях, так и при значительных колебаниях паровой нагрузки.
Конструктивно циклоны могут изготавливаться как вертикальными (отечественные котлы) так и горизонтальными (заграничные котлы). Вертикальные циклоны изготавливаются из тонколистовой стали и имеют диаметр 300 мм и высоты 400, 600, 800 мм [1,2,6].
Скорости движения среды в циклоне ориентировочно такие: входная пароводяной смеси w1 = 8... 12 м/с, движение пара внутри циклона
w2 = 0,6...0,8 м/с, движение пара сквозь выходные жалюзи w3 = 2... 4 м/с.
На качество пара на выходе из циклона влияет прежде всего скорость входа в циклон, а также наличие выходных жалюзи.
Существуют также конструкции выносных циклонов, которые размещаются за пределами устройств (в теплоэнергетике – это барабаны котлов, в атомной энергетике – это корпус парогенератора), в которых идет генерация пара и первичное разделение жидкости и пара из пароводяной смеси.
Такие циклоны отличаются габаритами, а также толщиной стенок, в связи с тем, что они рассчитываются на полное давление в котле или ПГ, в то время как в встроенных в барабан циклонах перепад давления практически отсутствует. Выносные циклоны рассчитывают на более значительные паровые нагрузки. Применяемые в теплоэнергетике циклоны имеют большую высоту свободного парового объема (1,0... 1,2 м), диаметр (420 мм). Ориентировочные скорости движения среды в циклоне: вход пароводяной смеси w1 = 5... 6 м/с, движение в средине циклона w2 = 8...12 м/с, движение пара через выходные жалюзи w3 = 0,4... 0,9 м/с.
Соотношение свободной высоты и высоты, где имеется жидкая фаза соответственно: h1 = 1,0...1,2 м, h2 = 2... 2,5 м.
В практике отечественных АЭС такие циклоны применения не нашли, хотя их прототипы используются в виде промежуточного сепаратора – пароперегревателя между цилиндрами высокого и низкого давления турбины. В то же время их использование, как будет показано позже, может принципиально изменить организацию водного режима второго контура и создает предпосылки для реализации на АЭС наиболее эффективного нейтрально-окислительного режима, применяемого ныне на блоках ТЭС сверкритических параметров.
Главной технологической целью циклонов является обеспечение сепарации влаги от пара. Поэтому технологический расчет направлен прежде всего на решение этой задачи. Кроме того, расчет циклонов должен предусматривать также гидродинамические расчеты, которые обеспечивают определение сопротивления циклона в целом, а также на отдельных (паровых и парожидкостных) участках.
Здесь рассмотрено основы расчетов изложенных в [15].
В соответствии с исследованиями Кутепова в процессах сепарации в циклонах определяющие критерии подобия таковы:.
Критерий циклонности процесса
Zy = w2окр d2 (ρ΄ - ρ˝) / (ν2 ρ˝), (4.18)
где wокр – окружная скорость движения пароводяной смеси, м/с;
d - диаметр циклона, м;
ρ΄ρ˝- плотность соответственно насыщенных жидкости и пара, кг/м3;
ν – коэффициент вязкости воды, м2 /с.
Определяющей температурой для определения свойств является температура насыщения. Этот критерий подобия возможно формально свести к уже известным критериям Фруда и Архимеда.
Zy = Fr Ar, где Fr = w2окр / g d, Ar = g d 3(ρ΄ - ρ˝)/(ν2 ρ˝).
Критерий циклонности характеризует соотношение равнодействующей центростремительной силы и архимедовой силы к силе молекулярного трения.
Другой определяющий критерий - критерий давления:
,
где Р – давление, Па.
Другие переменные – свойства жидкости на линии насыщения.
Этот критерий подобия характеризует соотношение сил давления и сил поверхностного натяжения.
Согласно данным исследователей, которые изучали это явление, величина Zy позволяет выделить три области, три режима явления, которые связаны с характером течения:
- ламинарный при Zy ≤ 1,8 1014;
- переходной при 1,8 1014 ‹ Zy ‹ 2,75 1014;
- турбулентный при Zy › 2,75 1014.
Для этих режимов получены такие критериальные обобщения:
- для ламинарного режима
ω = 0,23 10-4 Zy0,87 Кр- 0,68 , (4.19)
где ω - влажность пара в долях.
- для турбулентного режима
ω = 0,525 10-13 Zy0,87 Кр- 0,27 (δ / h)0,91 . (4.20)
Здесь δ – каппилярная постоянная (диаметр пузырька в момент отрыва от поверхности); h - высота циклона.
Определяющими параметрами являются температура насыщения и диаметр циклона.
В случае переходного режима расчет ведут одновременно по уравнениям (4.19) и (4.20), а результат усредняют.
Приведенные критериальные уравнения возможно решить относительно диаметра циклона, который обеспечивает нужную влажность пара на выходе из него. Решения имеют такой вид:
Ламинарный режим
D = 4,87 10-3 (m G / (ρ˝ ν)) Kp- 0,36 ω – 0,58
. (4.21)
Турбулентный режим
D = 2,78 10-8 (m G/(ρ˝ ν)) Kp- 0,16 ω – 0,58(δ / h)0,52
, (4.22)
где G – производительность циклона по пару, кг/с;
m = F / f = 4... 10 - соотношение площади сечения циклона к площади сечения трубы (канала), который подводит пароводяную смесь в циклон.
Приведенные уравнения могут буть решены также относительно производительности циклона, если его диаметр известен.
Вопросы для самоконтроля:
1. Какие функции выполняет ПДЩ?
2. Какая функция паровой подушки под ПДЩ?
3. Как рассчитывается ПДЩ?
4. Опишите процессы, протекающие при осадительной сепарации.
5. Наведите выражение главной закономерности, которая описывает осадительную сепарацию.
6. Механическая сепарация.
7. Разновидности механических сепараторов.
8. Расчет механических сепараторов.
9. Наведите схему и поясните принцип работы циклона.
10. Запишите выражения и дайте физическое толкование определяющим критериям подобия процессов в циклонах.
11.Как возможно рассчитать влажность пара за циклоном.
