Так как сепарирование происходит в потоке и расчет ведется по сырью, то масса нормализованного молока и сливок находятся из систем уравнений 1

(1)
где Мн.м. – масса нормализованного молока, кг;
Мц.м. – масса цельного молока, кг;
Жсл – жирность сливок, %;
Жц.м. – жирность цельного молока, %;
Жн.м – жирность нормализованного молока, %;
п ж – потери жира при сепарировании, %;
Жирность нормализованной смеси с учетом наполнителей находится по формуле 3:
(2)
где Жг.п. – жирность готового продукта;
З – количество закваски, %;
Жз – жирность закваски, %;
НАП – количество наполнителя, %;
Жн.см. – жирность нормализованной смеси, %.
Проверка по жиробалансу проводится по формуле 4:
(3)
где П – масса потерь сырья, кг.
Коэффициента потерь находится по формуле 6:
(4)
Продуктовый расчет айрана 0,5%
Всего за сутки на предприятие поступает 8 т молока. Примем, что на выработку айрана с м.д.ж. = 0,5%, идет 4000 кг молока. Нормализация сырья происходит в потоке. Используется DVS – закваска.
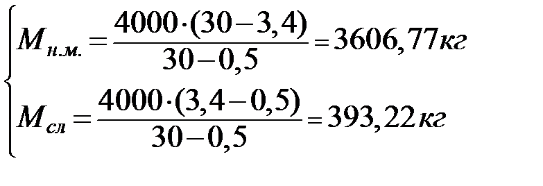
Жн.см < Жц.м. Нормализацию проводят путем отделения части сливок, следовательно для нахождения массы нормализованного молока и сливок будет использована система уравнений (2.1):
|
|
|

где х=3606,77, масса нормализованного молока, кг;
у=393,22, масса сливок, кг.
Найдем массу нормализованного молока с учетом коэффициента потерь.

Масса потерь сырья:

Проверка по жиробалансу:

13600 кг = 13600 кг
Расчеты остальных продуктов ведутся по аналогичной методике.
Таблица 2.1 – Сводная таблица рецептур (кг/т)
| Наименование сырья | Наименование продукта | ||||
| «Нуйран» 1,5% | Айран 0,5% | Кумысный продукт 1% | Ацидофилин 2% | Сливки питьевые пастеризованные 30% | |
| Молоко цельное 3,4% | |||||
| Закваска бактериальная DVS | 0,2 | 0,1 | 0,1 | 0,1 | - |
| Обезжиренное молоко 0,05% | 406,8 | 639,9 | 574,9 | 294,9 | - |
| Сироп малиново-мятный | - | - | - | - | |
| Нутовая мука | - | - | - | - | |
| Норма расхода нормализованной смеси | 1012,8 | 1012,8 | 1012,8 | 1012,8 | 1009,6 |
| Норма потерь, % | 1,3 | 1,3 | 1,3 | 1,3 | 1,3 |
Таблица 2.2 – Сводная таблица затрат сырья и основных материалов (на 1 и 2 сутки)
| Наименование сырья, кг | Наименование продукта | ||||
| «Нуйран» 1,5% | Айран 0,5% | Кумысный продукт 1% | Ацидофилин 2% | ВСЕГО | |
| Молоко цельное 3,4% | |||||
| Закваска бактериальная DVS | 0,2 | 0,1 | 0,1 | 0,1 | 0,5 |
| Обезжиренное молоко 0,05% | 1627,2 | 2559,6 | 2299,6 | 1179,6 | |
| Сироп малиново-мятный | 299,6 | - | - | - | 299,6 |
| Нутовая мука | - | - | - | ||
| Сливки 30% | 234,96 | 393,22 | 331,04 | 1159,2 | |
| Норма расхода нормализованной смеси | 1012,8 | 1012,8 | 1012,8 | 1012,8 | - |






