Основы корреляционного анализа. Примеры анализа прямолинейной связи при парной корреляции

Исследование объективно существующих связей между явлениями - важнейшая задача статистики. В процессе статистического исследования зависимостей выявляются причинно-следственные отношения между явлениями. Причинно-следственные отношения - это такая связь явлений и процессов, когда изменение одного из них - причины ведет к изменению другого - следствия.

Признаки явлений и процессов по их значению для изучения взаимосвязи делятся на два класса. Признаки, обуславливающие изменения других, связанных с ними признаков, называют факторными, или просто факторами. Признаки, изменяющиеся под действием факторных признаков, называют результативными.

В статистике различают функциональные и стохастические (вероятностные) связи явлений и процессов:

  • Функциональной называют такую связь, при которой определенному значению факторного признака соответствует одно значение результативного.
  • Если причинная зависимость проявляется не в каждом отдельном случае, а в общем, среднем при большом числе наблюдений, то такая зависимость называется стохастической (вероятностной). Частным случаем стохастической связи является корреляционная связь.

Кроме того, связи между явлениями и их признаками классифицируются по степени тесноты, направлению и аналитическому выражению.

По направлению выделяют связь прямую и обратную:

  • Прямая связь - это такая связь, при которой с увеличением (уменьшением) значений факторного признака происходит увеличение (уменьшение) значений результативного. Так, например, рост производительности труда способствует увеличению уровня рентабельности производства.
  • В случае обратной связи значения результативного признака изменяются под воздействием факторного, но в противоположном направлении по сравнению с изменением факторного признака. Так с увеличением уровня фондоотдачи снижается себестоимость единицы производимой продукции.

По аналитическому выражению выделяют связи прямолинейные (или просто линейные) и нелинейные:

  • Если статистическая связь между явлениями может быть приблизительно выражена уравнением прямой линии, то ее называют линейной связью вида: у=а+bх.
  • Если же связь может быть выражена уравнением какой-либо кривой линии (параболы, гиперболы и др.), то такую связь называют нелинейной (криволинейной) связью.

Теснота связи показывает меру влияния факторного признака на общую вариацию результативного признака. Классификация связи по степени тесноты представлена в таблице 1.

Таблица 1 - Количественные критерии оценки тесноты связи
Величина коэффициента корреляции Характер связи
До ±3 Практически отсутствует
От ±3 до ±0,5 Слабая
От ±0,5 до ±0,7 Умеренная
От ±0,7 до ±1,0 Сильная

Для выявления наличия связи, ее характера и направления в статистике используются следующие методы: приведения параллельных данных, аналитических группировок, графический, корреляции. Основным методом изучения статистической взаимосвязи является статистическое моделирование связи на основе корреляционного и регрессионного анализа.

Корреляция - это статистическая зависимость между случайными величинами, не имеющая строго функционального характера, при которой изменение одной из случайных величин приводит к изменению математического ожидания другой. В статистике принято различать следующие виды корреляции:

  • парная корреляция - связь между двумя признаками (результативным и факторным, или двумя факторными);
  • частная корреляция - зависимость между результативным и одним факторным признаками при фиксированном значении других факторных признаков;
  • множественная корреляция - зависимость результативного и двух или более факторных признаков, включенных в исследование.

Задачей корреляционного анализа является количественное определение тесноты связи между двумя признаками (при парной связи) и между результативным и множеством факторных признаков (при многофакторной связи).

Теснота связи количественно выражается величиной коэффициентов корреляции, которые давая количественную характеристику тесноты связи между признаками, позволяют определять «полезность» факторных признаков при построении уравнения множественной регрессии.

Корреляция взаимосвязана с регрессией, поскольку первая оценивает силу (тесноту) статистической связи, вторая исследует ее форму.

Регрессионный анализ заключается в определении аналитического выражения связи в виде уравнения регрессии.

Регрессией называется зависимость среднего значения случайной величины результативного признака от величины факторного, а уравнением регрессии – уравнение описывающее корреляционную зависимость между результативным признаком и одним или несколькими факторными.

Формулы корреляционно-регрессионного анализа для прямолинейной связи при парной корреляции представлены в таблице 2.

Таблица 2 - Формулы корреляционно-регрессионного анализа для прямолинейной связи при парной корреляции
Показатель Обозначение и формула
Уравнение прямой при парной корреляции yx = a +bx, где b - коэффициент регрессии
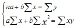
Система нормальных уравнений способом наименьших квадратов для определения коэффициентов a и b
Линейный коэффициент корреляции для определения тесноты связи, его интерпретация: r = 0 – связь отсутствует; 0<r<1 – связь прямая (с увеличением х увеличивается у); -1<r<0 – связь обратная (с увеличением х уменьшается у); r = 1 – связь функциональная
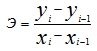
Эластичность абсолютная
Эластичность относительная




Подборка статей по вашей теме: