| Показатели | Текущее значение | Значение после изменения цены |
| Цена за единицу, руб. | 10,00 | 9,00 |
| Изменение цены, % | - 10 | |
| Абсолютная предельная прибыль на единицу продукции, руб. | 5,00 | 4,00 |
| Относительная предельная прибыль на единицу продукции, % | 50,0 | 44,4 |
| Безубыточное изменение объема продаж, % | ||
| Безубыточное изменение объема продаж, ед. | ||
| Объем продаж, ед. | 5 000 | |
| Совокупная предельная прибыль, руб. | 25 000 | 25 000 |
Путем анализа данного примера сформулируем общий алгоритм. Оценка финансовых последствий ценовых решений должна включать следующие шаги:
1. Выбор базы сравнения, т.е. с чем сравнивать ситуацию после изменения цены. Наиболее логичным является выбор в качестве такой базы текущего размера прибыли от продаж данного товара при текущей цене, что и было сделано в рассмотренном примере. Действительно, если ситуация хотя бы не ухудшится или улучшится по сравнению с текущей, то изменение цены рационально. В некоторых случаях, однако, в качестве базы предпочитают использовать плановый или целевой размер прибыли, т.е. компания не желает рисковать и трогать текущий уровень цены, если расчетная прибыль после изменения цены будет меньше определенного уровня[17].
|
|
|
2. Определение эффекта цены, т.е. изменения размера прибыли в результате изменения только цены. Это изменение рассчитывается как разница между прежней и новой предельной прибылью в расчете на единицу продукции исходя из прежнего физического объема продаж. Очевидно, снижение цены генерирует отрицательный, а повышение – положительный эффект цены.
3. Определение безубыточного изменения продаж, т.е. изменения физического объема продаж, необходимого для сохранения прежнего размера предельной прибыли. Если планируется снижение цены, то ожидаемое увеличение объемов продаж свыше безубыточного уровня будет означать увеличение размера прибыли по сравнению с текущим. В ситуации, когда планируется рост цены, безубыточный уровень изменения продаж определяет точку, до которой ожидаемые продажи могут снижаться, чтобы увеличение цены не привело к снижению прибыли по сравнению с текущим уровнем.
4. Оценка возможности реализации условий безубыточного изменения продаж. Теперь уже отдел маркетинга должен определить, возможно ли обеспечить такой прирост физического объема продаж по новой цене. Вот здесь то и необходима информация об эластичности спроса по цене.
Для удобства можно воспользоваться формулой расчета безубыточного изменения физического объема продаж. Эту формулу несложно получить, отталкиваясь от сути этого понятия: изменение физического объема безубыточно при равенстве прежней и новой совокупной[18] предельной прибыли компании:
|
|
|
(Р0 – АVC)´Q0 = (Р1 – АVC)´Q1,
где Р1 и Р0 – соответственно новый и старый уровни цены; АVC – средние переменные затраты; Q1 и Q0 – новый и старый уровни физического объема продаж. Помня, что выражения в скобках – это предельная прибыль на единицу продукции при старой и новой цене, и произведя несложные алгебраические действия, приходим к формуле расчета размера безубыточного изменения продаж:
, (5.4)
где BSCp – безубыточное изменение продаж в результате изменения цены, %; D Р – изменение цены; МП 0 – текущая предельная прибыль на единицу продукции.
Поскольку переменные затраты на единицу продукции не меняются, то выражение в числителе представляет собой одновременно и изменение предельной прибыли на единицу продукции. Выражение в знаменателе – это новая предельная прибыль на единицу продукции после изменения цены. Следовательно, размер безубыточного изменения продаж определяется взятым с обратным знаком отношением абсолютного изменения предельной прибыли к абсолютной предельной прибыли на единицу продукции после изменения цены.
. (5.5)
Тем не менее в этом уравнении величина изменения цены и предельная прибыль могут быть выражены а абсолютных величинах, процентах или десятичных дробях. Главное, чтобы использовался один способ выражения и для изменения цены, и для предельной прибыли. В любом случае расчет покажет, на сколько процентов должен увеличиться физический объем продаж для сохранения текущей совокупной предельной прибыли при изменении цены. Знак минуса в числителе при этом отражает противоположность изменения цены и соответствующего изменения объема продаж.
Если рассчитан размер безубыточного изменения продаж в процентах, то легко определить и его абсолютную величину. Для этого следует воспользоваться формулой:
, (5.6)
где BSCa (BSCp) – абсолютное (относительное) безубыточное изменение продаж; Q0 – текущий физический объем продаж.
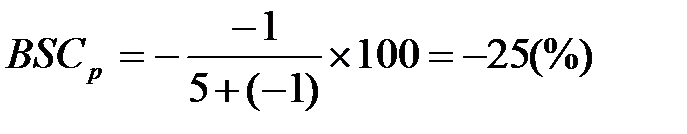
Пример. Рассчитаем размер относительного и абсолютного безубыточного изменения продаж для компании «Альбатрос»:
.
(ед.).
Мы получили тот же результат, что и ранее, но гораздо быстрее.
Чаще всего в качестве базового уровня продаж, по отношению к которому определяется безубыточное изменение продаж, принимается текущий уровень продаж, как это и было в нашем примере. Однако это совсем не обязательно. Нередко продажи растут или снижаются и без изменения уровня цены. Например, если емкость рынка данного продукта сокращается из-за появления новых продуктов, объем продаж в натуральных единицах будет падать при неизменном уровне цены. Напротив, в случае растущего рынка продажи вырастут при сохранении цены на прежнем уровне. В таких случаях базовым следует считать не текущий уровень продаж, а уровень, который имел бы место при неизменной цене.
Пример. Если ожидается, что при неизменной цене продажи компании Альбатрос в будущем составят уже не 5 000 единиц, а только 4 300 единиц, то абсолютное безубыточное изменение продаж составит:
(ед.).
Таким образом, чтобы снижение цены оправдало себя, в этом случае достаточно меньшего роста объема продаж, чем в ранее рассмотренной ситуации.






