§ 1. Предельная прибыль: понятие и значение при принятии ценовых решений
В процессе ценообразования решения компании, ориентированные на внутренние финансовые цели, нередко приходят в противоречие с внешними рыночными условиями. Это наглядно отражено в рассмотренных нами выше двух подходах к ценообразованию. Подход затратного ценообразования отражает ход мыслей бухгалтерских служб и финансовых менеджеров: цена должна быть настолько высокой, чтобы покрывать затраты и обеспечивать получение планируемой прибыли. Подход ценообразования на основе ценности соответствует в большей степени специалистам по маркетингу и продажам, считающим, что эффективное ценообразование должно целиком определяться потребителем, игнорируя затраты до тех пор, пока продажи остаются рентабельными. Эти специалисты обычно анализируют поведение потребителей, чтобы определить, насколько низкой должна быть цена на продукт для достижения нужного объема продаж. При принятии ценовых решений финансисты и маркетологи вынуждены двигаться навстречу друг другу. В результате цена чаще всего есть результат определенного компромисса между ними.
|
|
|
Эффективное решение об установлении цены, однако, должно обеспечивать оптимальное сочетание, а не компромисс внутренних финансовых и внешних рыночных условий[14]. Это означает, что цена должна быть результатом реализации определенной стратегии, учитывающей как затраты, так и ценность товара для покупателя.
Различие между компромиссным решением и решением, оптимальным с позиций реализации стратегии компании, можно продемонстрировать следующим образом. Предположим, маркетологи настаивают на цене, обеспечивающей сохранение предприятием доли рынка и отображенной точкой А на оси цен (рис. 5.1). Финансисты, в свою очередь, считают, что для обеспечения нормальной рентабельности цену необходимо поднять до уровня В. После длительных совещаний с теми и другими руководство компании приходит к компромиссной цене, уровень которой будет ближе к тому концу отрезка АВ, чьи способности убеждать окажутся лучше. Если более убедительны маркетологи, то компромиссная цена окажется в точке С, если финансисты – в точке D, если способности убеждать примерно равны, то ценовое решение окажется где-то посредине отрезка АВ, т.е. в точке Е. При этом цена, соответствующая определенной стратегии и позволяющая эту стратегию реализовать, может находиться и вовсе за пределами интервала АВ, например в точке F.

Рис. 5.1. Компромиссное ценовое решение в сравнении с оптимальным
В данной главе мы рассмотрим простейший алгоритм количественной оценки финансовых последствий ценовых решений, позволяющий находить не компромиссное, а оптимальное решение. Большое значение при этом играет предельная прибыль[15].
|
|
|
По аналогии с используемыми нами ранее другими предельными категориями предельная прибыль представляет собой изменение общей прибыли от продаж товара при производстве и реализации дополнительного количества этого товара:
.
Предельная прибыль, таким образом, отличается от показателя прибыли от продаж, который используется в финансовой отчетности, но влияет на него самым непосредственным образом. Предельная прибыль добавляется к прибыли от продаж при реализации дополнительной продукции, т.е. это добавочная прибыль, возникающая в результате дополнительных продаж.
Для ценообразования особый интерес представляет предельная прибыль в расчете на единицу продукции. Это часть цены, которая добавляется к прибыли фирмы при реализации единицы продукции. Поскольку часть затрат в коротком периоде являются постоянными или безвозвратными, то предельная прибыль на единицу продукции чаще всего не совпадает со средней прибылью, получающейся вычитанием из цены всех бухгалтерских затрат на единицу продукции. Среднюю прибыль можно использовать, например, для сравнения деятельности разных компаний в отрасли. Однако при принятии ценовых решений следует ориентироваться не на среднюю, а на предельную прибыль.
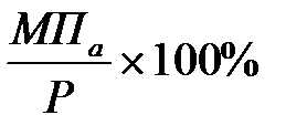
Абсолютную величину предельной прибыли на единицу продукции в коротком периоде можно рассчитать следующим образом:
МПа = P – AVC, (5.1)
где AVC – это переменные затраты на единицу той продукции, которой касается изменение цен (предотвратимые затраты).
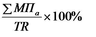
Помимо абсолютной предельной прибыли используется показатель относительной предельной прибыли (удельного веса предельной прибыли в цене товара):
МПр =
. (5.2)
Если переменные затраты одинаковы для всех единиц продукции, на которые распространяется изменение цены, то удельный вес предельной прибыли в цене товара будет совпадать с удельным весом предельной прибыли в общей выручке от продаж. В этом случае относительную предельную прибыль можно рассчитать следующим образом:
МПр =
. (5.3)
Относительная предельная прибыль, таким образом, отражает соотношение между продажами данного продукта фирмой и ее прибылью. При этом становится очевидным, что финансовые последствия изменения цен будут во многом зависеть от структуры затрат на производство единицы продукции.
Пример. Компания продает товар А и товар Б, характеризующиеся одинаковым показателем рентабельности продаж 10%. При этом в цене товара А переменные затраты составляют 75%, а постоянные – 15%, в то время как в цене товара Б переменные и постоянные затраты составляют 20% и 70% соответственно. Несмотря на одинаковую рентабельность продаж при текущих ценах последствия от изменения цен и объемов продаж для этих изделий будут сильно отличаться. Для изделия А из каждого дополнительного рубля продаж 75 копеек пойдет на покрытие переменных затрат, обусловленных увеличением объема реализации. Поскольку величина постоянных затрат по определению не меняется, то оставшиеся 25 копеек полностью пойдут на увеличение прибыли от продаж. Это есть величина предельной прибыли в каждом дополнительном рубле продаж, т.е. удельный вес предельной прибыли составляет 25%. В то же время каждый дополнительный рубль от продаж товара Б принесет 80 копеек дополнительной прибыли от продаж или предельной прибыли, поскольку для покрытия соответствующих переменных затрат требуется только 20 копеек.
Таким образом, чем меньше доля переменных затрат в цене товара, тем выше удельный вес предельной прибыли и тем сильнее будет изменяться прибыль от продаж такого товара в результате изменения цены.
|
|
|
§ 2. Анализ условий безубыточности изменения цены: базовый случай
Уровень цены обычно изменяют с целью получения какой-то выгоды. Чаще всего это рост прибыли в коротком или длительном периоде. Действительно, иногда компания может сознательно пойти на снижение текущих прибылей для укрепления своих позиций и увеличения прибыли в будущем. Подробнее об этом будет говориться в последующих главах. В любом случае компании желательно иметь представление о том, к каким финансовым последствиям в ближайшее время приведет изменение цены, т.е. как изменится при этом прибыль от продаж компании или ее предельная прибыль[16].
Изложенный в предыдущих главах материал позволяет предположить, что вследствие действия закона спроса рост цены при неизменных прочих условиях приведет к падению физического объема продаж, а снижение цены – к росту продаж. Будет ли при этом увеличиваться или уменьшаться прибыль компании и насколько это зависит от рассмотренного выше показателя ценовой эластичности спроса на данный товар?
Таким образом, общий эффект от изменения цены (изменение предельной прибыли в результате изменения цены) распадается на два эффекта: эффект цены и эффект объема. Эффект цены показывает, как изменится прибыль при будущем уровне цены и текущем уровне физического объема продаж. Эффект объема показывает изменение прибыли при будущем уровне цены, обусловленное изменением физического объема продаж. Рассмотрим эти эффекты в ситуации, когда компания анализирует целесообразность снижения цены.
Пример. Компания «Альбатрос» продает 5000 штук своего изделия по цене 10 рублей за единицу. Постоянные затраты компании равны 14 000 рублей, а переменные – 5,00 рублей на единицу продукции. Компания рассматривает целесообразность 10%-го снижения цены изделия.
Текущая выручка компании составляет 50 000 рублей (суммарная площадь прямоугольников А и В на рис. 1). Из выручки компания оплачивает переменные затраты в размере 5,00 рублей на изделие или 25 000 рублей на весь объем выпуска (площадь В). Следовательно, текущий размер предельной прибыли компании составляет 25 000 рублей (площадь А). Компания «Альбатрос» этим снижением цены не преследует никаких иных целей, кроме роста прибыли. Следовательно, снижение цены будет оправданным, если после него предельный доход компании будет выше 25 000 руб.
|
|
|

Рис. 1. Анализ финансовых последствий изменения цены
Новая цена составит 9,0 рублей за единицу. Ценовой эффект в результате снижения цены (площадь С на рис. 5.2) равен
(9,00 - 10,00)´5 000 = - 5 000 (руб.).
Следовательно, при сохранении текущего физического объема продаж компания потеряет 5 000 руб. в результате снижения цены. Однако компания надеется, что снижение цены приведет к росту физического объема продаж и прирост предельной прибыли в результате роста объема продаж будет выше потери предельной прибыли от снижения цены, т.е. положительный эффект объема (площадь Е) перекроет отрицательный эффект цены. Таким образом, эффект объема должен быть не меньше, чем 5 000 рублей. При цене 9,00 рублей за изделие компания получит предельную прибыль на одно изделие в размере 4 рубля (9,00 руб. за минусом 5,00 руб. переменных затрат). Поэтому объем продаж компании после снижения цены должен возрасти как минимум на 1250 штук (5 000 / 4 = 1250).
Представим в табл. 1 результаты анализа условий безубыточного изменения объема продаж при 10%-м снижении цены на продукт.
Таблица 1.