Выборочное наблюдение – вид несплошного наблюдения, при котором из общей (генеральной совокупности) отбирается посредством метода случайного отбора некоторая часть, называемая выборочной совокупностью; обобщающие показатели, характеризующие эту часть совокупности, распространяются на всю совокупность.
Совокупность отобранных для обследования единиц называют выборочной, а совокупность единиц, из которых производится отбор – генеральной.
По виду различают индивидуальный, групповой и комбинированный отбор.
При индивидуальном отборе в выборочную совокупность отбираются отдельные единицы генеральной совокупности, при групповом – группы единиц, при комбинированном отборе производится сочетание группового и индивидуального отбора.
Метод отбора определяет возможность продолжения участия отобранной единицы в процедуре отбора.
Бесповторным называется отбор, при котором попавшая в выборку единица не возвращается в генеральную совокупность. При повторном отборе попавшая в выборку единица после регистрации наблюдаемых признаков возвращается в исходную совокупность и может снова участвовать в процедуре отбора.
|
|
|
Способ отбора определяет конкретный механизм выборки единиц из генеральной совокупности. Существуют следующие способы отбора.
Собственно-случайная выборка заключается в отборе единиц генеральной совокупности наугад без каких-либо элементов системности.
Механическая выборка применяется в случаях, когда генеральная совокупность каким-либо образом упорядочена, то есть имеется определенная последовательность в расположении единиц (например, телефонные номера респондентов).
Типический отбор используется, когда все единицы генеральной совокупности можно разбить на несколько типических групп (например, социальные или возрастные группы). Затем производится отбор из каждой типической группы собственно-случайным или механическим способом
Серийный отбор удобен в тех случаях, когда единицы совокупности объединены в небольшие группы или серии, равные по объему. В этом случае в отборе участвуют эти группы или серии. Внутри групп обследуются все без исключения единицы.
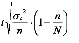
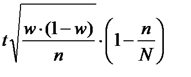
В каждом конкретном случае рассчитываются средняя и предельная ошибки выборки, которые позволяют распространить результаты выборочного обследования на генеральную совокупность. В зависимости от способа отбора используются различные формулы для расчета ошибок, представленные в таблице 1.
Таблица 1
Предельная ошибка выборки для различных способов отбора
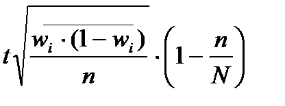
| Вид выборки | Повторный | Бесповторный | ||
| Для средней | Для доли | Для средней | Для доли | |
| Собственно случайная и механичес-кая |
|
|
|
|
| Типическая |
|
|
|
|
| Серийная |
|
|
|
|
Условные обозначения:
|
|
|
– дисперсия количественно варьирующего признака выборочной совокупности;
– численность выборки;
– численность единиц генеральной совокупности;
– дисперсия альтернативного признака;
– межсерийная дисперсия;
– число отобранных серий;
– число серий в генеральной совокупности.
Комбинированный отбор предполагает сочетание всех перечисленных способов отбора. Ошибка выборки в этом случае рассчитывается отдельно на каждом этапе.
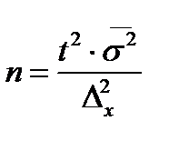
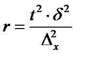
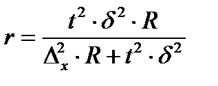
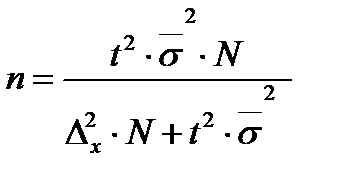
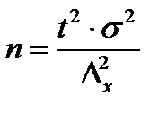
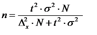
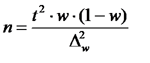
Для определения необходимой численности выборки задается уровень точности выборочной совокупности с определенной вероятностью. Формула для расчета необходимой численности выборки выводится из формулы предельной ошибки. Поэтому расчет необходимой численности выборки будет осуществляться исходя из способа отбора.
Однако каждая из формул численности показывает, что с увеличением предполагаемой ошибки выборки значительно уменьшается ее необходимый объем. Кроме того, для определения численности выборки необходимо также задать уровень колеблемости, выражаемый дисперсией или средним квадратическим отклонением. Формулы для расчета необходимой численности выборки представлены в таблице 2.
Эти методы расчета численности используются в случаях, когда речь идет о количественных признаках.
Способ выражения качественных признаков не позволяет рассчитать по ним средние значения, дисперсию и среднее квадратическое отклонение, поэтому оценка колеблемости производится исходя из долей единиц, обладающих значениями этих признаков, то есть выборочных долей.
Если расчет проводится по качественному альтернативному признаку и его доля в генеральной совокупности не известна, то рекомендуется принять ее равной 0,5. Именно при этом значении дисперсия доли достигает своего максимума 0,25.
Заключительный этап - распространение результатов выборочного обследования на генеральную совокупность. Вывод о возможности распространения зависит от полноты выборки.
Под полнотой понимается наличие или представленность всех типов и групп данной генеральной совокупности в основе выборки.
Таблица 2
Необходимый объем выборки для некоторых способов формирования выборочной совокупности
| Виды выборочного наблюдения | Повторный отбор | Бесповторный отбор |
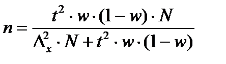
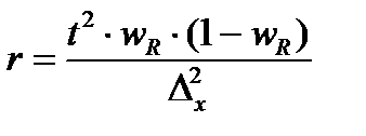
| Собственно-случайная выборка | ||
| При определе-нии среднего размера признака |
|
|
| При определении доли признака |
|
|
| Механическая выборка |
|
|
Продолжение таблицы 2
| Типическая выборка | ||
| При определении среднего размера признака |
|
|
| При определении доли признака |
|
|
| Серийная выборка | ||
| При определении среднего раз-мера признака |
|
|
| При определении доли признака |
|
|
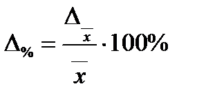
Более точной основой суждения о распространении результатов является расчет относительной ошибки:
– для средней
, (98)
– для доли
. (99)
Если величина относительной ошибки не превышает заранее установленного для данного обследования предельного значения, то данные выборочного наблюдения являются представительными и могут быть распространены на генеральную совокупность.
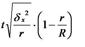
Под малой выборкой понимается такое выборочное наблюдение, численность единиц которого не превышает 30.
При оценке результатов малой выборки величина генеральной дисперсии в расчетах не используется. Вероятная оценка зависит не только от возможных пределов ошибки, но и от объема выборки. Величина коэффициента доверия
при различных объемах малой выборки представлена в таблице 3.
Таблица 3
Распределение вероятности в малых выборках в зависимости от коэффициента доверия
и объема выборки 
| |||||||||
| 0,5 | 0,348 | 0,356 | 0,362 | 0,366 | 0,368 | 0,370 | 0,372 | 0,376 | 0,378 |
| 1,0 | 0,608 | 0,626 | 0,636 | 0,644 | 0,650 | 0,654 | 0,656 | 0,666 | 0,670 |
| 1,5 | 0,770 | 0,792 | 0,806 | 0,816 | 0,832 | 0,828 | 0,832 | 0,846 | 0,850 |
| 2,0 | 0,860 | 0,884 | 0,908 | 0,908 | 0,914 | 0,920 | 0,924 | 0,936 | 0,940 |
| 2,5 | 0,933 | 0,946 | 0,955 | 0,959 | 0,963 | 0,966 | 0,968 | 0,975 | 0,978 |
| 3,0 | 0,942 | 0,960 | 0,970 | 0,976 | 0,980 | 0,938 | 0,984 | 0,992 | 0,992 |
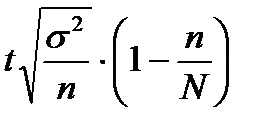
Независимо от вида выборки на заключительном этапе определяются доверительные интервалы, в которых может находиться генеральная средняя (для количественных признаков) или генеральная доля (для качественных признаков).
|
|
|
Доверительные интервалы – область тех значений генеральной средней, выход за пределы которой имеет весьма малую вероятность.
Доверительные интервалы определяются по формулам:
– для средней:
; (100)
– для доли:
; (101)
– для малой выборки:
. (102)






