Пусть
и φ = arg z. Тогда по определению аргумента и по формулам решения прямоугольного треугольника имеем:

Отсюда получается 
Такая форма называется тригонометрической формой записи комплексного числа. Как видно, для того, чтобы перейти от алгебраической формы записи комплексного числа к тригонометрической форме, нужно найти его модуль и один из аргументов.
Пример
Записать число
в тригонометрической форме.
Решение:
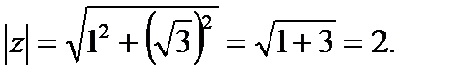
Найдём модуль этого числа: 
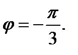
Аргумент данного числа находится из системы:

Значит, один из аргументов числа
равен 
Получаем:
.