Действия над комплексными числами определяются таким образом, чтобы для частного случая действительных чисел эти операции совпадали с известными операциями над ними.
Пусть даны два комплексных числа в алгебраической форме:

1. Суммой двух комплексных чисел z1 и z2 называется комплексное число

Т.е. чтобы сложить два комплексных числа, нужно сложить их действительные и мнимые части.
В частности сумма двух взаимно сопряженных комплексных чисел есть число действительное: 
Пример. Найти сумму комплексных чисел

Решение:

Операция сложения легко распространяется на сумму любого конечного числа комплексных чисел.
2. Вычитание двух комплексных чисел определяется как действие, обратное сложению. Разностью двух комплексных чисел z1 и z2 называется комплексное число 
В частности разность двух взаимно сопряженных комплексных чисел есть число чисто мнимое: 
Пример. Найти разность комплексных чисел

Решение:

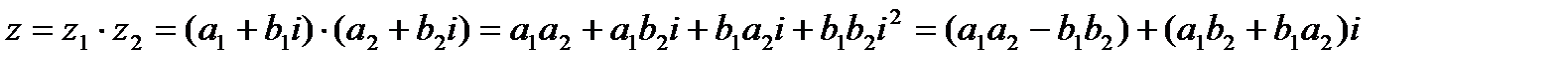
3. Произведением двух комплексных чисел z1 и z2 называется комплексное число 
Умножение двух комплексных чисел подчиняется правилу умножения многочленов с учетом, что
Действительно, 
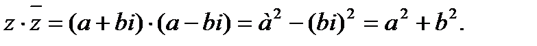
В частности произведение двух взаимно сопряженных чисел есть число действительное и равно сумме квадратов действительной части и коэффициента мнимой части комплексного числа:

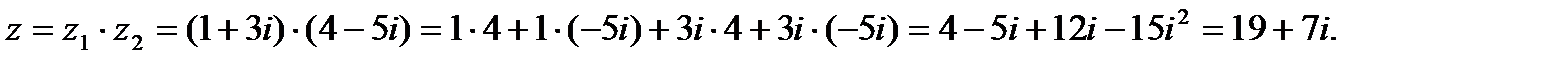
Пример. Найти произведение комплексных чисел

Решение:

ИЛИ 
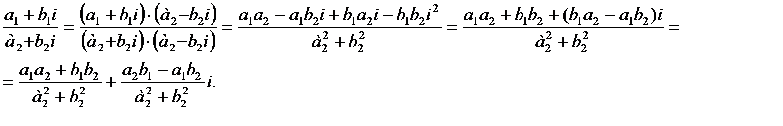
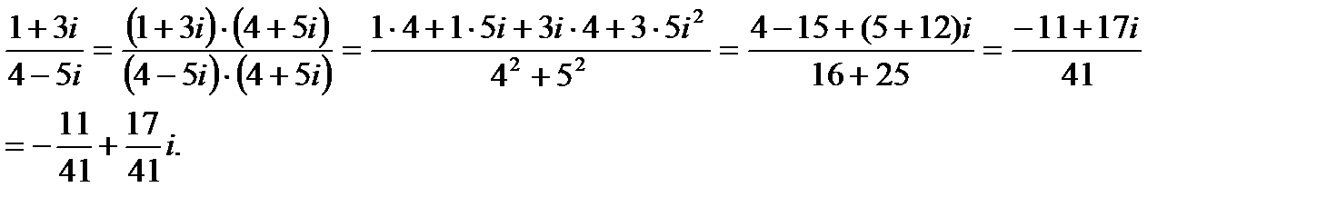
4. Деление комплексных чисел определяется как операция обратная умножению. Частным двух комплексных чисел называется число 
Тот же результат можно получить, умножив числитель и знаменатель дроби
на число, сопряженное знаменателю:

Пример. Найти частное комплексных чисел

Решение:

Действия над комплексными числами удовлетворяют основным законам сложения и умножения (коммутативность, ассоциативность, дистрибутивность). Однако, между комплексными числами не существует отношения порядка, т.е. понятий «больше» или «меньше».
5. Возведение комплексного числа
в степень n
рассматривается как частный случай умножения комплексных чисел:

| n раз |
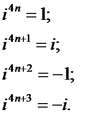
Найдем натуральные степени мнимой единицы i:
| и вообще | |