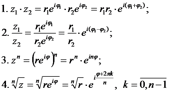
Действия над комплексными числами в показательной форме выполняются по правилам действий со степенями:

Решение уравнений с помощью комплексных чисел .
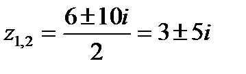
1. Решить квадратное уравнение
.
Решение.
Вычислим дискриминант: 
Дискриминант отрицателен, и в действительных числах уравнение решения не имеет. Но корень можно извлечь в комплексных числах:

По известным школьным формулам получаем два корня:
– сопряженные комплексные корни.
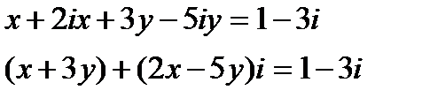
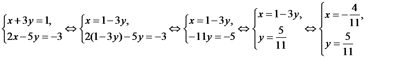
2. Найти действительные x и y из уравнения: 
Решение.
В левой части уравнения раскроем скобки и сгруппируем действительные и мнимые слагаемые:

Воспользуемся условием равенства комплексных чисел:
