Комплексные числа изображаются на комплексной плоскости:
| Комплексная плоскость состоит из двух осей: Rez – действительная ось Im z– мнимая ось По осям нужно задать размерность: ноль; единицу по действительной оси; мнимую единицу i по мнимой оси. Такая плоскость называется комплексной (или плоскостью Аргана). Всякое комплексное число изображается на такой плоскости точкой с координатами (a;b). При этом действительные числа изображаются на действительной оси, а чисто мнимые на мнимой оси. |
Каждой точке плоскости с координатами (a;b) соответствует один и только один вектор с началом в точке О(0;0) и концом в точке М(a;b), который называется радиус-вектором. Поэтому комплексное число
можно изобразить в виде вектора
с началом в точке z=0 и концом в точке 
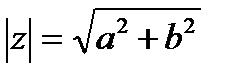
| Определение.Модулем комплексного числаz называется расстояние от начала координат до соответствующей точки комплексной плоскости, т.е. модуль – это длина радиус-вектора, который на чертеже обозначен красным цветом. Модуль комплексного числа z обозначается или r. По теореме Пифагора легко вывести формулу для нахождения модуля комплексного числа: . |
Из геометрической интерпретации комплексного числа вытекают следующие свойства:
|
|
|
1. Длина вектора
равна 
2. Точки
и
симметричны относительно действительной оси;
3. Точки z и –z симметричны относительно точки z=0;
4. Число z1+z2 геометрически изображается как вектор, построенный по правилу сложения векторов, соответствующих точкам z1 и z2;
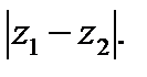
5. Расстояние между точками z1 и z2 равно 
| | | |
Определение. Аргументом комплексного числа z называется угол φ между положительной полуосью действительной оси Re z и радиус-вектором, проведенным из начала координат к соответствующей точке.
Если отсчет ведется против движения часовой стрелки, то величина угла считается положительной, а если по движению часовой стрелки – отрицательной. Аргумент не определён для единственного числа: z=0.
Обозначается аргумент комплексного числа так: φ=arg z или φ=arg(a+bi)/
Аргумент комплексного числа определяется не однозначно; любое комплексное число z≠0 имеет бесконечное множество аргументов, отличающихся друг от друга на число, кратное 2p.
Определение. Наименьшее по абсолютной величине значение аргумента из промежутка -p<φ<p называется главным значением аргумента.
или r. По теореме Пифагора легко вывести формулу для нахождения модуля комплексного числа:
.