Числа в тригонометрической форме не складывают и не вычитают.
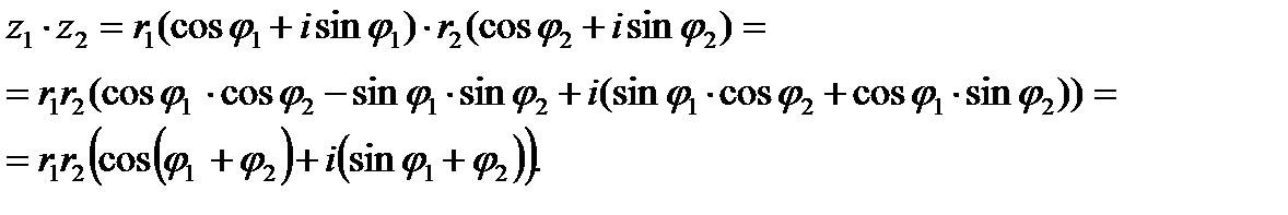
Пусть z1 = r1(cos φ1 + i sin φ1) и z2=r2(cos φ2 + i sin φ2).
1. Произведение комплексных чисел вычисляется по формуле:

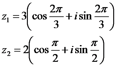
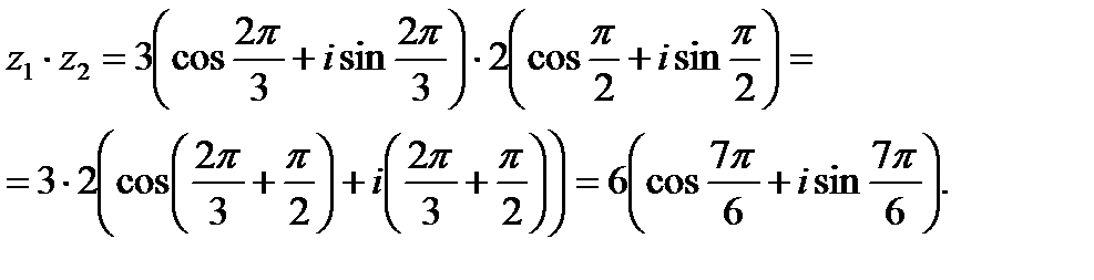
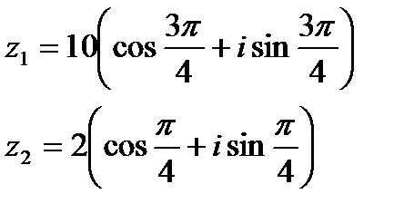
Пример. Найти произведение комплексных чисел

Решение:

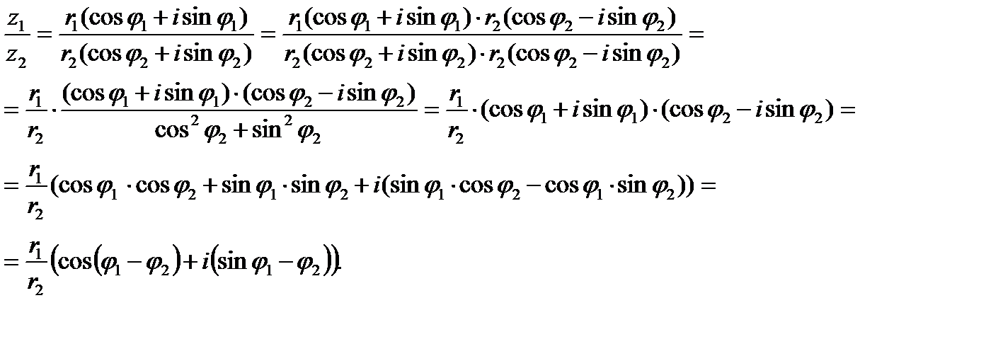
2. Частное комплексных чисел вычисляется по формуле:

Пример. Выполнить деление комплексных чисел.

Решение:

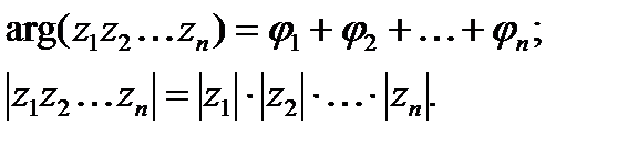
Т.е. в тригонометрической форме операции умножения и деления производятся следующим образом: для того, чтобы перемножить (разделить) два комплексных числа, нужно перемножить (разделить) их модули и сложить (вычесть) их аргументы.
Отсюда следует, что для того чтобы перемножить n комплексных чисел, нужно перемножить их модули и сложить аргументы: если φ1, φ2,..., φn – аргументы чисел z1, z2,..., zn, то

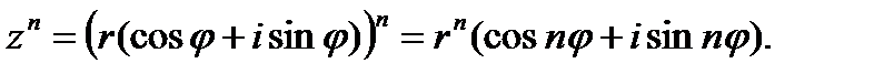
3. В частности, если все эти числа равны между собой, то получим формулу, позволяющую возводить комплексное число в любую натуральную степень.
Первая формула Муавра.
Пример
Дано комплексное число
, найти
.
Решение:
Сначала нужно представить данное число в тригонометрической форме.
Найдём модуль этого числа: 
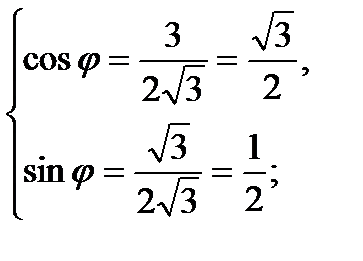
Аргумент данного числа находится из системы:

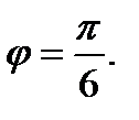
Значит, один из аргументов числа
равен 
Получаем:
.
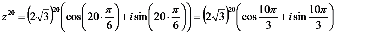
Тогда, по формуле Муавра:

Считать на калькуляторе
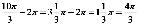
не нужно, а вот угол в большинстве случае следует упростить. Как упростить? Нужно избавиться от лишних оборотов. Один оборот составляет 2p радиан или 360 градусов. Выясним сколько у нас оборотов в аргументе
.Для удобства делаем дробь правильной:
, после чего становится хорошо видно, что можно убавить один оборот:
. Таким образом, окончательный ответ запишется так:
.
Можно убавить еще один оборот и получить главное значение аргумента:

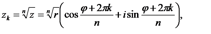
4. Для извлечения корня n -й степени из комплексного числа
используется вторая формула Муавра:

где
- арифметический корень из модуля комплексного числа, k =0, 1, 2,…, n -1






