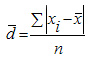
Среднее линейное отклонение
— это средняя арифметическая из абсолютных отклонений отдельных значений признака от средней.
Среднее линейное отклонение простое:

Опыт работы у пяти претендентов на предшествующей работе составляет: 2,3,4,7 и 9 лет.
В нашем примере:
лет;

Ответ: 2,4 года.
Среднее линейное отклонение взвешенное применяется для сгруппированных данных:

Среднее линейное отклонение в силу его условности применяется на практике сравнительно редко (в частности, для характеристики выполнения договорных обязательств по равномерности поставки; в анализе качества продукции с учетом технологических особенностей производства).