= Чистая прибыль + Прочие доходы/расходы, не связанны с операциями собственников +/- Нереализованные доходы или расходы от имеющихся ценных бумаг (или производных ценных бумаг) +/- Корректировки валютных курсов по международным операциям +/- Переоценка основных средств.
![]() | |||
![]() |
Остаточная прибыль (Residual Earnings – RE):
ke- требуемая доходность, Е – себестоимость капитала на начало года.
Если ниже 0, то компания не создаёт ценности для собственников.
Добавленная экономическая ценность (Economic Value Added – EVA):
1. Корректировки на величину отложенного налога на прибыль (deferred tax)
2. Корректировки на резерв ЛИФО (LIFO allowance)
3. Прочие капитальные эквиваленты:
a. амортизации деловой репутации (goodwill);
b. непризнанной деловой репутации (unrecognized goodwill);
c. капитализации расходов на научно-исследовательские, опытно-конструкторские и технологические работы (НИОКР);
d. созданных оценочных резервов.
Расчет EVA:
a) Балансовая стоимость чистых активов на конец года 1500 ден.ед.
b) Чистая прибыль (NI) равна 385 ден.ед., ставка налога 25%, величина процентных расходов составила 20 ден.ед.
c) Недооценка запасов по сравнению с методом ФИФО на начало года 80 ден.ед., на конец года – 96 ден.ед.
d) Первоначальная стоимость деловой репутации составила 43 ден.ед., на конец года этот актив был отражен по остаточной стоимости в 35 ден.ед. Величина амортизации деловой репутации была равна 4 ден.ед.
e) Историческая стоимость финансовых вложений составила 38 ден.ед., на конец года организация создала резерв под их обесценение в сумме 10 ден.ед. Поэтому величина данных вложений в балансе составила 28 ден.ед.
> 0, значит компания создаёт добавленную экономическую ценность.
![]() |
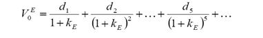
Добавленная рыночная ценность (Market Value Added – MVA):
Дисконтированная сумма остаточных прибылей.
Тема 10. Показатели рентабельности деятельности организации.


ПОКАЗАТЕЛЬ ROTA
ROTA (Return on total assets) – рентабельность всех активов
EBI – earnings before interest – чистая прибыль до уплаты процентов;
TA – total assets – общие (суммарные) активы
NI – net income – чистая прибыль
i – interest expenses – процентные расходы
t – tax rate – ставка налога на прибыль
t = Налог на прибыль/EBT
![]() |
ПОКАЗАТЕЛЬ RONA
RONA (Return on net assets) – рентабельность чистых активов
Чистые активы (NA – net assets) – активы организации, финансируемые за счет платных источников (собственный капитал и процентные обязательства), т.е. активы организации за вычетом бесплатных источников финансирования (кредиторская задолженность).
ПОКАЗАТЕЛЬ RNOA
RNOA (Return on net operating assets) – рентабельность чистых операционных активов
![]() | |||
![]() | |||
RNOA: 1) берём очищенный, но не сгруппированный в 4 группы баланс.
2) перегруппировываем активы:
.
3) перегруппировываем пассивы: 
Соотношение между показателями рентабельности активов (ROA)

Факторный анализ операционной эффективности.
Первый уровень драйверов. Общая формула:

ROS (ОРМ) – сколько прибыли приносит 1 рубль.
ATO – на сколько быстро оборачивается

ОПРЕДЕЛЕНИЕ И РАСЧЕТ ПОКАЗАТЕЛЯ ROE
Тема 11. Финансовый леверидж и построение общего дерева рентабельности компании.
Индекс финансового левериджа:
Если IFlev>1 → положительный эффект финансового рычага, т.е., несмотря на взятые кредиты, собственники получают увеличивающуюся ROE.
IFlev<1 → отрицательный эффект финансового левереджа. Компания не может использоваться взятые кредиты эффективно.
Если финансируемся только за счёт СК → процент = 0, т.е. ROA=ROE => IFlev=1.
Когда ROA больше, чем ставка кредита, компания получает больше, чем должна отдать => эффективно. 1) IFlev>1, 2) (ROA-COD)>0. Вывод:
, L – обязательства, E – плечо ф.левериджа
ПОНЯТИЕ СРЕДНЕЙ СТОИМОСТИ ДОЛГА:
Средняя стоимость долга (COD – average cost of debt), или средние затраты на заимствование (АBC – average borrowing costs):
= NFO = FO - FA
АНАЛИЗ ВЗАИМОСВЯЗИ ПОКАЗАТЕЛЕЙ ROA, ROE И COD.
Факторный анализ показателя ROE:
УРОВЕНЬ ЭФФЕКТА ФИНАНСОВОГО ЛЕВЕРИДЖА (UFLEV):
Тема 12. Анализ рыночной активности.
Показатели рыночной активности:
· Балансовая стоимость акции (balance value per share) = СК/количество акций(обыкн.)
– сравнивает балансовую и рыночную стоимость акций.
· Дивиденд на акцию (dividend per share) = выплаченные дивиденды / количество акций(обыкн.)
· Дивидендный выход (dividend cover) = чистый доход, к распределению между акционерами / дивидендные выплаты. Если меньше 1, то нужно привлекать НРП прошлого года.
· Дивидендная доходность (dividend yield) = дивиденд / рыночная цена обыкновенной акции
Рыночная капитализация / балансовая ценность СК (P/B):
· P/B = количество акций * цена / (балансовая ценность активов – балансовая ценность обязательств)
Низкое значение P/B может говорить о том, что:
§ Активы компании переоценены
§ Скорей всего у компании низкие значения показателей ROA и ROE
§ Отрасль в целом имеет низкое значение P/B
Рыночная капитализация / прибыль (P/E): 2 подхода
1) Р/Е = рыночная капитализация / прибыль компании
2) P/E = цена за акцию / прибыль на акцию
Т.е. к первому методу применяем модель сокращения: делим на количество акций числитель и знаменатель.
Компании: обыкновенные акции которых торгуются на бирже; находящиеся в процессе размещения акций; раскрывающие данную информацию по собственному усмотрению.

Расчет прибыли на акцию (Basic EPS)

Разводненная прибыль на акцию (Diluted EPS)

Рыночная капитализация/продажи (P/S) = кол-во акций*цена / продажи (выручка)
Во сколько раз больше рынок готов платить за 1 р. выручки компании.
Сравнение:
P/B – ROE
P/E – рост прибыли компании
P/S – чистая прибыль/выручка
Тема 13. Введение в управление ценностью компанией.
Цели компании: 1) Теория собственников и 2) Теория заинтересованных лиц.

BV компании = BV собственного капитала.
MV компании = КАПИТАЛИЗАЦИЯ
Рассчитанная одним из методов:
-сравнительный,
-доходный.
Ценностно-ориентированный менеджмент (VBM):
§ Модуль оценивания – какой из модулей применить
§ Модуль стратегии – каким образом разработать стратегию
§ Модуль финансов – бюджет и финансовая политика(какие кредиты, чтоб леверидж был «+»)
§ Модуль корпоративного управления – как выстроить вознаграждения менеджерам
Построение системы VBM:
§ Решение о выборе модели оценки ценности бизнеса
§ Решение о выборе показателя (показателей) результатов деятельности: RI(RE), EVA, MVA
§ Решение о доведении выбранного показателя до подразделений через построение системы драйверов
Создание ценности:

Пентограмма действий Арнольда:

Подходы к оценке бизнеса:

Сравнительный подход (метод рынка капитала):
§ Определение компаний-аналогов
§ Сбор информации о финансовых показателях компаний-аналогов из финансовых отчетов и расчет мультипликаторов
§ Применение рассчитанных мультипликаторов к соответствующим показателям исследуемой компании
Характеристика мультипликаторов:

Достоинства сравнительного подхода:
§ Ориентация не на «расчеты», а на фактические цены купли-продажи аналогичных организаций(их акций)
§ Простота использования, отсутствие необходимости сбора значительного объема информации
Недостатки сравнительного подхода:
§ Трудности поиска компаний-аналогов и достоверной информации по ним
§ Необходимость осуществления корректировок расчетов и их обоснования
§ Разные мультипликаторы дают разные оценки. Процедура взвешивания достаточно объективна
§ Трудности в оценке в случае отрицательного показателя в знаменателе
§ База для оценки – прошлые результаты, а не перспектива
Затратный подход:

1. Метод переоценки активов – чистых активов.
2. Метод ликвидационной стоимости.
Доходный подход:

Модель дисконтирования дивидендов:

Достоинства модели: Простота, Прогнозируемость.
Недостатки модели: Достоверность, Горизонт прогнозирования.
Модель дисконтированных денежных потоков:

FCF = C-I, C – чистый поток денежных средств от операций
I – чистый поток денежных средств от инвестиций
WACC – ставка средневзвешенных затрат на капитал

Продолженная ценность.
Достоинства модели: Простота, Известность техник применения.
Недостатки модели: Не внушают доверия некоторые аспекты подхода, Горизонт прогнозирования, Проверка прогнозов.
Тема 14. Модель остаточной операционной прибыли.
Создание ценности (на основе остаточной прибыли)

![]() | ![]() | ||
Остаточная чистая прибыль:
RI – остаточная прибыль (Residual Income or Earnings)
NI – чистая прибыль (net income)
kE – требуемая доходность на собственный капитал (Cost of Equity Capital)
EBV – балансовая стоимость собственного капитала (Equity Book Value)
Если RI>0, то компания создаёт ценность для акционеров.
![]() |
Остаточная операционная прибыль:
REOI – остаточная операционная прибыль (Residual Income or Earnings)
OI – операционная прибыль (operating income)
kW – средневзвешенная ставка затрат на капитал (WACC)
ABV – балансовая стоимость активов компании (Assets Book Value)
Модель остаточной прибыли:
VE – фундаментальная ценность собственного капитала
PV – приведенная стоимость
CV – продолженная ценность

1) говорим: «мы закрываемся, ликвидируем компанию»
2) остаточная чистая прибыль на уровне последнего года
3) с темпом роста








