Если рассматривать колебательный контур, то для получения вынужденных колебаний (вон тот рисунок снизу), нужно включить последовательно с элементами контура переменную эдс или, разорвав контур, подать напряжение:

U = Umcos(w), тогда уравнение будет иметь вид:
,
которое после замены будет иметь вот такой вид:

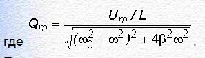
Решение полученного неоднородного дифференциального уравнения находим прибавлением к его частному решению общего решения соответствующего однородного уравнения. Частное решение имеет вид:


Подставив в эти выражения значения W02 и B (здесь – бета), получим:

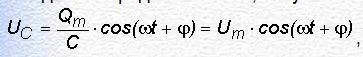
Разделив заряд на емкость, получим напряжение на конденсаторе:


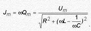
Установившийся ток в контуре:

Амплитуда тока имеет вид:

Мы рассмотрели вынужденные колебания, возникающие при включении внешнего напряжения последовательно с элементами колебательного контура. Явление резонанса используется для выделения из сложного напряжения нужной составляющей, настроив контур на одну из частот W1, W2 и т. д. (т. е., подобрав соответствующим образом его параметры С и L, можно получить на конденсаторе напряжение, в несколько раз превышающее величину данной составляющей, в то время как напряжение, создаваемое на конденсаторе другими составляющими, будет слабым. Такой процесс имеет место, например, при настройке радиоприемника на нужную длину волны.






