Для наращения и дисконтирования денежных сумм могут применяться различные виды процентных ставок. Часто требуется определить ставки, которые в конкретных условиях приводят к одинаковым финансовым результатам, когда замена одного вида ставки на другой, при соблюдении принципа эквивалентности, не изменяет финансовых отношений сторон в рамках одной операции.
Процентные ставки, обеспечивающие равноценность финансовых последствий называются эквивалентными. Эквивалентность ставок обеспечивается равенством множителей наращения или дисконтных множителей.
Таблица 3.1 – Эквивалентность процентных ставок
| № п/п | Вид ставки | Формула эквивалентности | |||
| Срок сделки выражен в годах (n) | ||||
(3.1) | (3.2) | ||||
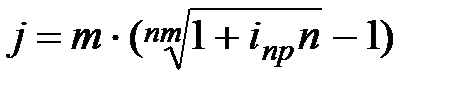
| Срок сделки выражен в месяцах (m) | |||||
(3.3) | (3.4) | ||||
| Срок сделки выражен в днях (временная база для обеих ставок 360 дней) | |||||
(3.5) | (3.6) | ||||
| Срок сделки выражен в днях (временная база для процентной ставки 365 дней, а для учетной ставки 360 дней) | |||||
(3.7) | (3.8) | ||||
Продолжение таблицы 3.1
| № п/п | Вид ставки | Формула эквивалентности | |
| (3.9) | (3.10) | |
| (3.11) | (3.12) | |
| (3.13) | (3.14) | |
| (3.15) | (3.16) | |
| (3.17) | (3.18) | |
| (3.19) | (3.20 | |
| (3.21) | (3.22) | |
| (3.23) | (3.24) | |
| (3.25) | (3.26) | |
| (3.27) | (3.28) | |
| (3.29) | (3.30) | |
| (3.31) | (3.32) | |
| (3.33) | (3.34) | |
| (3.35) | (3.36) |
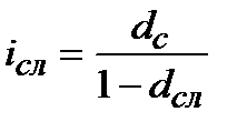
Пример 3.1 Вексель учтен за год до даты его погашения по учетной ставке 15,0 %. Какова доходность учетной операции в виде процентной ставки?
Решение.
По формуле 3.1 находим:
, или 17,647%.
Пример 3.2 Какой сложной годовой ставкой можно заменить в контракте простую ставку 18% (K=365), не изменяя финансовых последствий? Срок операции 580 дней.
Решение.
Находим эквивалентную сложную ставку по формуле 3.9
или 17,153%.
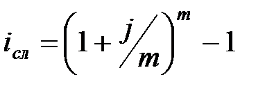
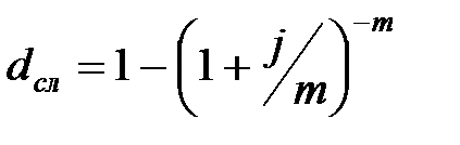
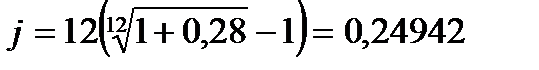
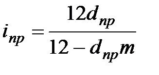
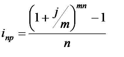
Пример 3.3 При разработке условий контракта стороны договорились о том, что доходность кредита должна составлять 28% годовых. Каков должен быть размер номинальной ставки при начислении процентов ежемесячно, поквартально?
Решение.
Воспользуемся формулой 3.20:
;
.
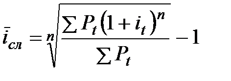
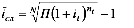
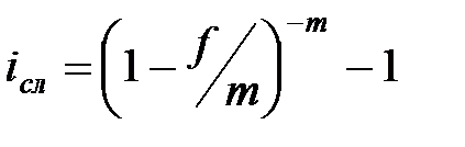
Если в финансовой операции размер процентной ставки изменяется во времени, то все значения ставки можно обобщить с помощью средней.
Пусть за периоды
начисляются простые проценты по ставкам
.
Средние процентные ставки получим посредством приравнивания соответствующих множителей наращения друг к другу:
,
отсюда
.
Аналогично получим
, (3.37)
где N =
- общий срок наращения процентов,
и
- средняя учетная и процентная ставка.
Если изменяются во времени и первоначальные суммы, то
.(3.38)
Если усредняются переменные во времени ставки сложных процентов, то:
; (3.39)
. (3.40)
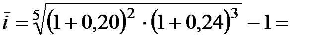
Пример 3.4 Для первых двух лет ссуды применяется ставка 20%, для следующих трех лет она составляет 24%. Нужно найти среднюю ставку.
Решение.
0,22384, или 22,384%.
Иногда меняются только суммы ссуд и проценты, а сроки операций равны.
Если применяются простые проценты, то
. (3.41)
Когда усредняются сложные процентные ставки, то средняя ставка составит
. (3.42)
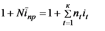
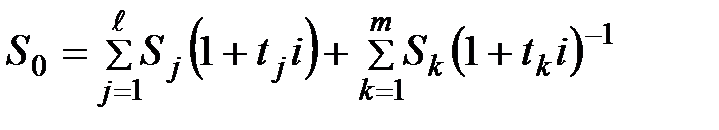
Часто возникает необходимость изменения условий ранее заключенных сделок: изменение сроков платежей, объединение нескольких платежей в один – консолидация платежей.
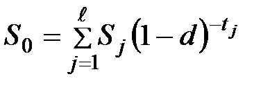
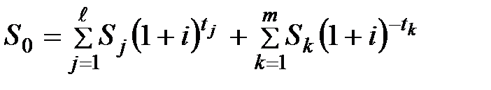
Пусть платежи
со сроками выплат
заменяются одним в сумме
и сроком
. В этом случае возможны две постановки задачи: если задается срок
, то находится сумма
, и наоборот, если задана сумма консолидированного платежа, то определяется его срок.
Определение размера платежа.
1) Если используется простая процентная ставка, а сроки объединяемых платежей меньше срока консолидированного платежа, то
, (3.43)
где
- размеры объединяемых платежей со сроками
<
.
2) Если используется простая процентная ставка, а сроки объединяемых платежей как меньше, так и больше срока консолидированного платежа, то
, (3.44)
где Sj – размеры платежей со сроками погашения nj < no,
- размеры платежей со сроками
>
,
,
.
3) Если используется простая учетная ставка, а сроки объединяемых платежей меньше срока консолидированного платежа, то
. (3.45)
4) Если используется простая учетная ставка, а сроки объединяемых платежей как меньше, так и больше срока консолидированного платежа, то
. (3.46)
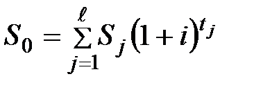
5) Если используется сложная процентная ставка, а сроки объединяемых платежей меньше срока консолидированного платежа:
, при no > nj. (3.47)
6) Если используется сложная процентная ставка, а сроки объединяемых платежей как меньше, так и больше срока консолидированного платежа:
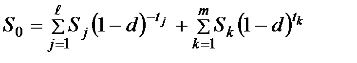
, при nj < no < nк. (3.48)
7) Если используется сложная учетная ставка, а сроки объединяемых платежей меньше срока консолидированного платежа, то
. (3.49)
8) Если используется сложная учетная ставка, а сроки объединяемых платежей как меньше, так и больше срока консолидированного платежа:
. (3.50)
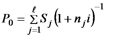
Определение срока консолидированного платежа.
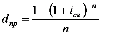
При начислении простых процентов срок консолидированного платежа no находится по формуле:
=
, (3.51)
где Р0 – современная стоимость консолидируемых платежей,
. (3.52)
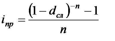
При использовании сложных процентов:
, (3.53)
где
. (3.54)
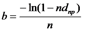
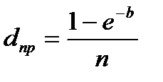
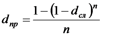
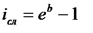
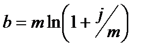
Эквивалентность сложных дискретных и непрерывных ставок.
Обозначим силу роста через – b.
Эквивалентность сложной процентной ставки и силы роста:
;
. (3.55)
Эквивалентность номинальной процентной ставки и силы роста:
;
. (3.56)
Эквивалентность силы роста и учетной ставки:
;
;
;
. (3.57)
(3.1)
(3.2)
(3.3)
(3.4)
(3.5)
(3.6)
(3.7)
(3.8)
(3.9)
(3.10)
(3.11)
(3.12)
(3.13)
(3.14)
(3.15)
(3.16)
(3.17)
(3.18)
(3.19)
(3.20
(3.21)
(3.22)
(3.23)
(3.24)
(3.25)
(3.26)
(3.27)
(3.28)
(3.29)
(3.30)
(3.31)
(3.32)
(3.33)
(3.34)
(3.35)
(3.36)