Неизвестные параметры в 0 и в 1 нормальной линейной модели парной регрессии определяются с помощью классического метода наименьших квадратов, или МНК.
Предположим, что исследователем собран цифровой материал, характеризующий две переменные – х и у.
Связь между исследуемыми переменными описывается равенством вида:
yi = β 0+ β 1xi. (2)
В соответствии с методом наименьших квадратов в качестве метода оценки неизвестных параметров регрессионной модели будет выступать сумма квадратов отклонений наблюдаемых значений результативного признака у от теоретических значений у (рассчитанных с помощью регрессионной модели): 
Для нахождения оптимальных значений неизвестных параметров β0 и β1 необходимо минимизировать функционал F по данным параметрам, т. е. необходимо рассчитать такие значения параметров β0 и β1, которые бы доставляли минимум функции:

При минимизации данного функционала неизвестными являются только значения коэффициентов регрессии β0 и β1. Значения результативной и факторной переменных известны из наблюдений.
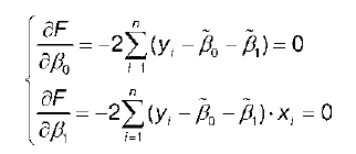
Для определения минимума функции двух переменных нужно вычислить частные производные этой функции по каждому из оцениваемых параметров и приравнять их к нулю. Результатом будет являться стационарная система уравнений для функции (2):

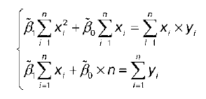
Если разделить обе части каждого уравнения системы на (‑2), раскрыть скобки и привести подобные члены, то получим систему:

Решением системы нормальных уравнений являются оценки неизвестных параметров уравнения регрессии β0 и β1:

где у – среднее значение результативной переменной;
х – среднее значение факторной переменной;
ху– среднее арифметическое значение произведения результативной и факторной переменных;
G 2 (x) – дисперсия факторной переменной.