1. Контрольная работа оформляется в отдельной тетради. Титульный лист оформляется следующим образом:
Контрольная работа по физике №…
“Название к.р.”
Студент ----------- группы ----------
......................................Шифр………..
Фамилия, Имя, Отчество
Вариант №…………………..
Проверил……………………………
Фамилия, Имя, Отчество преподавателя
“Зачтено”дата…………….роспись……….
2. Каждая задача оформляется с начала нового листа. Записывается полностью текст задачи так, как он приведен в методичке.
3. Все, содержащиеся в задаче данные, которые могут быть представлены в виде математических соотношений, должны быть записаны в колонке под заголовком “Дано”.
4. Величины, выраженные через внесистемные единицы, должны быть выражены через единицы системы СИ. Численное значение всех величин должно быть представлено в нормализованном виде: (1÷10)10n
5. Решению задачи должно предшествовать изображение физических явлений и процессов, происходящих в данной задаче. На рисунке, чертеже или блок-схеме должны быть указаны характерные параметры данной задачи, известные и искомые величины.
|
|
|
6. Задачу рекомендуется решить сначала в общем виде, т.е. только в буквенных обозначениях, поясняя при написании формул буквенные обозначения. Решение задачи должно содержать краткие пояснения основных этапов. Значение фундаментальных физических констант должно быть приведено с указанием численного значения размерности в системе СИ.
7. Затем в полученную формулу для искомой величины подставить численные значения каждого из параметров задачи и записать ответ.
8. Полученное значение искомой величины должно быть проанализировано с точки зрения вероятности ее попадания в интервал возможных значений.
Данный перечень требований должен быть применен к каждой из задач!
9. В конце контрольной работы, после решения всех указанных в маршруте задач, необходимо привести список использованной литературы.
Контрольные работы, оформленные без соблюдения правил, а также работы, выполненные не по своему варианту, зачтены не будут.
ФИЗИЧЕСКИЕ ОСНОВЫ МЕХАНИКИ
Кинематика
• Положение материальной точки в пространстве задается радиусом-вектором
:

где
— единичные векторы направлений (орты);
— координаты точки.
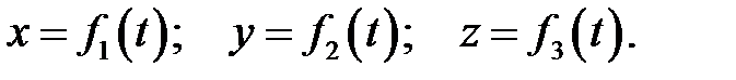
Кинематические уравнения движения в координатной форме:

где t — время.
• Средняя скорость:
,
где
— перемещение материальной точки за интервал времени
.
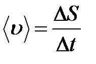
•Средняя путеваяскорость:
,
где
— путь, пройденный точкой за интервал времени
.
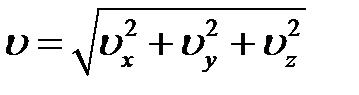
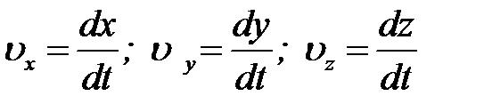
•Мгновенная скорость:
,
где
— проекции скорости
на оси координат.
Модуль скорости:
.
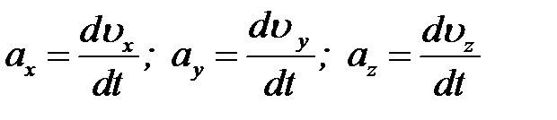
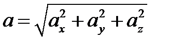
• Ускорение:
,
|
|
|
где:
- проекции ускорения
на оси координат.
Модуль ускорения:
.
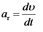
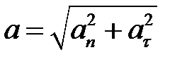
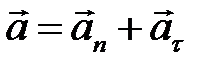
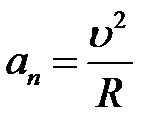
При криволинейном движении ускорение можно представить как сумму нормальной
и тангенциальной
составляющих:
.
Модули этих ускорений:
;
;
,
где R — радиус кривизны в данной точке траектории.
• Кинематическое уравнение равномерного движения материальной точки вдоль оси х:
,
где
— начальная координата; t — время.
При равномерном движении
и
.
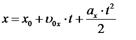
• Кинематическое уравнение равнопеременного движения(
)вдоль оси x:
,
где υ 0‑начальная скорость; t ‑время.
Скорость точки при равнопеременном движении:
.
• Положение твердого тела (при заданной оси вращения) определяется углом поворота (или угловым перемещением)
.
Кинематическое уравнение вращательного движения:
.
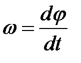
• Средняя угловая скорость:
,
где
— изменение угла поворота за интервал времени
. Мгновенная угловая скорость:
.
• Угловое ускорение:
.
• Кинематическое уравнение равномерного вращения:
,
где
- начальное угловое перемещение; t - время. При равномерном вращении
и
.
Угловая скорость и угловое ускорение являются аксиальными векторами, их направления совпадают с осью вращения.
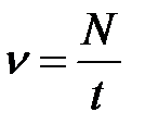
•Частота вращения:
, или
,
где N — число оборотов, совершаемых телом за время t; Т — период вращения (время одного полного оборота).
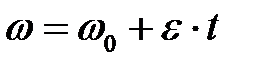
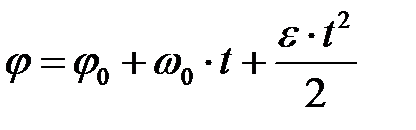
• Кинематическое уравнение равнопеременного вращения (
)
,
где
- начальная угловая скорость; t - время.
Угловая скорость тела при равнопеременном вращении
.
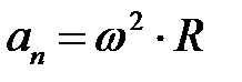
• Связь между линейными и угловыми величинами, характеризующими вращение материальной точки, выражается следующими формулами:
путь, пройденный точкой по дуге окружности радиусом R,
(
- угол поворота тела);
скорость точки линейная
;
;
ускорение точки:
тангенциальное
;
;
нормальное
;
.






