• Уравнение движения материальной точки (второй закон Ньютона):
в векторной форме:
, или
,
где
— геометрическая сумма сил, действующих на материальную точку; т — масса;
— ускорение;
— импульс; N — число сил, действующих на точку;
в координатной форме (скалярной):
,
, 
или
,
,
,
где под знаком суммы стоят проекции сил
, на соответствующие оси координат.
Сила гравитационного взаимодействия:
,
где G — гравитационная постоянная; m 1 и m 2 — массывзаимодействующих тел, рассматриваемые как материальные точки; r — расстояние между ними.
,
где
— коэффициент трения скольжения; N — сила нормального давления.
• Сила упругости:
,
где k — коэффициент упругости (жесткость в случае пружины);
— абсолютная деформация.
• Координаты центра масс системы материальных точек:
,
,
,
где mi — масса i -й материальной точки; xi, yi;,zi; — ее координаты.
или
,
где N — число материальных точек (или тел), входящих в систему.
• Работа, совершаемая постоянной силой:
или
,
где
— угол между направлениями векторов силы
и перемещения
.
• Работа, совершаемая переменной силой:
,
где интегрирование ведется вдоль траектории, обозначаемой L.
• Средняя мощность за интервал времени
:
.
• Мгновенная мощность:
или
,
где
— работа, совершаемая за промежуток времени dt.
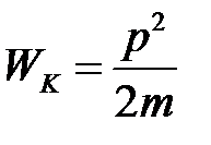
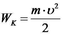
• Кинетическая энергия материальной точки (или тела), движущейся поступательно:
или
.
• Потенциальная энергия тела и сила, действующая на тело в данной точке поля, связаны соотношением
или
,
где
— единичные векторы (орты). В частном случае, когдаполе сил обладает сферической симметрией (как, например, гравитационное),
.
• Потенциальная энергия упругодеформированного тела (сжатой или растянутой пружины)
.
• Потенциальная энергия гравитационного взаимодействия двух материальных точек (или тел) массами m 1, и т 2, находящихся на расстоянии r друг от друга:
.
• Потенциальная энергия тела, находящегося в однородном поле силы тяжести,
,
где h — высота тела над уровнем, принятым за нулевой для отсчета потенциальной энергии. Эта формула справедлива при условии
, где R — радиус Земли.
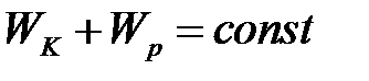
• Закон сохранения энергии в механике выполняется в замкнутой системе, в которой действуют только консервативные силы, и записывается в виде:
.