В специальной теории относительности рассматриваются только инерциальные системы отсчета. Во всех задачах считается, что оси у, у' и z, z' сонаправлены, а относительная скорость v 0 системы координат К' относительно системы К направлена вдоль общей оси хх'.
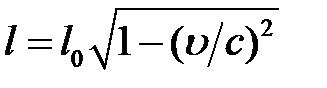
• Релятивистское (лоренцево) сокращение длины стержня:

где l 0 — длина стержня в системе координат К',относительно которой стержень покоится (собственная длина). Стержень параллелен оси х'; l— длина стержня, измеренная в системе К,относительно которой он движется со скоростью
; с — скорость распространения электромагнитного излучения.
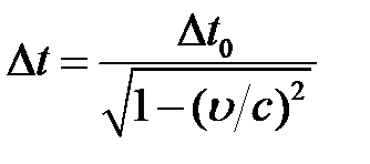
• Релятивистское замедление хода часов
,
где Δ t 0 — интервал времени между двумя событиями, происходящими в одной точке системы
, измеренный по часам этой системы (собственное время движущихся часов); Δ t — интервал времени между двумя событиями, измеренный по часам системы K.
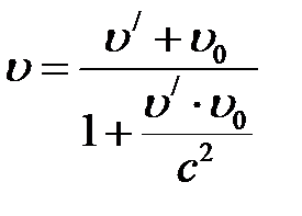
• Релятивистское сложение скоростей
,
где
— относительная скорость (скорость тела относительно системы K ');
— переносная скорость (скорость системы K ' относительно К),
— абсолютная скорость (скорость тела относительно системы К).
|
|
|
В теории относительности абсолютной скоростью называется скорость тела в системе координат, условно принятой за неподвижную.
• Релятивистский импульс:
.
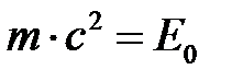
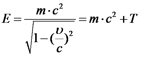
• Полная энергия релятивистской частицы
,
где T — кинетическая энергия частицы;
— ее энергия покоя. Частица называется релятивистской, если скорость частицы сравнима со скоростью света, и классической, если
.
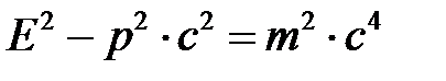
• Связь полной энергии с импульсом релятивистской частицы:
.
• Связь кинетической энергии с импульсом релятивистской частицы
.






