• Момент силы
, действующей на тело, относительно оси вращения:
,
где
— проекция силы
на плоскость, перпендикулярную оси вращения; l — плечо силы
(кратчайшее расстояние от оси вращения до линии действия силы).
• Момент инерции относительно оси вращения:
а) материальной точки
,
где т — масса точки; r— расстояние ее от оси вращения;
б) дискретного твердого тела
,
где
— масса i-го элемента тела; ri — расстояние этого элемента от оси вращения; N— число элементов тела;
в) сплошного твердого тела
.
Если тело однородно, т. е. его плотность
одинакова по всему объему, то
и
,
где V — объем тела.
• Моменты инерции некоторых тел правильной геометрической формы:
| Тело | Ось, относительно которой определяется момент инерции | Формула момента инерции |
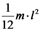
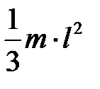
| Однородный тонкий стержень массой т и длиной l | Проходит через центр тяжести стержня перпендикулярно стержню | |
| Проходит через конец стержня перпендикулярно стержню | | |
| Тонкое кольцо, обруч, труба радиусом R и массой т, маховик радиусом R и массой т, распределенной по ободу | Проходит через центр перпендикулярно плоскости основания | |
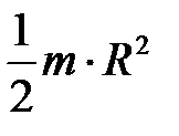
| Круглый однородный диск (цилиндр) радиусом R и массой т | Проходит через центр диска перпендикулярно плоскости основания | |
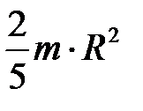
| Однородный шар массой т и радиусом R | Проходит через центр шара | |
• Теорема Штейнера. Момент инерции тела относительно произвольной оси:
,
где J 0 — момент инерции этого тела относительно оси, проходящей через центр тяжести тела параллельно заданной оси; а— расстояние между осями; m — масса тела.
• Момент импульса вращающегося тела относительно оси:
.
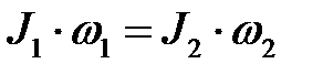
• Закон сохранения момента импульса:
,
где Li — момент импульса i -го тела, входящего в состав системы. Закон сохранения момента импульса для двух взаимодействующих тел:

где
— моменты инерции и угловые скорости тел до взаимодействия:
— те же величины после взаимодействия.
Закон сохранения момента импульса для одного тела, момент инерции которого меняется:
,
где
— начальный и конечный моменты инерции;
— начальная и конечная угловые скорости тела.
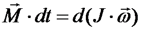
•Основное уравнение динамики вращательного движения твердого тела относительно неподвижной оси:
,
где
— момент силы, действующей на тело в течение времени dt;
J — момент инерции тела;
— угловая скорость;
— момент импульса.
В случае постоянного момента инерции основное уравнение динамики вращательного движения принимает вид
,
где
— угловое ускорение.
• Работа постоянного момента силы М, действующего на вращающееся тело:
,
где j — угол поворота тела.
• Мгновенная мощность, развиваемая при вращении тела,
.
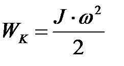
• Кинетическая энергия вращающегося тела
.
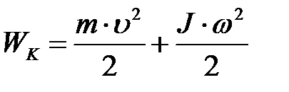
• Кинетическая энергия тела, катящегося по плоскости без скольжения:
,
где
— кинетическая энергия поступательного движения тела; υ— скорость центра инерции тела;
,— кинетическая энергия вращательного движения тела вокруг оси, проходящей через центр инерции.






