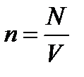
· Концентрация частиц (молекул, атомов и т. п.) однородной системы
,
где V — объем системы.
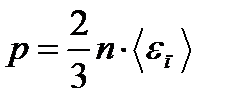
· Основное уравнение кинетической теории газов
,
где р — давление газа; < e п>— средняя кинетическая энергия* поступательного движения молекулы.
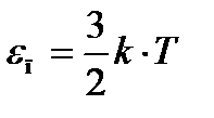
· Средняя кинетическая энергия:
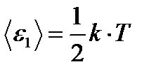
приходящаяся на одну степень свободы молекулы
;
;
поступательного движения молекулы
,
где k — постоянная Больцмана; Т — термодинамическая температура; i — число степеней свободы молекулы;
вращательного движения молекулы

· Зависимость давления газа от концентрации молекул и температуры
p = n∙k∙T.
· Скорость молекул:
средняя квадратичная
, или
;
, или
;
наиболее вероятная
, или
,
где m 0 — масса одной молекулы.






