2.3.2.1 В процессе отработки рецептуры и технологии блюда (изделия) определяют:
- сочетаемость продуктов;
- нормы вложения сырья массы нетто;
- массу подготовленного полуфабриката;
- объем жидкости (в тех случаях, если она предусмотрена технологией);
- массу сухих веществ (для кондитерских изделий);
- температурный режим и продолжительность тепловой обработки;
- кулинарную готовность блюда (изделия);
- выход готового блюда (изделия);
- потери при тепловой обработке;
- потери при порционировании;
- потери при отделке кондитерских изделий;
- органолептические показатели блюда (изделия);
- влажность кондитерских изделий, теста;
- пищевую энергетическую ценность блюда (изделия).
2.3.2.2 При разработке рецептур блюд (изделий) можно использовать старинные рецептуры национальных или зарубежных кухонь (согласно специфики предприятия), собственный опыт работы. Составляется проект рецептуры на блюдо (изделие), на основании которого при практическом приготовлении составляется акт отборки рецептуры нового блюда (изделия). Акт представлен в приложении Л.
2.3.2.3 Количество жира принимают для жарки основным способом 5-10% от массы полуфабриката, для пассерования лука моркови – 15-20% от массы сырья нетто.
Количество жидкости определяют в зависимости от способа тепловой обработки с учетом потерь на выкипание: при варке основным способом 100% от массы продукта (нетто), припускании 30-50%, при тушении 50%. На выкипание предусматривают 5% от взятого по рецептуре количество жидкости.
2.3.2.4 Отработку рецептур блюд (изделий) проводят с соблюдением действующих санитарно-технологических требований и режимов обработки. Отработку проекта рецептуры и технологии проводят в небольших партиях, в 5-кратной повторности. При отклонениях выхода блюда (изделия) более 3% отработку рецептуры повторяют.
2.3.2.5 На основе уточненной массы нетто проводят расчет количества сырья массой брутто по формуле 1.
| (1) |
где: М б – масса сырья брутто, кг;
Мн – масса сырья нетто, кг;
О – отходы при механической обработке сырья, %.
2.3.2.6 Производственные потери сырья при изготовлении блюда (изделия) определить по формулам 2, 3.
| (2) |

где: П – производственные потери, кг;
Мн – суммарная массы сырья (нетто), входящего в состав полуфабриката, в кг;
Мп/ф – масса полученного полуфабриката в кг.
Полученные при отработке данные сравнивают с расчетными в рецептуре. При необходимости проводят уточнение норм расхода сырья в проекте рецептуры.
2.3.2.7 Потери при тепловой отработке блюда (изделия) рассчитываются в процентах к массе полуфабриката по формуле 3.
| (3) |
где: Пт – потери при тепловой обработке с учетом потерь при остывании блюда (изделия), %;
Мп/ф – масса полуфабриката, подготовленного к тепловой обработке, кг;
Мг – масса готового блюда (изделия) после тепловой обработки, кг.
Для определения выхода готового блюда (изделия), отпускаемого в горячем виде (супы, вторые блюда и т.д.) взвешивание производить после его остывания до температуры 40°С. Блюдо (изделие) отпускаемое в холодном виде (холодные закуски, холодные десерты и т.д.), взвесить при температуре 14°С.
2.3.2.8 Потери при порционировании рассчитывается к массе готового блюда (изделия) по формуле 4.
| (4) |
где: Пп – потери при порционировании, %;
Мг – масса готового блюда (изделия) до порционирования, кг.
Мп – масса готового блюда (изедлия) после порционирования, кг;
2.3.2.9 При расчете рецептур на новые торты (пирожные) рассчитывают влажность по формуле:

где: Wт – влажность изделия, %;
W1, W2, Wn – влажность полуфабрикатов, входящих в состав изделия, % (устанавливается экспериментально);
П1, П2, Пn – соотношение полуфабрикатов входящих в состав изделия.
2.3.2.10 Расчет сырья всех видов на отдельные полуфабрикаты, входящие в состав торта (пирожного), с учетом потерь на их приготовление в сухих веществах рассчитывают по формуле:

где: Сn - расход отдельного вида сырья в сухих веществах, г;
Hn – масса сырья в натуре, г;
С – содержание сухих веществ, %.
Сухие вещества в каждом виде сырья, включенного в рецептуру, определяют с учетом их массовой доли в 100 г продукта, пользуясь таблицей 1 Сборника рецептур мучных кондитерских и булочных изделий для предприятий общественного питания 2012 г., а так же таблицами «Химический состав российских пищевых продуктов».
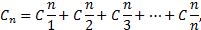
2.3.2.11 Расход всех видов сырья (в сухих веществах (Cn)), включенных в торт (пирожное) определяют по формуле:

где:
,
- масса сырья в сухих веществах отдельных компонентов изделия, г
2.3.2.12 Полученные данные округляют до первого знака после запятой. При округлении данного числа с поправкой до 2-го разряда последняя сохраняемая цифра (цифра 2-го разряда) не меняется, если цифра, следующая за ней равна 5 или больше 5.
| Данное число | Разряд округления | Данное число после округления |
| 38,1 | До 1 | 38,0 |
| 6,9 | До 1 | 7,0 |
| 47,84 | До 0,1 | 47,8 |
| 38,45 | До 0,1 | 38,5 |
| 32,87 | До 0,1 | 32,9 |
2.3.2.13 Нормы закладки в рецептуре ванилина, лимонной кислоты, перца, лаврового листа, сыра, меда, орехов, икры и других дорогостоящих продуктов указывают с точностью до одного или двух знаков после запятой.
Рекомендуемый объем подраздела 10-12 страниц.
В данном разделе прилагается фотография блюда (изделия) формата А-4, которая выносится в приложение.






