Вопрос 1
Момент импульса твёрдого тела. Тензор инерции. Осевые и центробежные моменты инерции.
расстояние от точки, относительно которой рассматривается момент импульса.
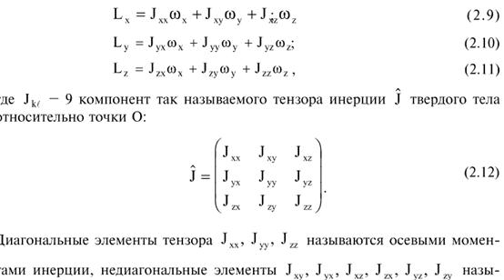
Тензором инерции называется совокупность девяти величин, характеризующих инертные свойства твёрдого тела при его вращательном движении.

(доказывается в лоб, раскрытием векторного произведения
)
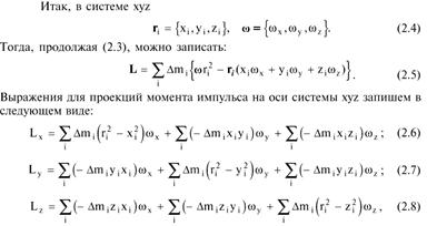
Диагональные составляющие тензора – осевые моменты, остальные – центробежные.
![]() |
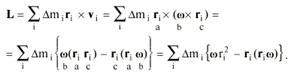
Момент импульса. Тензор инерции. Момент импульса тела относительно неподвижной точки – важнейшее понятие в динамике вращательного движения твердого тела. Он определяется так же, как и для системы материальных точек:
Здесь Dpi=mivi – импульс элементарной массы dmi в лабораторной системе XYZ, а ri – радиус-вектор массы dmi с началом в той неподвижной точке, относительно которой вычисляется момент импульса тела. С учетом постоянства расстояний между точками абсолютно твердого тела вектор момента импульса L удается связать с вектором угловой скорости w.Рассмотрим, к примеру, две одинаковые точечные массы m, укрепленные на концах невесомого стержня АВ (рис. 2.3). Стержень с массами вращается с угловой скоростью w вокруг вертикальной оси, проходящей через середину стержня и перпендикулярной ему. В этом случае:
|
|
|
L=mri´vi+ mr2´v2=2mr2w, здесь учтено, что: r1 =r2 =r, а v1=v1=wr.
![]() |
Существенно, что в этом примере век тор L направлен так же, как и w. К сожалению, так бывает не всегда. В этом можно убедиться на примере, показанном на рис. 2.4. Получим выражение для L в случае твердого тела произвольной формы, закрепленного в некоторой точке О. Пусть ri – радиус-вектор элементарной массы Dmi твердого тела, а w –угловая скорость. Тогда: ![]() |
Векторы ri, w и L можно проектировать как на оси лабораторной системы XYZ, так и на оси системы xyz, жестко связанной с твердым телом (поскольку точка О неподвижна, начала обеих систем можно совместить). Преимущество системы xyz заключается в том, что в ней проекции r i являются постоянными величинами (в системе XYZ они зависят от времени), и выражения для компонент L оказываются проще.
ываются центробежными моментами инерции. Если Jxy=Jyx, Jxz=Jzx, Jzy=Jyz, то тензор наз. симметричным.
Если оси Ox, Oy, Oz совместить с главными осями инерции, то тензор инерции примет диагональный вид. Величины Jxx=Jx, Jyy=Jy, Jxx=Jz в этом случае наз. главными моментами инрции тела, причём: Lx=Jxwx и т. д. Эти оси также называются главными осями тензора инерции. Они жестко связаны с телом.
Направление главных осей тела часто можно определить, пользуюсь соображениями симметрии. Так, например, главные оси однородного прямоугольного параллелепипеда параллельны его рёбрам. К телам такого рода относится, например цилиндр.
|
|
|
Оси свободного вращения. Вращательное движение – это такое, при котором две точки тела остаются всё время неподвижными. Прямая, проходящая через эти точки, называется осью вращения. Все точки твердого тела, лежащие на оси вращения, неподвижны. Другие точки твердого тела движутся по окружностям в плоскостях, перпендикулярных оси вращения. Центры этих окружностей лежат на оси вращения. Вращательное движение твердого тела является плоским.
Вопрос2.
Движение со сверхзвуковой скоростью. Ударные волны.
v2 = γP/ρ Так как при ΔQ=const, PVγ=const, а γ >1, при увеличении давления, плотность растёт, ещё сильнее, таким образом накапливается сгущение, которое формируется до тех пор, пока волна не натолкнётся на какое-нибудь препятствие, принеся с собой эффект удара.
Ударной называется волна, которая приносит с собой эффект удара.
Удар – резкое изменение параметров, характеризующих состояние среды.


