
þ 

þ 

þ 

þ 

þ 

þ 

þ 

þ 

þ 

þ 

þ 


þ 


o 
o 
o 
þ 
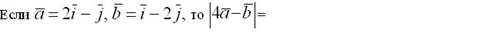
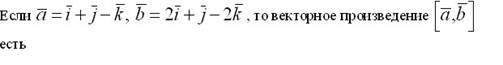
212. Задание {{214}} ТЗ № 18

o 1
o 2
þ -1
o -2
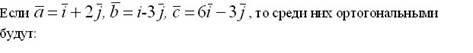
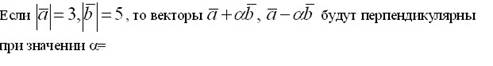
213. Задание {{215}} ТЗ № 19

o 1
o 2
o -1
þ -2
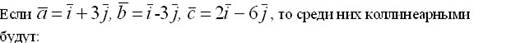
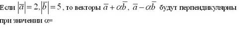
214. Задание {{216}} ТЗ № 532

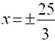
Эталон(ы) ответа: 1

þ 

þ 

þ 

þ 

þ 

þ 

þ 

þ 

þ 

þ 

þ 


þ 


o 
o 
o 
þ 
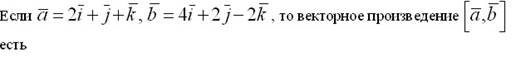
212. Задание {{214}} ТЗ № 18

o 1
o 2
þ -1
o -2
213. Задание {{215}} ТЗ № 19

o 1
o 2
o -1
þ -2
214. Задание {{216}} ТЗ № 532

Эталон(ы) ответа: 1
|
|